Introducción
A mediados de los ochenta, México inició una serie de reformas comerciales y financieras, con el fin de sentar las bases de un modelo alternativo al de industrialización y sustitución de importaciones (SI) 1 dirigido por el Estado, proceso que maduraría con la entrada en vigor del Tratado de Libre Comercio de América del Norte (TLCAN), que recién cumplió veinte años. El cambio se basó en una drástica reducción de la intervención del Estado en la economía, como resultado de altos niveles de endeudamiento y déficit del sector público. Desafortunadamente, las tasas de crecimiento son desfavorables en el periodo de reformas comparadas con aquel de SI. Las explicaciones son variadas, pero las causas, únicas.
En el contexto del comercio internacional, no son pocos los estudios respecto de las causas del bajo crecimiento en México durante las últimas tres décadas. Amsden (2004) realizó un análisis de las diferencias respecto de los alcances en términos de crecimiento entre los países latinoamericanos y de industrialización tardía en Asia. Afirmó que en México, así como en otros países de América Latina, no se conformaron industrias que invirtieran en sectores de alta tecnología, pues se atendieron más los lineamientos del Consenso de Washington que a una efectiva política de si. Afirmó incluso que los planteamientos de Prebisch 2 sí se habían cumplido en los países asiáticos, preguntándose si los de Latinoamérica serían capaces de lograr una efectiva si sobre la base de inversiones en sectores de alta tecnología, planteamiento que requiere, indudablemente, de una intervención estatal decidida, con el fin de -entre otros asuntos- sentar las bases en materia de desarrollo e investigación, además de educación.
Horn, Singer y Woetzel (2010) , además de Linden, Dedrick y Kraemer (2011) , señalan que en México no se crearon los encadenamientos productivos que hicieran de las exportaciones el motor no sólo del crecimiento, sino también del empleo, como sí ha ocurrido en otras economías fuertemente ligadas a la exportación; de haber sucedido esto, el país habría accedido a una nueva fase de si, promoción de exportaciones y el ensanchamiento de su mercado interno, como sucede en China.
López (1998) consideró que las exportaciones mexicanas realmente no lograban su cometido, pues éstas se ligan a conglomerados internacionales, lo cual impide que la mayoría de las empresas nacionales se incluyan en la cadena de valor y la generación de empleo. Agregó además que el bajo crecimiento del país se debía a un desaprovechamiento de la capacidad instalada, por lo que, de aprovecharse en mayor medida esas capacidades productivas, México tendería a dinamizar sus sectores económicos, con la condición de una renovada participación del Estado, en una atmósfera de apoyo a sectores y ramas estratégicas. Para López, en el afán de obtener logros macroeconómicos, se incurrió en altos niveles de desempleo y estancamiento. Asimismo señaló que, de apoyarse la industria y al empresariado mexicanos, a fin de lograr mejoras tecnológicas y organizativas en las firmas nacionales, cambiaría la estructura del comercio externo mexicano.
El punto de vista anterior se vincula estrechamente con el señalamiento de que bajas tasas de inversión física son un factor determinante en el lento crecimiento económico (más que una desaceleración del crecimiento de la productividad o una baja tasa de formación de capital humano). Ros postula que esas tasas obedecen a una contracción de la inversión pública (infraestructura), derivada de los ajustes fiscales a la crisis de la deuda externa y al colapso del precio del petróleo de 1986, un tipo de cambio real apreciado a partir de 1990, el desmantelamiento de la política industrial durante el periodo de reformas y la falta de financiamiento bancario. Explícitamente, el segundo y tercer factores han afectado la rentabilidad de la inversión privada en el sector manufacturero (el de bienes comerciables en una economía abierta), mientras que el cuarto ha impedido la realización de proyectos de inversión potencialmente rentables (Ros, 2010).
Mientras tanto, Moreno-Brid y Ros (2008) señalan que la liberalización comercial permitió la especialización de tipo intraindustria e intrafirma, a costa del deterioro de la producción nacional y, por ende, de la productividad. Es decir, no obstante que en un número limitado de sectores la liberalización del comercio ha tenido como consecuencia un crecimiento acelerado de las exportaciones y de la productividad de la mano de obra, es discutible en general su efecto en el crecimiento económico, pues difícilmente se afirmaría que la actual estructura industrial es capaz de generar desarrollo autosostenido. En otras palabras, la mayoría de los sectores y empresas exportadoras carecen de enlaces o encadenamientos internos, frente a lo cual se requiere un giro radical de la política industrial, de lo contrario, seguiremos entrampados en actividades poco calificadas y mal remuneradas.
Por su parte, Sosa (2008) plantea, para economías periféricas como la mexicana, la conformación de una teoría alternativa del crecimiento, puesto que los planteamientos de corte convencional aplicados a esas economías carecen de sustento, provocando efectos desastrosos. ¿De qué tipo? Ciertamente una que deje de lado los supuestos neoliberales, que más bien son una entelequia, incluso para las economías desarrolladas. Agrega que, aunque la estrategia sustitutiva de importaciones fue incompleta, tuvo éxito con el desarrollo del sector industrial, desembocando en la crisis de los ochenta del siglo XX, que a su vez reorientó la estrategia de desarrollo seguida hasta entonces, a través de la restauración de los equilibrios macroeconómicos y la liberalización de la balanza de pagos (comercial y de capitales). En lo que respecta a la estrategia de promoción de exportaciones, ésta ha sido un fracaso, pues a pesar del aumento exorbitante de éstas en ciertas industrias, el proceso ha estado acompañado de una "desustitución" de importaciones.
El planteamiento anterior concuerda con la afirmación de Clavijo (2008), en el sentido de que los balances macroeconómicos y la apertura comercial han afectado el bienestar de los mexicanos. Afirma que las exportaciones mexicanas revelan la calidad de enclave de aquéllas, pues en gran medida son de carácter maquilador. Es decir, en México existe un enclave exportador tecnificado y moderno dentro de una planta productiva nacional caracterizada por importantes rezagos, puesto que la apertura comercial no dio tiempo al aparato productivo nacional a prepararse para competir en el mundo globalizado. El requisito para revertir esa situación es realizar una selección de sectores estratégicos que posean ventajas comparativas y enlaces productivos que, en combinación con una buena educación, transparencia y acceso al capital, permita conformar las bases firmes para insertar la industria nacional en la cadena de valor global, a fin de que deje de ser una economía maquiladora y nos convirtamos en productores importantes de bienes de medio y alto valor agregados.
Los trabajos de Taylor y Vos (2001), Ganuza, Paes de Barros y Vos (2001), además de Ros y Bouillon (2001), también confirman que la apertura de la balanza comercial y la de capitales sólo ha logrado impedir mejoras en la equidad o en la reducción de la pobreza. Demostraron que la liberalización comercial ha tenido un impacto sobre la estructura del empleo por sectores, grupos de ocupación, niveles de educación y sobre los diferenciales en remuneraciones. Dicho de otro modo, los efectos de la liberalización de la cuenta corriente se sienten en una mayor desigualdad entre grupos de trabajadores, en particular entre los calificados y no calificados, contradiciendo las predicciones del teorema de Stolper-Samuelson. 3
Con los incrementos de productividad que conducen a un consumo más selectivo de bienes comerciables modernos, se han ampliado las diferencias de salario entre los trabajadores de estos sectores y los ocupados en las actividades no comerciables e informales.
En suma, la reorganización de la producción en México elevó la demanda de mano de obra calificada, pero no hasta el grado de absorber la mano de obra del sector no calificado, así como a la que anualmente se incorpora al mercado de trabajo, favoreciendo a los trabajadores calificados, generando movimientos de empleo hacia actividades informales o el desempleo, acrecentando la desigualdad y la pobreza.
La política monetaria adoptada con las reformas también cumple un papel determinante en el magro crecimiento en México. Para Ibarra, desde principios de los ochenta, los flujos de exportaciones tuvieron éxitos considerables, tanto en composición (similar a la observada en países con un ingreso per cápita superior al de México), como en tipo (correspondientes en su mayoría a bienes de nivel tecnológico medio o alto), diversificándose desde que entró en vigor el TLCAN; sin embargo, debido al sesgo restrictivo de la política monetaria para controlar la inflación, el peso tiende a apreciarse en términos reales, afectando la rentabilidad de los sectores de bienes comerciables (Ibarra, 2008).
El efecto neto de las exportaciones en este contexto es discutible, frente a un aumento casi simultáneo de la tasa de importaciones (como se verá en las Gráficas 2, 3 y 4), provocando desplazamientos de la producción local, fenómeno reconocido como una mayor elasticidad de las importaciones respecto del producto interno bruto (PIB) después de la liberalización del comercio (Moreno-Brid, 1999; Pacheco-López, 2005b) . Lo anterior tuvo su origen en la tendencia a combinar programas de estabilización basados en el tipo de cambio como ancla nominal con las reformas económicas (comercial y financiera, como ya se dijo), lo cual derivó en procesos significativos de apreciación del tipo de cambio que, a su vez, impactó de manera negativa a la economía real, en particular a los sectores comerciables (CEPAL, 2012: 24).
Esta investigación muestra evidencia empírica de una causalidad no clara entre las exportaciones totales de México y el PIB real en el periodo 1980-2012, mediante técnicas econométricas de series de tiempo, refutando de ese modo los planteamientos en torno a que las exportaciones causan al producto agregado en México. A partir de ello, se señala la necesidad de retomar los lineamientos de industrialización hacia dentro, sin decir con ello que el país debe abandonar el proceso de apertura en el que está inmerso, esto es, que las exportaciones per se sean la causa del bajo crecimiento nacional.
En otras palabras, se propone la necesidad de reconsiderar los planteamientos de corte prebischianos, pues la distorsión sobre éstos es evidente (Amsden, 2004; Bielschowsky, 2009; Ferrer, 2010; Fitzgerald, 2003), ya que el libre comercio entre desiguales no es la panacea para lograr un crecimiento sostenido (Gómez, 2003). En tal sentido, este texto pretende también mostrar que las metas perseguidas con la liberalización comercial en la que se adentró el país en los ochenta, como su participación en la conformación de una zona de libre comercio con Canadá y Estados Unidos, no se alcanzaron.
Los objetivos de este artículo son los siguientes: en primer término, presentar una visión teórica de los planteamientos que analizan la relación entre las exportaciones y el crecimiento, sin soslayar el papel que cumplen las importaciones. Posteriormente, se realiza una revisión de la bibliografía empírica, para poner de relieve los estudios que promueven el modelo liderado por las exportaciones y los que cuestionan sus alcances. Enseguida continúa con un análisis econométrico del sector externo en México, el cual conlleva un análisis de cointegración entre el PIB y las exportaciones totales, mediante la técnica de Johansen, así como la causalidad de Granger para dilucidar la relación entre sí. Finalmente, se presentan las conclusiones.
Marco teórico
Los autores clásicos de la economía política manifestaron las ventajas del comercio internacional, pues las naciones participantes resultaban beneficiadas con ello. Smith partió del hecho de que los países debían especializarse y exportar las mercancías en las que poseían ventajas absolutas e importar aquéllas en las cuales sus socios tuvieran ventajas del mismo tipo. Éstas se sustentan cuando el producto de una industria en particular excede la demanda del país y, por ende, tal excedente de producción debe ser enviado al exterior para cambiarse por otros bienes que necesita y demanda. En caso de no darse dicho intercambio ventajoso, cesaría parte del trabajo productivo de la nación, disminuyendo el valor de su producción anual (Smith, 1999: 336).
Con ello Smith casi omitió por completo 4 la concepción que la teoría mercantilista tenía de las exportaciones, según la cual las ganancias que una nación consigue consisten en aquello de que se desprende (vende ) y no lo que obtiene (compra ). En ese sentido, las importaciones representan flujos que sustraen ganancias del país.
Para David Ricardo, un país tiene ventaja sobre otro en términos comparativos, es decir, al producir con menores costos ciertas mercancías. Ahí radica su capacidad exportadora, pero no gana simplemente por este hecho, sino también al importar, pues resultaría más oneroso producir internamente los productos en los que no posee una ventaja comparativa.
En este contexto, la única ventaja directa del comercio exterior consiste en las importaciones, pues así obtiene productos que, o bien no habría podido producir de ninguna manera, o produciéndolos le habría costado más trabajo y más capital que los que exporta para solventarlos; sin embargo, Stuart Mill dilucidó adicionales efectos indirectos del comercio exterior, como la ampliación de los mercados, que contribuye mucho a perfeccionar los procedimientos de producción, la industrialización para satisfacer nuevos gustos, además del incremento de la comunicación entre los países (Ricardo, 1973: 98-113; Mill, 1985: 496-503). Una actualización de lo anterior sugiere que, de acuerdo con la teoría del comercio internacional, las exportaciones contribuyen al crecimiento económico debido a lo siguiente:
Facilitan la explotación de economías de escala para pequeñas economías abiertas.
Mitigan la coacción de divisa extranjera para incrementar las compras de bienes intermedios y de capital.
Mejoran la eficiencia por una mayor competencia.
Propagan el conocimiento técnico en el largo plazo a través de los requerimientos de los compradores y del learning by doing (Hatemi e Irandoust, 2000).
En consecuencia, la doctrina de las ventajas comparativas sirvió de fundamento para justificar el fomento de las exportaciones, desde el punto de vista del teorema Heckscher-Ollin, que establece que un país exportará bienes que utilicen sus factores abundantes (trabajo o capital), mientras que importará bienes que usen sus factores es casos. En otras palabras, si una nación posee abundancia del factor trabajo, tiene una ventaja comparativa en ese sentido y exportará bienes intensivos en trabajo. Lo contrario sucedería con un país abundante en el factor capital, el cual a su vez exportará bienes intensivos en capital por tener una ventaja comparativa de tal factor (Chacholiades, 1993; Appleyard, Field y Cobb, 2006).
El teorema Heckscher-Ollin se conjugó en los setenta con la corriente ideológica de la apertura comercial, la cual se sustentaba en dos beneficios: control de las excesivas rentas que ciertos sectores habían obtenido con el modelo de si y el crecimiento debido a la difusión de la tecnología y el conocimiento. Con la coyuntura del agotamiento del modelo, el paradigma del crecimiento encabezado por las exportaciones (Export Led Growth, ELG) comienza a reemplazarlo gracias al éxito de las economías del sudeste asiático (Corea del Sur, Hong Kong, Singapur y Taiwán), las cuales parecían probar empíricamente los beneficios que la apertura traía consigo: la adopción de mejores prácticas, promoción de desarrollo de productos y la exposición de empresas a la competencia externa.
Los argumentos en favor de la apertura comercial cumplieron a su vez un papel muy importante en la nueva agenda de integración internacional, pues encajaba con los intereses de las grandes corporaciones que buscaban establecer una nueva estructura económica global mejor conocida como globalización. La configuración anterior fue determinante en la expansión del Acuerdo General sobre Aranceles Aduaneros y Comercio (GATT) y el consecuente establecimiento de la Organización Mundial de Comercio (OMC).
El Fondo Monetario Internacional (FMI) y el Banco Mundial (BM) tuvieron un papel esencial al afianzar dicha agenda en México, pues a partir de los choques petroleros y la crisis de la deuda en los setenta y ochenta del siglo XX, el país tuvo que recurrir a solicitar asistencia financiera, la cual fue condicionada por los organismos multilaterales a la puesta en marcha de las políticas de liberalización y ajuste, entre las cuales la apertura comercial era de nodal importancia.
Si bien en los países del sudeste asiático el paradigma ELG tuvo sus bases en la adopción de tecnología externa y con el tiempo, el desarrollo industrial interno, en México dicho paradigma sirvió para que el país se convirtiera en plataforma de las empresas multinacionales en un contexto de creciente movilidad de capitales y de tecnologías, a costa de la desintegración industrial interna, un tipo de cambio sobrevaluado y supresión salarial y de beneficios sociales, con el objetivo de atraer inversión extranjera.
En 1994, el TLCAN se convirtió en la imagen ideal de una nueva era de globalización corporativa, conjugando los intereses de las empresas multinacionales bajo la bandera del libre comercio. 5 En otras palabras, el paradigma ELG en el que está inmerso México tiene sus bases en la relocalización de la producción y la diversificación de nuevas inversiones para crear fuentes de empleo y transferir tecnología en los sectores vinculados con las ramas en las cuales las multinacionales poseen injerencia directa. Empero, el país no está inmerso en un proceso de industrialización interna, como sucedió con los países del sudeste asiático y en la fase del modelo de si, desintegrando cadenas de valor o encadenamientos productivos, agravando los desajustes de la balanza de pagos y socavando el crecimiento de la productividad, de los ingresos de los trabajadores y, por ende, de su consumo (Palley, 2011; Stiglitz, 1996; Wise, 2009).
El teorema neoclásico del comercio internacional de Heckscher-Ohlin fue fundamental en la incorporación mexicana a la era de integración comercial o globalización, 6 ya que justificó la sustitución del modelo proteccionista que cobijaba a ciertos sectores industriales, por otro que dejó de privilegiarlos; sin embargo, el cambio del modelo de Lsi al dirigido por el mercado no fue un proceso instantáneo, ya que durante muchos años se realizó una discusión nacional en el sentido de abrir las fronteras a la competencia internacional (Gazol, 2008). Por el contrario, gracias al endeudamiento externo, así como a los recursos logrados por las exportaciones petroleras en los años setenta, la decisión política fue en su momento de no comenzar un cambio estructural cuando el modelo ya mostraba claros síntomas de agotamiento.
Cuando el modelo llegó a su fase terminal, el gobierno mexicano tuvo que cumplir con los requerimientos de los organismos financieros internacionales para acceder a recursos externos. Así, a finales de los ochenta, México adoptó una estrategia dirigida por los lineamientos del denominado Consenso de Washington, el cual se cimentó en la liberalización comercial, una reducción de la intervención del Estado y libre movilidad de capitales (Williamson, 1990).
El objetivo era que las reformas macroeconómicas y de libre comercio animaran la inversión local y extranjera, con el fin de que el país produjera bienes comerciables, específicamente productos intensivos en trabajo, que en consecuencia impulsarían la economía del país en una trayectoria de alto y persistente crecimiento.
Ahora bien, si los logros de las reformas macroeconómicas han estado marcados por bajos déficits públicos y niveles de inflación, el crecimiento económico ha sido por demás desalentador, por lo cual, aunque las políticas de cambio estructural muestran ser más que exitosas en dichos rubros, se logró gracias a un giro radical de la política comercial, afectando a industrias tradicionales, como a las que fueron sobreprotegidas durante el periodo periodo de si (Moreno-Brid, Rivas y Santamaría, 2005).
El paradigma del crecimiento liderado por las exportaciones (ELG) reemplazó al modelo de si con el argumento del vínculo existente entre exportaciones y crecimiento económico; empero, una de las fallas del proceso de apertura en el contexto del mencionado consenso es la carencia de una real transformación de la estructura productiva nacional, mediante mayores montos de inversión e innovación tecnológica, así como bajos niveles de financiamiento (Kregel, 2008).
Los argumentos en favor de la apertura comercial y económica impulsaron la nueva agenda de integración económica internacional en favor de los intereses de las grandes corporaciones internacionales, para conformar una estructura económica global. Así fue como México se convirtió en una plataforma exportadora de las corporaciones multinacionales, en lugar de desarrollar su capacidad industrial como sucedió con los "Tigres de Asia". Dicho proceso se debió a la movilidad de capital y tecnología (Palley, 2011).
En este contexto -y como se dijo antes-, de acuerdo con la versión clásica, el libre comercio aumenta la riqueza de los actores involucrados, pues ningún país producirá bienes si le resulta más barato comprarlos a otros, ya que estos últimos tienen alguna ventaja en la producción de esos bienes (Valderrama, Ríos y Neme, 2011); sin embargo, el libre comercio ha traído a México resultados pocos satisfactorios, al grado de mencionarse que el éxito exportador mexicano se debe a las importaciones que realiza (Lamy, 2012).
Revisión de la bibliografía empírica
Después de una larga discusión nacional sobre el inicio de un periodo de promoción de exportaciones, el país emprendió el proceso de apertura comercial en los años ochenta. Tiempo después, México inició pláticas con sus vecinos del Norte en aras de conformar una zona de libre comercio. El acuerdo se logró gracias al apoyo decidido de una nueva generación de tecnócratas mexicanos que buscaban, mediante una política orientada por el mercado, la liberalización, la privatización de empresas públicas y la desregulación de sectores económicos, que el país convergiera, en términos económicos, con su principal socio comercial, Estados Unidos, lo cual se conjugó con las condiciones planteadas de los organismos multilaterales para asignar ayuda financiera.
Con la integración, los países firmantes buscaban el beneficio común, del cual México resultaría favorecido en mayor medida a través del incremento del aprendizaje tecnológico e industrial y el aumento del ingreso per cápita. Con la apertura, es innegable que los montos comerciales entre los tres países miembros del TLCAN han aumentado exorbitantemente, a la par que los indicadores macroeconómicos del país y de Canadá han convergido con los correspondientes de Estados Unidos, lo cual resulta un éxito.
Por otro lado, la dependencia que México tiene del mercado estadunidense no ha cambiado sustancialmente: sigue siendo el principal para las exportaciones mexicanas. Si bien la Gráfica 1 muestra un comportamiento cíclico de los flujos comerciales externos, que representa el mercado de Estados Unidos para México desde 1993 hasta 2013 (con un aumento de los montos desde 1995, alcanzando un máximo en 2000, y una disminución desde ese año que algunos autores atribuyen a la entrada de China a la OMC en 2001), casi el 80 por ciento de las exportaciones totales del país tienen como destino al vecino país del Norte (después de un punto de inflexión al alza en 2012, que comienza a atribuirse a la pérdida de competitividad de China por el aumento de los costos de producción).
Desafortunadamente, no puede decirse lo mismo en el nivel microeconómico, pues en ese nivel la experiencia muestra que México (incluso Canadá) diverge de su vecino del Norte, debido a factores como la ausencia de una verdadera competencia, mayores lazos entre investigación y desarrollo, las universidades y el sector privado, además de la aplicación de mejores tecnologías en la extracción de recursos naturales y la producción de bienes y servicios, todo lo cual desalienta la inversión (Wise, 2009).
A partir de la puesta en marcha del TLCAN, se han realizado diversos análisis empíricos para explicar el magro crecimiento mexicano. Algunos muestran que el modelo exportador logra su cometido, mientras que otros opinan lo contrario. En la primera corriente, Rodríguez y Venegas (2011) ejecutaron técnicas de series de tiempo multivariadas, por medio de las cuales demostraron que las exportaciones y el PIB se cointegran en el largo plazo, además de que las primeras causan (en el sentido de Granger) el producto agregado. Apoyan en ese sentido el planteamiento neoclásico del crecimiento económico que señala una correlación positiva entre el crecimiento de las exportaciones y el crecimiento del producto real, denominado hipótesis Export Led Growth (ELG). El periodo de análisis va de 1929 a 2009, lapso en el que el país transitó de una larga senda de economía cerrada a una abrupta apertura comercial. En los años en que sobre salen rupturas estructurales, utilizaron variables dummies , concluyendo, además de la causalidad señalada, que existe un equilibrio de largo plazo entre las variables citadas.
Anterior a ese estudio, Vásquez y Oladipo (2009) ubicaron un mejor comportamiento de la causalidad de las exportaciones al producto en México a partir de la liberalización comercial, a través de un modelo Var de series de tiempo, que conlleva el análisis de impulso respuesta y descomposición de la varianza, confirmando el paradigma ELG. Para esto delimitó dos periodos de observaciones:
Pese a ello, distinguió la inexistencia de causalidad desde la inversión extranjera directa (IED) hacia el producto y las exportaciones. El que haya una condición de equilibrio de largo plazo entre el producto agregado y las exportaciones o bien una causalidad entre dichas variables, en realidad no tiene nada de extraordinario, pues la teoría marca que el primero depende de las segundas; sin embargo, los autores no indican de qué nivel es el crecimiento del producto en un contexto de apertura, menos aún el papel de las importaciones en el largo plazo y su influencia en el producto durante el periodo de apertura comercial.
Por el contrario, también existen versiones que cuestionan el desenvolvimiento económico del país a partir de la liberalización comercial. Por ejemplo, Penélope Pacheco-López (2005b) demostró, mediante el Modelo Autorregresivo de Rezagos Distribuidos (ARDL), que la drástica apertura comercial a partir de 1986 estimuló, en mayor medida, el crecimiento de las importaciones sobre las exportaciones, debido a una elasticidad mayor de las primeras sobre las segundas, vulnerando al sector industrial mexicano y volviéndolo dependiente de insumos extranjeros. Asimismo, los resultados a los que arribó formulando un modelo restringido de la balanza de pagos muestran que los efectos de la apertura sobre ésta limitan el crecimiento del país. Cabe recordar que esa metodología ya se había aplicado, pero en un contexto de cointegración (Moreno-Brid, 1999).
Penélope Pacheco-López (2005a) puso en entredicho los efectos de la IED en México, a partir de los procesos de apertura y liberalización comercial y de capitales. Ciertamente los flujos de IED en México impulsaron las exportaciones, pero a costa de la destrucción de industrias locales, con efectos adversos en la industrialización interna y en la polarización de la economía mexicana. A partir de la liberalización comercial, el Estado mexicano relegó la puesta en marcha de una política industrial y comercial, con el fin de lograr una efectiva estrategia orientada al desarrollo que garantice un mejor equilibrio entre el crecimiento de las exportaciones y de las importaciones, sin restringir el crecimiento de largo plazo. El trabajo se logró gracias a un análisis de cointegración de Johansen, así como de causalidad de Granger.
Guerrero (2006) analizó empíricamente el crecimiento económico en México durante el periodo 1929-2003, por medio de variables como el PIB, exportaciones, importaciones, tipo de cambio, ingreso del resto del mundo y elasticidades, mediante un estudio de cointegración de largo plazo (técnica de Johansen). Concluyó que, aunque el crecimiento económico de México está ligado básicamente a la dinámica productiva de nuestro vecino del Norte y a la evolución de los términos de intercambio, conviene incrementar la competitividad interna para mejorar las exportaciones netas y, en consecuencia, promover el crecimiento económico.
Ante esa perspectiva, recomendaba instrumentar políticas que coadyuvaran al incremento de la productividad del trabajo y que promovieran las ganancias de competitividad de las empresas, así como evitar la sobrevaluación del peso respecto del dólar para estimular las exportaciones y evitar que se continuaran destruyendo las cadenas productivas por las importaciones indiscriminadas.
Ibarra (2008) notó que las exportaciones mexicanas a partir de la liberalización comercial influían en las importaciones de bienes intermedios, lo cual generaba crecimiento económico bajo. Asimismo, dilucidó una injerencia decisiva de la política monetaria del país en el tipo de cambio real, para mantener estables los precios internos, lo cual impidió la sustitución de insumos importados. Esto lo realizó a través de técnicas de cointegración en el periodo 1993-2006.
Mediante diversas técnicas econométricas de series de tiempo, Romero (2010; 2013) , hizo observaciones del comercio exterior mexicano, concluyendo que los incrementos sobresalientes de los montos de exportaciones mexicanas son limitados, pues están ensombrecidos por los mayores montos de importaciones. Específicamente, las exportaciones manufactureras tienen limitado -si no es que nulo- impacto en la economía nacional, pues las importaciones de bienes intermedios impiden una efectiva industrialización del país que, de llevarse a cabo, estimularía un verdadero proceso de crecimiento sostenido y autosustentable.
Aunque varios de los trabajos citados señalan que las importaciones cumplen un papel determinante en la configuración de las exportaciones mexicanas y su limitado efecto en el producto agregado -a raíz de que condicionan los bajos o nulos encadenamientos productivos al interior del país- no lo justifican estadísticamente.
En este sentido, el siguiente apartado versa sobre los trabajos que critican los resultados del proceso de apertura comercial, no porque el comercio internacional sea nocivo para el país, sino por el tipo de importaciones que realiza, condicionando la planta productiva nacional, la poca generación de empleo y los bajos niveles de valor agregado.
Datos y metodología empírica
Aquí se presentan los datos y metodología empírica de la investigación. En primer término, la Gráfica 2 indica el comportamiento del PIB, de las exportaciones y de las importaciones totales en millones de pesos de 2008 (de 1980 a 2012). Como se advierte, ambas variables muestran una tendencia creciente, aunque con puntos de inflexión en los años 1982, 1994 y 2008 para la variable PIB, que delimitan las crisis del país y los periodos que conllevan a la recuperación. Queda de manifiesto el valle de los años ochenta, periodo bien conocido como década perdida.

Fuente: Elaboración propia con datos del FMI (2014) e INEGI (2014).
Gráfica 2 PIB, exportaciones (X) e importaciones (M) totales de México (1980-2012) (MDP de 2008)
En cuanto a las exportaciones e importaciones paralelas, se manifiesta un crecimiento más agudo de éstas a partir de 1994, cuando entró en vigor el TLCAN. Se observa cómo, a partir de dicho año tanto las exportaciones e importaciones como el PIB se mueven conjuntamente, síntoma de una posible relación de largo plazo, aunque también advierte, técnicamente, de una posible relación espuria que habrá de considerarse en la modelación econométrica.
La Gráfica 3 exhibe la tasa de crecimiento anual (de 1980 a 2012) de las exportaciones totales, así como del PIB. De 1983 y 2005 ambas variables muestran una relación inversa a partir de las crisis de 1982 y 1994; sin embargo, en los demás años del periodo se aprecia que ambas variables mantienen similar comportamiento, explicable o atribuible a una pérdida de competitividad de las exportaciones mexicanas, o bien, a una disminución considerable de la demanda de nuestro principal socio comercial, Estados Unidos, en periodos de crisis internacionales.

Gráfica 3 Tasa anual de crecimiento de las exportaciones totales (X) y del PIB en México (1980-2012)
La Gráfica 4 manifiesta la tasa de crecimiento anual de las importaciones totales y del PIB de 1980 a 2012. Destaca que el comportamiento de las importaciones es más estable que el de las exportaciones, con cierta diferencia en 1988, cuando esas variables mostraron una casi imperceptible relación inversa. Lo notorio de los flujos de exportaciones y de importaciones totales es que los montos son prácticamente equiparables.
En este sentido, ¿cómo medir las ventajas o desventajas del comercio internacional de México?, ¿es posible modelar una relación en la que el producto agregado esté en función directa de las exportaciones e indirecta de las importaciones totales? Según la información estadística disponible, no es permisible modelar una relación de este tipo, pues los flujos del comercio exterior mexicano presentan una alta correlación (véase Cuadro 1), frente a lo cual se presentaría un problema de multicolinealidad. Frente a dicha condición, es prácticamente lo mismo modelar el producto agregado en función tanto de las exportaciones como de las importaciones totales; empero, la modelación será en función de las exportaciones como dicta la teoría.
Cuadro 1 Coeficientes de correlación entre el PIB, las exportaciones (X) e importaciones (M) totals
| PIB | X | M | |
| PIB | 1 | ||
| X | 0.9895 | 1 | |
| M | 0.9925 | 0.9906 |
Fuente: Elaboración propia.
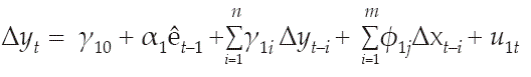
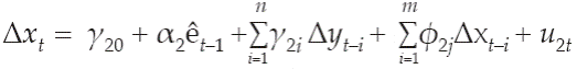
El comportamiento de las variables en la Gráfica 2 manifiesta una aparente carencia de estacionar IEDad, es decir, tiene raíces unitarias. Para corroborar lo anterior, se realizaron pruebas de raíces unitarias a las variables en logaritmos, a fin de conocer si se comportan como caminatas aleatorias. Ante esa situación, empleamos la metodología de Johansen para vislumbrar que las series cointegren a través de pruebas del rango de Γκ, es decir, la matriz de parámetros vinculada con el vector de rezagos en los niveles de las variables del modelo de corrección de error (MCE) del var de m variables:
En la ecuación anterior, la solución en niveles de largo plazo está definida por Γκ , mientras que k , siendo lo suficientemente grande, asegura que νt sea un vector i.i.d. (gaussiano de ruido blanco que se distribuye idéntica e independientemente con media cero y varianza finita). La metodología de Johansen concibe la estimación del modelo de corrección de error en forma vectorial (VECM) como se indica:
Los residuos de la ecuación de cointegración rezagados un periodo se representan con êt-1. A partir de este método de estimación, será posible probar la causalidad en el sentido de Granger (Rodríguez y Venegas, 2011).
En el Cuadro 2 se presentan las pruebas de raíces unitarias para las variables del PIB y las exportaciones totales en logaritmos y primeras diferencias. Se ofrecen las pruebas de Dickey-Fuller Aumentada (ADF), Dickey-Fuller con mínimos cuadrados generalizados (DF-GLS) y Phillips-Perron (PP), por medio de las cuales se acepta la hipótesis nula de raíces unitarias para las series en niveles.
Cuadro 2 Pruebas de Raíces Unitarias para las series: 1980-2012
| Variable | Modelo | Prueba | |||
|---|---|---|---|---|---|
| ADF | DF-GLS | PP | KPSS | ||
| LPIB | 1 | 4.1961 (-1.95) | - | 6.9352 (-1.95) | - |
| 2 | 0.0049 (-2.96) | 1.0745 (-1.95) | 0.4024 (-2.96) | 0.6538 (0.46) | |
| 3 | -2.6220 (-3.56) | -2.6095 (-3.19) | -2.4800 (-3.56) | 0.1062 (0.15) | |
| ΔLPIB | 1 | -4.2746 (-1.96) | - | -4.3624 (-1.96) | - |
| 2 | -3.8426 (-2.98) | -4.3062 (-1.95) | -6.0024 (-2.96) | 0.1603 (0.46) | |
| 3 | -3.9017 (-3.59) | -3.1838 (-3.19) | -6.1064 (-3.56) | 0.1289 (0.15) | |
| LX | 1 | 5.4753 (-1.95) | - | 4.7203 (-1.95) | - |
| 2 | -1.3619 (-2.96) | 0.1245 (-1.95) | -1.3619 (-2.96) | 0.6508 (0.46) | |
| 3 | -1.1176 (-3.56) | -1.9279 (-3.19) | -1.3731 (-3.56) | 0.1116 (0.15) | |
| ΔLX | 1 | -2.5456 (-1.95) | - | -2.3905 (-1.95) | - |
| 2 | -3.8279 (-2.96) | -3.8430 (-1.95) | -3.7401 (-2.96) | 0.1824 (0.46) | |
| 3 | -3.8668 (-3.56) | -4.0022 (-3.19) | -3.7716 (-3.56) | 0.1165 (0.15) | |
Se aplicaron las pruebas Dickey Fuller Aumentada (ADF), Phillips-Perron), Dickey Fuller con mínimos cuadrados generalizados (DF-GLS) y Kwatkowsky, Phillips, Schimidt y Shin (KPSS), considerando tres modelos diferentes: 1) sin intercepto y sin tendencia, 2) con intercepto y 3) con intercepto y tendencia. Las letras en negritas indican que la prueba de raíz unitaria no es significativa al 95 por ciento de confianza. Los números entre paréntesis y cursivas indican los valores críticos al nivel del 5 por ciento. Pruebas realizadas en Eviews 6.0.
Fuente: Elaboración propia.
Por el contrario, al realizarse las pruebas en primeras diferencias, no es posible aceptar la hipótesis nula de raíces unitarias, por lo que se concluye que son I (1). Cabe mencionar que las pruebas se aplicaron a tres modelos: 1) sin intercepto y sin tendencia, 2) con intercepto y 3) con intercepto y tendencia.
Asimismo, se llevó a cabo la prueba KPSS de estacionariedad a las variables en cuestión. A partir de las pruebas en niveles, los resultados muestran que el producto y las exportaciones poseen una raíz unitaria, mientras que sucede lo contrario con las variables en primeras diferencias, corroborando el argumento que son I (1). Frente a estas definiciones, es decir, existencia de raíces unitarias en las series objeto de estudio, es posible hacer un análisis de equilibrio en el largo plazo a través de la técnica de cointegración.
Para comprobar que existe un vínculo de largo plazo entre el producto agregado y las exportaciones totales, se realiza la prueba de Johansen con un rezago según los criterios plasmados en el Cuadro 3, a partir de las pruebas de identificación del modelo var. El valor p de la prueba de la traza indica el rechazo de la hipótesis nula de que no existe una relación de cointegración al 5 por ciento de significancia.
Cuadro 3 Identificación del modelo

* Indica el rezago seleccionado por el criterio.
LR: Prueba del estadístico secuencial modificado lr.
FPE: Error de predicción final.
AIC: Criterio de Akaike.
SC: Criterio de Schwarz.
HQ: Criterio de Hannan-Quinn.
Fuente: Elaboración propia.
La segunda línea refleja por el contrario un valor p alto, lo que demuestra la presencia de un vector de cointegración en las series objeto de estudio (véase Cuadro 4). Cabe subrayar que al modelo se agregó una variable dummy con valor de 1 para los años 1983, 1995 y 2009, con el fin de asentar los impactos de las crisis que se suscitaron en 1982, 1994 y 2008, con efectos en la primera serie de años señalados.
Cuadro 4 Resultados de la prueba de la traza de Johansen

* Indica el rechazo de la hipótesis nula al 5 por ciento de significancia. Prueba realizada en Eviews 6.0.
Fuente: Elaboración propia
La ecuación de largo plazo (o de cointegración) se presenta enseguida, y en ella se aprecian los errores estándar entre paréntesis. Esta relación de largo plazo, aunque muestra equilibrio entre las variables, no presenta claridad en cuanto al signo de los flujos de exportación. Ciertamente, diversos estudios muestran que existe una relación de largo plazo, mas no la muestran. Ahora bien, puesto que no se incorporó los flujos de importaciones para evitar un problema de multicolinealidad, mencionamos como hipótesis que, al hacerlo, dichos flujos tomarían valores contrarios, lo cual cancelaría efectos de alto impacto que generaría el comercio internacional en el país. En otras palabras, siendo los montos de exportaciones muy parecidos a las importaciones, los efectos que pudieran ejercer sobre el producto agregado se cancelan.
Para observar la normalidad de los residuos del MCE, se realizó la prueba de Urzúa, debido al número de observaciones del modelo (véase Cuadro 5). En éste se aprecia que los residuos se distribuyen normalmente. Asimismo, el Cuadro 5 permite vislumbrar que los residuos no presentan problemas de autocorrelación.
Cuadro 5 Pruebas de diagnóstico para los residuos del MCE
| Urzúa | ||
|---|---|---|
| Prueba | Estadístico | Probabilidad |
| Asimetría | 0.6026 | 0.7399 |
| Curtosis | 0.1704 | 0.9183 |
| Jarque-Bera | 3.6363 | 0.9337 |
| Prueba | Estadístico | Probabilidad |
| Autocorrelación | ||
| LM(1) | 4.4153 | 0.3527 |
| LM(2) | 0.7213 | 0.9487 |
| LM(3) | 1.1054 | 0.8934 |
| LM(4) | 3.0748 | 0.5454 |
Los números entre paréntesis son los rezagos incorporados en cada prueba.
Prueba realizada en Eviews 6.0.
Fuente: Elaboración propia.
Como ya se dijo antes, la metodología utilizada posibilita conocer la causalidad de Granger. En este sentido, la hipótesis nula propone que el PIB no causa a las exportaciones o viceversa. Con los valores p estimados no es posible rechazar las hipótesis nulas de que existe una relación causal entre las dos variables. En otras palabras, conforme al Cuadro 6, se observa la inexistencia de causalidad de las exportaciones totales al PIB, y de este último a las exportaciones en el periodo de estudio; no obstante, lo anterior no significa que las variables no ejerzan una influencia directa de manera mutua, sino que no es clara la relación. Un análisis más pormenorizado tendría que estar ligado a la injerencia de otras variables, como de tipo monetarias, lo cual amerita una investigación alterna.
Conclusiones
Este trabajo muestra que, aun cuando existe una relación de largo plazo entre el PIB y las exportaciones totales de México en el periodo en cuestión, aquélla no es clara en términos de signo y causalidad. Un estudio más pormenorizado de variables económicas arrojaría luz sobre este espectro, lo cual escapa a los alcances este artículo.
Conforme a lo visto en la revisión de la bibliografía, teórica y empíricamente se muestra que las exportaciones estimulan el crecimiento del PIB; pero también existen numerosos estudios que cuestionan el esquema del comercio exterior mexicano.
Ciertamente las exportaciones influyen positivamente en el crecimiento de una economía; empero, han de tomarse en cuenta las bases y antecedentes de esos flujos.
Para el caso de México, el incremento de las ventas de productos al exterior se presenta en un contexto de crecientes montos de importaciones, restricciones de las cuentas externas y del tipo de cambio, factores todos que ponen en entredicho el éxito del modelo exportador mexicano.
Por otro lado, la falta de contundencia del hecho de que el producto no cause a las exportaciones pone de relieve la carencia de un esquema que, de manera integral, siente las bases para la conformación de un modelo de desarrollo nacional con miras a una política industrial y comercial que genere crecimiento sostenido. Tal modelo habrá de basarse en la coparticipación y acuerdos entre procesos de investigación, desarrollo y mejores niveles educativos, en un entorno institucional que anime la inversión y, por ende, la generación de empleo, factura pendiente para millones de mexicanos.
Los resultados hasta aquí presentados por el modelo exportador mexicano refutan los planteamientos que orientaron el proceso de apertura comercial. La ausencia de un proceso adaptativo, de preparación o retroalimentación ha beneficiado a conglomerados industriales internacionales o bien a monopolios nacionales.
Tampoco se cumplieron los argumentos que pregonaban la superación de los niveles de pobreza de millones de mexicanos por la adopción de medidas de corte neoclásico del comercio internacional, en un contexto de proximidad del país con el mercado mundial más grande del mundo.
Si México continúa entrampado en los ámbitos señalados, seguiremos estancados en los procesos productivos que delimitan la generación de bajo valor agregado, endebles o nulos encadenamientos productivos internos, además de bajos niveles de innovación, todo lo cual desestimula la inversión, por más que sigamos buscando nuevos acuerdos comerciales.
En cuanto al modelo ELG, explícitamente varios estudios han señalado sus limitaciones, debido a diversos problemas estructurales: uno de los cuales tiene que ver con los niveles de endeudamiento de los consumidores estadunidenses, lo que contradice su fundamento, es decir, en la fortaleza de tal mercado para adquirir los productos de exportación de México y que justificaría a su vez, los flujos de inversión extranjera directa, siendo el mercado estadunidense el principal destino para nuestro país. Ello hace pensar que el paradigma se agota. A lo anterior ha de agregarse la competencia por los mercados de las economías desarrolladas (con altos niveles de endeudamiento del sector privado y del público) de las economías emergentes, además de la competencia con China.
Ante este panorama, una alternativa es cambiar las estrategias enfocadas a fortalecer el modelo encabezado por las exportaciones (atraer IED orientada a las exportaciones, sin que esto se traduzca en el abandono de todo esfuerzo por exportar, ya que, de lo contrario, no se solventarán los bienes intermedios y finales que no se producen en el país), por el dirigido por la demanda interna (domestic demand-led growth, DLG), lo cual significa considerar los elementos exitosos, pero actualizados del modelo de SI:
Incrementar la inversión pública en infraestructura.
Aumentar la inversión en salud, educación, investigación y desarrollo.
Fijar un tipo de cambio competitivo.
Diseñar una política fiscal vinculada con la política monetaria de corte anticíclica.
Ejecutar una reforma fiscal que grave más a los sectores de altos ingresos y menos a los de bajos ingresos (Palley, 2002; Rodrik, 2005 y 2006; Ros, 2013).










nueva página del texto (beta)






