Introducción
El problema del aprendizaje del álgebra escolar constituye un tema no resuelto; estudiantes de diferentes niveles educativos tienen dificultades en la comprensión de los diversos aspectos y usos que caracterizan a las variables (Trigueros & Ursini, 2003; Ursini, Escareño, Montes & Trigueros, 2005; Ochoviet & Oktac, 2011; Juárez, 2011) y suelen evitar el acercamiento algebraico (Ursini & Trigueros, 2006) como consecuencia de que no poseen una comprensión profunda del concepto.
Estudios, como los de Booth (1984), Filloy y Rojano (1985), Kieran y Filloy (1989), Bednarz y Janvier (1996) y Radford (1996) reportan que se privilegia la sintaxis algebraica con énfasis en aspectos manipulativos y numéricos. Situación que, al manifestarse en todos los aspectos que caracterizan el campo conceptual del álgebra (Socas, Palarea & Hernández, 2013), induce al estudiante a trasladar sus dificultades desde un nivel educativo a otro.
Por este motivo, y preocupados por los resultados obtenidos en las asignaturas de matemáticas al iniciar los estudios universitarios, se propone la investigación, cuyos resultados aquí se exponen, para constatar la problemática relativa a la comprensión del concepto de variable en el transcurso de los estudios de bachillerato. Para analizar las actuaciones (modos de hacer y conducirse) (Rico & Lupiáñez, 2010) y los marcos de resolución (Filloy, 1999) utilizados al buscar las soluciones a dichas tareas se propone un conjunto de problemas típicos de contexto escolar.
El estudio parte de dos interrogantes en relación a los aspectos del Modelo 3uv: ¿existe comprensión en el estudiante que inicia el bachillerato sobre el concepto de variable?, de no existir: ¿mejora esta situación a lo largo de su estancia en el bachillerato? Pero, más allá de responder sobre el nivel de comprensión, el estudio tiene por objetivo describir y analizar las dificultades que subyacen cuando no se logra comprender los usos de la variable. Con esta finalidad se propone responder a:
Elementos Teóricos
Para ubicar la problemática se decide tomar como referencia el Modelo 3uv (3 Usos de la variable) (Ursini et al, 2005), para posteriormente exponer algunas reflexiones en torno a las nociones de comprensión y representación.
El Modelo 3uv, que "surge al analizar qué se requiere para resolver ejercicios y problemas típicos que aparecen en los textos escolares de álgebra" (Ursini & Trigueros, 2006, p.4), considera el carácter multifacético del concepto de variable y establece que se debe trabajar con tres usos: la incógnita específica, el número general y las variables en relación funcional (Ursini et al, 2005).
La incógnita. Trabajar de manera exitosa requiere que el alumno que sea capaz de:
| I1 | Reconocer e identificar en una situación problemática la presencia de algo desconocido, que debe ser determinado considerando las restricciones del problema. |
| I2 | Interpretar los símbolos que aparecen en una ecuación como la representación de valores específicos. |
| I3 | Sustituir la variable por el valor o los valores que hacen de la ecuación un enunciado verdadero. |
| I4 | Determinar la cantidad desconocida que aparece en ecuaciones o problemas, realizando operaciones algebraicas o aritméticas. |
| I5 | Simbolizar las cantidades desconocidas identificadas en una situación específica y utilizarlas para plantear ecuaciones. |
El número general. Requiere que el alumno que sea capaz de:
| G1 | Reconocer patrones, percibir reglas y métodos en secuencias y en familias de problemas. |
| G2 | Interpretar un símbolo como la representación de una entidad general indeterminada que puede asumir cualquier valor. |
| G3 | Deducir reglas y métodos generales en secuencias y familias de problemas. |
| G4 | Manipular (simplificar, desarrollar) la variable simbólica. |
| G5 | Simbolizar enunciados, reglas o métodos generales. |
Las variables en relación funcional. Exigen capacidades para:
| F1 | Reconocer la correspondencia entre las variables relacionadas, independientemente de la representación utilizada. |
| F2 | Determinar los valores de la variable dependiente, dados los valores de la variable independiente. |
| F3 | Determinar los valores de la variable independiente, dados los valores de la variable dependiente. |
| F4 | Reconocer la variación conjunta de las variables involucradas en una relación funcional. |
| F5 | Determinar el intervalo de variación de una de las variables, dado el intervalo de variación de la otra. |
| F6 | Simbolizar la relación funcional, basado en el análisis de los datos de un problema. |
El Modelo 3uv se ha utilizado, entre otras, en investigaciones sobre estrategias de enseñanza (Montes, 2003) y las concepciones de los profesores (Juárez, 2011). Otro estudio es el análisis comparativo de estudiantes de diferentes niveles educativos (Ursini & Trigueros, 2006), donde se reportan dificultades en la comprensión de los diferentes usos y aspectos que caracterizan la variable. Se ha utilizado, incluso, en el nivel universitario para analizar (Escalante & Cuesta, 2013) la comprensión asociada al proceso de traducción, de los lenguajes natural, aritmético y geométrico, al lenguaje algebraico.
Entendiendo la comprensión en el sentido que lo expone Cuervo (1988): "comprender significa percibir mentalmente algo, captar el significado de algo, entender con claridad lo que quiere decir alguien, conocer en un objeto todo lo que de él es concebible, llegar a conocer la naturaleza o modo de ser de una cosa" (Cuervo, 1988, citado por Rico, 2009, p. 2). La comprensión depende de las representaciones, entendidas como "el conjunto de notaciones simbólicas o gráficas, mediante las que se expresan conceptos y procedimientos matemáticos, así como sus características y propiedades más relevantes" (Castro & Castro, 1997, p. 96) y cuya comprensión depende de si la representación mental es parte de una red de representaciones (Duval, 1999; Martí & Pozo, 2000; Hitt, 2001; Rico, 2009).
Es este sentido, Duval (1993) identifica una actividad vinculada a la producción de representaciones (semiosis) y otra ligada a la aprehensión conceptual de un objeto (noesis). Según Duval (1993) un sistema semiótico es un sistema de representación si permite la realización de tres actividades: (I) la identificación de la presencia de una representación, que implica la selección del rasgo del contenido a representar, (II) el tratamiento de una representación o transformación interna dentro de un mismo sistema, y (III) la conversión o transformación de una representación en otra de otro sistema, conservando una parte o la totalidad del contenido de la primera.
En la actividad cognitiva implicada en la matemática se recurre a varios registros de representación semiótica (Duval, 1996), sea ésta una producción discursiva (lenguaje natural o formal) o no discursiva (figura, gráfico o esquema). Pero el traslado, entre dichas producciones, da lugar a fenómenos de congruencia y no congruencia semántica; cuando no hay congruencia la tarea puede ser muy difícil (, 1998) y no accesible para muchos estudiantes: "el traslado entre registros no se efectúa siempre de manera espontánea a menos que se trate de representaciones congruentes entre el registro de partida y el de llegada, pero puede ser un obstáculo serio cuando no hay congruencia" (Guzmán, 1998, p. 2).
Obstáculo que se puede presentar en el estudio del álgebra, donde la representación y los sistemas de representación constituyen un aspecto importante, en tanto que ésta concibe las relaciones entre cantidades, incluyendo las funciones, las formas de representar las relaciones matemáticas y el análisis del cambio (García, Segovia & Lupiáñez, 2012).
Metodología
El trabajo es un estudio descriptivo, que se sirve de un cuestionario y de entrevistas individuales para obtener los datos. Las tres situaciones que se plantean son formuladas en lenguaje natural y una de ellas utiliza, además, un registro figural. Las entrevistas individuales sirvieron para aclarar dudas de los investigadores, acerca de la forma de resolución ejecutada por los estudiantes.
A fin de analizar las dificultades identificadas, se describen las actuaciones en las que el aspecto crucial es la conversión del registro en lenguaje natural (enunciado del problema) a otro registro semiótico (en lenguaje aritmético y/o algebraico). De este modo, el análisis se realizó utilizando el método de análisis de contenido, entendido como el análisis riguroso, el examen y verificación de los contenidos en datos escritos, y cuya finalidad es descubrir la estructura interna de la comunicación, estudiando para ello su contenido semántico (Cohen, Manion & Morrison, 2011; Rico & Fernández-Cano, 2013).
Sujetos participantes en la experiencia
Para el estudio, desarrollado en un bachillerato privado del estado de Veracruz, se diseñó un estudio transversal con toda la población (N = 48) de estudiantes de segundo, cuarto y sexto semestre. Para mantener el anonimato, los participantes se identifican como sigue: los de nivel básico B1...B17, los del intermedio I1...I20 y los del grupo avanzado A1.... A11. A los participantes se les invitó a resolver, de manera voluntaria y anónima, una prueba compuesta por 3 problemas que involucran el concepto de variable.
El instrumento se aplicó en dos semestres consecutivos, para analizar la posible evolución del nivel de respuestas en dos etapas diferenciadas por el nivel de avance en la escolaridad (ver Tabla 1). La primera etapa se emprendió a mitad del semestre que cursan, mientras que la segunda se aplicó seis meses después.
De este modo, cada grupo realizó la prueba en dos semestres consecutivos: los de nivel básico en segundo y tercer semestres, los de nivel intermedio en cuarto y quinto semestres y los de nivel avanzado en sexto semestre y después de culminar sus estudios de bachillerato. Después de analizar las respuestas escritas, y comparar los resultados de ambas etapas, se decidió entrevistar a tres estudiantes de cada grupo con la intención de constatar actuaciones y dificultades en la resolución de los problemas.
Instrumentos de evaluación
La prueba consistió en problemas del ámbito escolar que permiten, de acuerdo con el modelo 3uv, determinar si los estudiantes: (I) interpretan correctamente la variable, (II) tienen la capacidad de simbolizar las relaciones en las que aparezca cierta caracterización de la variable, (III) son capaces de manipular las variables que aparecen en una expresión, y (IV) son capaces de representar globalmente la información del problema.
Para su diseño se tomó en consideración que los estudiantes de nivel básico ya habían cursado contenidos de aritmética y álgebra en el primer semestre. En consecuencia, era posible suponer que todos los participantes podrían, de acuerdo con el nivel de avance escolar (ver Tabla 2), dar respuesta a las situaciones que se plantearon:
Problema 1: ¿Para cuales valores de x el área del siguiente rectángulo varía entre 168 y 288?
Problema 2: En una construcción trabajan 3 obreros, los cuales pueden finalizar una obra en 12 días. El dueño necesita que terminen más rápido y decide contratar a 6 obreros más. ¿Cuánto tardarán en finalizar la obra 9 obreros?
Problema 3: Un joven acude a un estadio de fútbol a comprar dos boletos, uno de palco y otro de grada general, y termina pagando $200 por ambos boletos. Posteriormente regresa, para comprar 2 boletos de palco y 3 de grada general y paga $460. ¿Cuál es el valor del boleto de palco y del boleto de grada?
La entrevista se propuso a 3 alumnos de cada nivel. Se realizó después de culminada la etapa II y consistió en un conjunto de preguntas, de carácter no estructurado, con el objetivo de profundizar en el conocimiento que posee el alumno sobre el problema planteado. Cada entrevista se llevó a cabo en un contexto de intercambio de ideas, con el propósito de obtener datos sobre la actuación utilizada, en correspondencia a la categoría de respuesta y fue grabada en audio.
Categorías
Las categorías de análisis de la información surgen tras realizar el análisis de contenido y tienen un doble propósito. Por un lado, se determinan las dificultades tipificadas en investigaciones anteriores (Modelo 3uv). Por otro, se explica, en términos de la interpretación y sentido personal del estudiante, la forma de representación utilizada. Se analizan las actuaciones para identificar por qué se producen las respuestas incorrectas (no aciertos) en los aspectos del Modelo 3uv, es decir, conocer sus causas y los aspectos del conocimiento en los que se manifiestan.
Se trata de clarificar la representación que se procesa sobre el problema, es decir, el vínculo que se establece entre las condiciones del problema y las representaciones que utiliza, sus transformaciones y conversiones (Duval, 1993). Con este fin, se procede a clasificar únicamente las actuaciones incorrectas de acuerdo a dos criterios:
(I) Por el nivel en que se manifiesta la incomprensión: del enunciado y/o la tarea a realizar y/o los conceptos involucrados. Este criterio se divide en dos categorías:
Incomprensión: concentra las actuaciones en las que se observa que el estudiante no logra comprender el enunciado y/o la tarea a realizar y/o los conceptos involucrados en la situación.
Interpretación inadecuada: resume aquellas, donde existe comprensión pero con una interpretación errada de las condiciones del problema y/o de la relación entre variables.
(II) Por el proceso de conversión de un sistema de representación a otro: Analiza el vínculo entre las condiciones del problema y la transformación que se realiza a otro sistema de representación. El procedimiento utilizado, o modo de hacer, se divide en dos categorías:
Representa en lenguaje aritmético: se traduce al lenguaje aritmético (registro en lenguaje aritmético), seguido de transformaciones internas (operaciones elementales) para llegar a la solución de la tarea.
Representa en lenguaje algebraico: a partir del enunciado (registro en lenguaje natural), o de una previa solución aritmética (registro en lenguaje aritmético), se expresan relaciones algebraicas entre las cantidades desconocidas (registro en lenguaje algebraico), seguido de un tratamiento interno para llegar a la solución.
Resultados
Para el análisis de cada situación (problema) se presenta primero su propósito y los diferentes aspectos que caracterizan los tres usos de la variable, luego una tabla que resume (por nivel y etapa) los porcentajes de NO ACIERTOS respecto de los diferentes aspectos del Modelo 3uv. Posteriormente, y con base en la clasificación de actuaciones escritas, se hace una descripción de aquellas dificultades que imposibilitan trabajar exitosamente con los diferentes aspectos y usos de la variable. Se culmina con algunos fragmentos de entrevista.
Problema 1: Su inclusión tuvo como finalidad conocer las dificultades del estudiante para trasladar las ideas, desde el enunciado (apoyado en un registro figural), a otra representación de otro sistema. La expresión (x+3)2 debe ser reconocida como un número general (G2), que debe ser manipulado y utilizado para obtener otra expresión (G4). Se debe reconocer la correspondencia (F1) entre los valores del área y los valores de x, así como la variación conjunta de ambas (F4) y posteriormente determinar la variación de x dado el intervalo de variación del área (F5).
En la etapa I (ver Tabla 3) la mayoría de los estudiantes (100% de nivel básico, 90% del intermedio y 64% del avanzado) no acierta en determinar la variación de x dado el intervalo de variación del área (F5).
En la etapa II el nivel de respuestas correctas, lejos de mejorar, se deteriora (no acierta 100%, 94% y 82% respectivamente). Muchos estudiantes, que logran reconocer la presencia de algo desconocido (I1), no pueden (94%, 80% y 55% respectivamente) determinar su valor (I4) desde las condiciones del problema y con el conocimiento que se tiene sobre cómo calcular el área de una figura rectangular. Las actuaciones (acciones observables) surgen de una combinación de los diferentes sentidos que el estudiante atribuye a partir de la lectura que realiza del problema. En primer lugar, destaca la dificultad para expresar las condiciones del problema en lenguaje (aritmético y/o algebraico), debido a:
Incomprensión: no se logra asociar el conocimiento que se tiene sobre la noción de área a la información mostrada en el registro figural. El significado que posee el estudiante sobre este concepto no le permite identificar lo que se sabe y lo que se desea encontrar. Algunos estudiantes, incluso, no logran comprender (Figura 1) la pregunta planteada.
Interpretación errónea: se muestra cierto nivel de comprensión y se reconoce la existencia de la variación conjunta del área y del valor de x. Pero existe una interpretación errónea (6% del nivel básico, 10% del intermedio y 27% del avanzado) del enunciado y/o de las condiciones del problema. El estudiante asume que el área (Figura 2) es la que debe cambiar conforme aumenta o disminuye el valor de x.
Este tipo de interpretación puede estar ocasionada por la repetición de ejercicios en clases, en los que se solicita calcular el área de una figura rectangular a partir de los valores preestablecidos de sus lados adyacentes. Otras dificultades se hallan en la manera en que se representa, es decir, el procedimiento utilizado o modo de hacer para llegar a una solución:
Representa en lenguaje aritmético: algunos (6% del nivel básico, 20% del intermedio y 18% del avanzado) realizan operaciones aritméticas sin tener en cuenta las relaciones del problema. La incongruencia en la conversión (Figura 3) al lenguaje aritmético se manifiesta en los intentos que, con base en prueba y error, no conducen a la respuesta correcta. Como se pone de manifiesto en el fragmento de entrevista que se inserta más abajo:
Profesor: ¿Cómo realizó el problema?
Alumno I16: Bueno aquí, este valor de uno lo sustituí en uno más tres y del otro lado hice igual uno más tres. Lo hice en una forma lógica, uno más tres es cuatro y del otro lado 4 por 4 es 16 por lo que había planeado para que me diera 28. Esa fue la igualdad para ver si estaba yo bien.
P: ¿Y para el otro caso? El del 288
I16: primero saco el área de este rectángulo 72 [señala la parte derecha de la figura] y vería cuanto me falta para el área de 288. [Realiza operaciones], el número completa el área del cuadrado, es tres
P: Entonces ¿aplicas el mismo método?
I16: Si
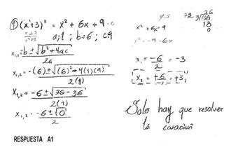
Representa en lenguaje algebraico: otros estudiantes (6% del nivel básico, 0% del intermedio y 9% del avanzado) realizan un intento por obtener una expresión algebraica que conduzca a dar respuesta a la tarea planteada. Sin embargo, tanto la conversión al lenguaje algebraico como su posterior transformación interna (Figura 4) no le permiten formular, y operar, de manera que se satisfagan las condiciones del problema.
Las respuestas muestran que los estudiantes de los niveles intermedio y avanzado no poseen mayor comprensión que los alumnos de nivel básico. Las actuaciones evidencian que los errores (no acierto) están asociados a la manera en que los estudiantes entienden y comunican su significado de "área". En este sentido, las dificultades se hallan en: (I) la incomprensión del enunciado y/o su representación figural, (II) que no se realiza una lectura analítica del enunciado que lo reduzca a una lista de cantidades y de relaciones entre cantidades y (II) la falta de capacidad para trasladar (conversión) de la representación en registro figural a otro registro semiótico (en lenguaje aritmético o algebraico).
Existe un conocimiento de tipo operacional que, en ocasiones, impide la comprensión de las relaciones matemáticas. Sin embargo, a la pregunta ¿cómo calcular el área? todos los alumnos entrevistados responden: "A = bxh", e incluso muestran habilidad para determinar el área del rectángulo si se les proporciona valores específicos de sus lados.
Problema 2: Se busca conocer si los estudiantes son capaces de comprender y establecer la proporción inversa. Es de interés analizar si pueden reconocer la incógnita del problema (I1), reconocer el patrón y percibir la regla de solución (G1) que les permita manipular la variable simbólica (G4) y determinar la cantidad desconocida realizando operaciones aritméticas elementales (I4).
Se reconoce que "días de trabajo con nueve obreros" es el valor desconocido (I1). Pero resultó un serio obstáculo, en especial en la etapa I, reconocer (ver Tabla 4) la regla o método de solución del problema (G1), lo cual impide obtener la respuesta mediante operación aritmética (I4).
Existe dificultad, incluso en la etapa II, para establecer la relación obreros-días (F1 y F6) y determinar la cantidad desconocida (I4) realizando operaciones aritméticas. Las actuaciones surgen de una combinación entre el nivel de comprensión de la tarea y el sentido personal del estudiante sobre la noción de "proporción inversa". De este modo, no se tiene la capacidad para transformar las condiciones del problema (registro en lenguaje natural) a otra representación en lenguaje aritmético, debido a:
Incomprensión: de la noción de proporcionalidad numérica, lo cual constituye un obstáculo en el proceso de conversión del lenguaje natural al aritmético (Figura 5). En consecuencia, no se realizan las transformaciones internas que son necesarias para responder a la pregunta.
El estudiante A1 se percata de que al aumentar el número de obreros no puede resultar ser mayor al número de días; luego resuelve con lo que él mismo denomina "una repartición lógica" que tampoco conduce a la respuesta correcta. Similar es la respuesta del estudiante I6, quien razona (Figura 6) de la siguiente manera: "por cada aumento en un obrero la cantidad de días disminuye en uno".
Interpretación errónea: el estudiante interpreta la relación como una proporción directa e intenta resolver con un procedimiento incorrecto; en consecuencia, concluye que la cantidad días en lugar de disminuir aumenta. Un ejemplo es la respuesta de A7 (Figura 7), quien responde que se necesitan 36 días de trabajo.
Durante la entrevista llega a reconocer la existencia de un error, pero no puede trasladar la información, registrada en lenguaje natural, a otro registro semiótico (una expresión aritmética).
Profesor: El segundo problema ¿qué hizo?
A7: Pues es una regla de tres, pero me salió mal porque resulta que hacían la obra en 36 días y pues no me parece lógico el resultado porque son más obreros y da más días.
P: ¿Qué hiciste para obtener ese resultado?
A7: Pues la regla de tres, dije que 3 obreros es a 12 días, entonces 9 obreros es a x y multiplique 9 por 12 entre tres y me da 36 y este resultado no es lógico
P: ¿Por qué no es lógico para ti?
A7: Porque, pues no puede ser, debería ser menos
De los resultados anteriores (ver Tabla 4) podría pensarse que la mayoría de los estudiantes comprende el concepto de proporcionalidad inversa. En efecto, la respuesta es incorrecta en pocos casos (19% del nivel básico, 10% del intermedio y 28% del avanzado). El resto de estudiantes realiza una operación aritmética correcta (Figura 8) del tipo:
Sin embargo, las entrevistas ponen de manifiesto lo engañoso de los datos; en ellas se pudo constatar que no se tiene un conocimiento de tipo conceptual sobre la proporción inversa. Estos estudiantes llegan al resultado con una operación aritmética que, si bien correcta, es carente de significado. Un ejemplo es el argumento del estudiante B1, una evidencia de que el nivel de comprensión, y en consecuencia la forma de resolución, está relacionada con un conocimiento de tipo procedimental.
Profesor: En el problema 2 ¿cómo llega al resultado?
B1: Pues vi que era una regla de tres entonces pues puse los valores pero me daba más días entonces recordé que era una regla de tres inversa y pues lo que hice fue multiplicar tres por doce y lo dividí entre 9 y me dio 4
P: ¿cómo supo que era inversa?
B1: pues porque me daba más días y eso no es lógico, entonces debe ser al revés
P: ¿crees que 4 días es la respuesta correcta?
B1: pues no lo sé, pero es más lógico
P: la respuesta si es correcta, ¿me puedes explicar la idea?
B1: no, lo que sé es que así se hace cuando es inversa
El razonamiento de los estudiantes, identificado mediante las entrevistas, muestra que efectivamente no se logra traducir el enunciado a una relación entre cantidades, por falta de capacidad para comprender el enunciado del problema (registro en lenguaje natural) o por el nivel de conocimiento que se tiene sobre el concepto involucrado (proporción inversa). Este aspecto, también analizado en Ursini y Trigueros (2006), pone de manifiesto, al menos en los estudiantes de este estudio, que cursar más semestres no siempre garantiza mayor nivel de comprensión.
Problema 3: Se desea aprovechar una situación conocida, de manera que se facilite relacionar las incógnitas y obtener el resultado. El problema precisa identificar y simbolizar dos incógnitas desconocidas (I1, I5) que pueden asumir cualquier valor positivo (G2) para determinar las cantidades desconocidas (I4) y sustituir los valores que hacen verdaderas las ecuaciones enunciadas (I3), a través de una representación aritmética y/o algebraica (G4).
La mayoría de los estudiantes (ver Tabla 5) logra reconocer e identificar la presencia de valores desconocidos (I1). Pero, la comprensión de la relación entre variables no resulta ser una condición suficiente para la solución de la tarea. Se comprende, pero no se logra (87% del nivel básico, 85% del intermedio y 63% del avanzado) simbolizar y utilizar las cantidades desconocidas para plantear las ecuaciones (I5) que permitan resolver el problema (I4). Las actuaciones surgen, en primer lugar, de la habilidad del estudiante para estructurar la información con base en los sentidos que le atribuye al propio planteamiento en lenguaje natural y a cada una de las variables.
La generalidad, en los tres grupos, reconoce o identifica la presencia de algo desconocido (I1); sin embargo, no se llega a la solución debido a que no se identifica la presencia de una representación que implique la selección del rasgo del contenido a representar. Destaca la dificultad para expresar las condiciones del problema en lenguaje (aritmético y/o algebraico), debido a:
Incomprensión: de las condiciones del problema, es decir, no se identifica la presencia de una representación en lenguaje natural. Un ejemplo (Figura 9) es la respuesta de B11, quien afirma no saber cómo estructurar la pregunta, cuando lo que se debería estructurar es una respuesta acorde al planteamiento de la situación.
Representa en lenguaje aritmético: se intenta una conversión a una representación en lenguaje aritmético (50% del nivel básico, 25% del intermedio y 18% del avanzado) y con operaciones con base en prueba y error. En algunos casos (Figura 10) se llega a la respuesta correcta.
Como expone el estudiante I16:
Profesor: ¿Cómo resuelve el problema?
I16: Dice que un boleto de palco y otro de grada cuestan $200 pesos. El de palco tenía que valer más caro que el de grada. Entonces yo desde un principio le doy un precio de $150 y al otro de $50. Después compró dos boletos de palco y tres de grada, y en total pagó $460; me di cuenta de que no estaba bien y busque otros números y fueron $140 y $60 para que ahora me saliera el total de $460.
P: Entonces, ¿estuvo buscando los valores hasta que le dio el resultado?
I16: Si, desde un principio marqué un valor y supuse que el de palco es más caro que el de grada.
En otros casos se fracasa, realizando intentos de conversiones (Figura 11) que no cumplen las condiciones planteadas.
Representa en lenguaje algebraico: muy pocos estudiantes (6% del nivel básico, 0% del intermedio y 9% del avanzado) realizan una conversión al lenguaje algebraico, que no siempre conduce a la solución, a causa de transformaciones inadecuadas dentro de este registro. Un ejemplo (Figura 12) se halla en la respuesta de B3.
En efecto, se logra comprender la situación, y plantear el sistema de ecuaciones, pero existe la dificultad en determinar las cantidades desconocidas (I4), tal y como se muestra en este fragmento de entrevista al estudiante A12.
Profesor: En este problema ¿qué hiciste?
A12: Pues sé que es un problema de ecuaciones y que se resuelve por suma y resta y esos métodos, pero no me acordaba como hacerlos y pues no sé, como que quise resolverlo pero nada más no me acorde de como plantearlo.
En síntesis, los resultados de los tres problemas ponen de manifiesto que los estudiantes del nivel avanzado no poseen mejor comprensión del concepto de variable que los del nivel intermedio y básico; no muestran mayor conocimiento sobre los usos y aspectos del concepto de variable (Modelo 3uv). La mayoría de los estudiantes se halla ante un obstáculo, que está asociado al proceso de conversión del problema (representado en lenguaje natural) a un registro en otro sistema semiótico (lenguaje aritmético o algebraico).
Conclusiones
Los resultados de Ursini y Trigueros (2006) sugieren que los cursos de matemáticas avanzadas tienen un impacto positivo, aunque no el deseable, en la capacidad del estudiante para utilizar las variables. El haber aprendido más técnicas permite aplicar algoritmos con mayor fluidez, y mejora la posibilidad de interpretar las variables en las expresiones (Ursini & Trigueros, 2006). De acuerdo con estos mismos resultados, la pobreza en las respuestas podría tener su origen en que fue un estudio realizado fuera del contexto de clase y, en estas circunstancias, los etudiantes no logran realizar las asociaciones necesarias para utilizar su conocimiento algebraico.
En este mismo sentido, el estudio de Escalante y Cuesta (2013) enfatiza la existencia de dificultades en el proceso de trasferencia del lenguaje natural al lenguaje algebraico, causado por el bajo nivel de comprensión de las situaciones propuestas; cuando el enunciado verbal requiere transformaciones más complejas (Escalante y Cuesta, 2013) los estudiantes emplean el marco aritmético.
Para este estudio, y a diferencia de otros que le anteceden, se decidió realizar una investigación que cumpliera tres características: (I) analizar las actuaciones de estudiantes de la misma institución educativa, (II) proponer las mismas situaciones a todos los estudiantes de los tres niveles educativos considerados en la investigación, (III) proponer situaciones que no requerían de complejas transformaciones en la estructura cognitiva del sujeto, dado que el nivel de complejidad asegura un adecuado nivel de comprensión por los estudiantes de los tres niveles.
En cierta medida existen coincidencias con lo encontrado en estudios anteriores, pero también algunas diferencias: (I) no existe comprensión del concepto de variable, situación que no mejora durante los estudios de bachillerato, (II) en contraste con los resultados de Ursini y Trigueros (2006), el haber estudiado más técnicas no garantiza que se apliquen algoritmos con mayor fluidez, como tampoco mejora la posibilidad de interpretar las variables en las expresiones y (III) no se logra realizar las asociaciones necesarias para utilizar el conocimiento algebraico, incluso aplicando las pruebas en el contexto del aula y con situaciones similares a las estudiadas en clase.
Por otra parte, y más allá de responder sobre el nivel de comprensión del concepto de variable (Modelo 3uv), el objetivo de este trabajo consistió en describir y analizar las dificultades que subyacen cuando el estudiante no logra comprender el uso de la variable en problemas típicos de su entorno escolar. Sobre este aspecto el estudio pone de manifiesto que:
El obstáculo, a diferencia de los estudios antes mencionados, se halla en que no se logra asociar y/o aplicar el conocimiento que se tiene sobre los conceptos implicados a las tareas propuestas. La causa se halla en que el conocimiento del estudiante es de tipo procedimental, caracterizado por la destreza para realizar operaciones aritméticas elementales pero con escaso nivel de razonamiento que no le permite procesar las relaciones entre conceptos.
Los estudiantes que participaron en este trabajo no pueden identificar la relación entre las cantidades (desconocidas y conocidas), debido a la falta de asociaciones entre las representaciones semióticas expresadas en diferentes registros (verbal, figural, aritmético y algebraico). Las representaciones que realizan los estudiantes de los tres niveles son un indicativo del bajo nivel de comprensión del concepto matemático.
El limitado o erróneo significado que se tiene sobre conceptos como área (problema 1) o proporcionalidad inversa (problema 2), que fueron estudiados en los primeros semestres de bachillerato, no permite resolver las tareas. Lo que saben hacer los estudiantes participantes, al terminar el bachillerato, es un conjunto de procedimientos tipo carentes de significado. Al parecer, los estudiantes no poseen la referencia y sentido del concepto matemático, que se le debe atribuir cuando se usa para dar respuesta a determinadas tareas.
La estrategia de varios de los estudiantes es utilizar operaciones aritméticas que no siempre conducen a la solución. En los tres niveles del bachillerato analizados existe, incluso, la dificultad en la tarea de identificar (Duval, 1996) la presencia de una representación y/o del rasgo o contenido a representar. En consecuencia, existe la dificultad en la tarea de realizar las conversiones de un sistema semiótico a otro.
De esta manera, el estudio concluye que los estudiantes de los niveles intermedio y avanzado que participaron en este estudio no poseen mayor comprensión y/o dominio de los aspectos que caracterizan al Modelo 3uv que los alumnos de nivel básico. Esto es un indicativo, como exponen García, Segovia y Lupiáñez (2012), de que el álgebra es tratada, en el contexto escolar de este estudio, como una mera manipulación de símbolos en la resolución de ecuaciones y expresiones. Pero también, de que el proceso de enseñanza pone especial énfasis en los aspectos manipulativos, lo cual constituye un serio obstáculo en la comprensión de significados que coadyuven al proceso de transición al álgebra.









nueva página del texto (beta)




















