Servicios Personalizados
Revista
Articulo
Indicadores
-
Citado por SciELO -
Accesos
Links relacionados
-
Similares en
SciELO
Compartir
Migraciones internacionales
versión On-line ISSN 2594-0279versión impresa ISSN 1665-8906
Migr. Inter vol.3 no.4 Tijuana jul./dic. 2006
Artículos
Determinantes macroeconómicos regionales de la migración mexicana
Jorge Eduardo Mendoza Cota
El Colegio de la Frontera Norte. Dirección electrónica: emendoza@colef.mx
Fecha de recepción: 9 de enero de 2006.
Fecha de aceptación: 3 de julio de 2006.
Resumen
Con base en información sobre las características económicas y sociales de los estados de México, en el presente artículo se estiman los determinantes macroeconómicos de la migración de México hacia Estados Unidos. Se utiliza un modelo de mínimos cuadrados generalizados aplicado a una base de datos regionales de corte transversal. Los resultados muestran un coeficiente positivo de la proporción del PIB de Estados Unidos respecto a los estados de México y el crecimiento de la migración, corroborando la existencia de factores regionales para la migración. El PIB per cápita estatal mostró un coeficiente positivo, lo que sugiere que los estados con menores ingresos experimentan mayores incentivos para la migración. Adicionalmente, las tasas de desempleo estatal y los acervos de migración permanente en Estados Unidos mostraron un efecto positivo, y ello subraya la importancia de las redes sociales en los costos de la migración. Las variables de apertura económica no fueron concluyentes, aunque la inversión extranjera directa exhibió un signo positivo con respecto al crecimiento de la migración.
Palabras clave: 1. migración internacional, 2. macroeconomía, 3. economía regional, 4. trabajo, 5. México.
Abstract
Based on data on the economic and social characteristics of Mexico's states, this article estimates the macroeconomic determinants of Mexican migration to the United states. A generalized least-squares model is applied to a cross-sectional regional database. The results show a positive coefficient for the U.S. GDP/Mexican state-level GDP ratio in relation to the growth of migration. This corroborates the existence of regional factors driving migration. The state-level per-capita GDP showed a positive coefficient, which suggests that the poorest states experience the greatest incentives for migration. Additionally, the rates of state unemployment and the pool of permanent migrants living in the United States have a positive effect. This underscores the importance of social networks for reducing the costs of migrating. The variables for economic opening were inconclusive, although foreign direct investment was positive with respect to the growth of migration.
Keywords: 1. international migration, 2. macroeconomics, 3. regional economics, 4. labor mobility, 5. Mexico.
1. Introducción
Recientemente se han intensificado los flujos migratorios provenientes de las diferentes regiones de México hacia Estados Unidos. Este fenómeno se ha dado en el contexto de las crecientes restricciones a los flujos migratorios que ha originado el establecimiento de una política estadunidense que le da prioridad a los objetivos de seguridad sobre los de integración y apertura económica con México. Cabe destacar que la intensificación de las relaciones económicas entre México y Estados Unidos fue considerada como el mecanismo para reducir las diferencias económicas regionales entre ambos países y, por ende, para aminorar la presión migratoria.
Asimismo, se observa que la migración temporal, que puede coadyuvar a sostener el gasto de los hogares, se ha acompañado con un aumento de la migración permanente, entendida como aquella que se origina por la falta de oportunidades en los países de origen y la posibilidad de encontrar trabajos permanentes en el país de destino. Es por ello que algunos investigadores de la migración mexicana sostienen que los problemas estructurales macroeconómicos, como los bajos salarios y la falta de empleo, generan condiciones para este tipo de migración (Lozano, 2004).
Con base en trabajos empíricos ya realizados, el presente estudio tiene como finalidad estimar los determinantes de la expansión de la migración regional de México hacia Estados Unidos. En particular, el artículo está enfocado en la medición del efecto de las variables de apertura económica de México y de las variables macroeconómicas de sus estados en los flujos migratorios de mexicanos hacia Estados Unidos. Para lograr este cometido, se especifican las variables que reflejan esta tendencia y que se fundamentan en los flujos de inversión extranjera y en el comercio regional. Además, se busca estimar si existen variables regionales en la estructura económica que estén determinadas, a través de los mercados laborales, por el comportamiento de los flujos migratorios. Para ello se utilizan variables de ingreso estatales e indicadores de desempleo. Finalmente, una contribución importante al análisis de los determinantes de la migración es la estimación del impacto de las redes sociales, medida con una variable aproximada constituida por migrantes establecidos permanentemente en Estados Unidos.
El trabajo está estructurado de la siguiente manera: en el inciso 2 se describen las características del fenómeno migratorio reciente, así como la relación con variables regionales macroeconómicas y de la apertura económica; en el inciso 3 se realiza una revisión de la literatura teórica que permite definir los supuestos que explican el modelo empírico de estimación; en el inciso 4 se presentan los resultados de la estimación del modelo empírico, y finalmente, en el inciso 5 se presentan las conclusiones de la investigación.
2. El fenómeno de la migración y la economía mexicana
Apertura y cambios en la estructura económica de México
La apertura económica impulsada por el establecimiento del Tratado de Libre Comercio de América del Norte (TLCAN) fue un acicate para la promoción del crecimiento económico en México. Sin embargo, a más de diez años de la entrada en vigor del acuerdo comercial, la dinámica económica no ha logrado generar las bases de crecimiento económico que permitan generar los niveles de empleo y remuneraciones económicas adecuados. La fragilidad y los desequilibrios económicos de México han incentivado la migración de mexicanos hacia el vecino del norte, dando origen al fenómeno de los grandes volúmenes de remesas, y ambos fenómenos, la migración y las remesas, se han convertido en aspectos vinculados al patrón de crecimiento económico regional.
A continuación se presentan los principales aspectos que caracterizan los cambios macroeconómicos experimentados tanto en la estructura como en la dinámica económica de México, en el contexto de la apertura e integración económica con Estados Unidos:
- Respecto a los impactos de la apertura económica, se aprecia el acelerado crecimiento de la inversión extranjera directa (IED) durante la segunda mitad de la década de los noventa. Otro aspecto relevante son las exportaciones de México hacia Estados Unidos, que mostraron un incremento sustancial, en particular las relacionadas con el sector manufacturero productor de insumos intermedios, cuya dinámica regional se ha concentrado en los estados de la frontera norte.1
- Es importante apuntar que se aprecian cambios regionales en la dinámica económica de México. En la industria manufacturera se destaca la rápida disminución del empleo que experimentaron el Distrito Federal y el Estado de México, lo que evidencia una desagregación y relocalización considerable de su industria manufacturera.2 Asimismo, se han exhibido cambios en la estructura y dinámica de la población regional. De esta manera, el Distrito Federal y el Estado de México, que concentraban aproximadamente un 25 por ciento del total de la población en 1980, vieron disminuir su participación en 9.4 por ciento entre 1990 y el 2000. Además, la población en los estados de la frontera creció a una tasa relativamente mayor (4.71%) que en otras regiones (-1.26% en la zona centro y 1.73% en la zona sur).
Por su parte, los estados de la región sur mostraron tasas de crecimiento relativamente altas en la década de los ochenta, donde se alcanzó un crecimiento de 12 por ciento.3
- Finalmente, se aprecia una incapacidad del sistema económico para generar el volumen de empleo que demanda la propia dinámica demográfica. Como resultado, durante la década de los noventa se experimentó un acelerado crecimiento del movimiento de migrantes hacia Estados Unidos, que incluso determinó que algunos autores lo definieran como el período de los collective migrants (Delgado y Rodríguez, 2001).
De igual forma, se aprecia un aumento de las remesas provenientes de trabajadores mexicanos en Estados Unidos, lo que ha impactado en regiones con alta intensidad migratoria, en particular en lo relacionado con los patrones de consumo (Durand, Parrado y Massey, 1996).
En este contexto, el presente estudio está orientado al análisis del efecto de estas nuevas características en las tendencias del crecimiento económico regional del país. En particular, se aborda el impacto de las variables macroeconómicas regionales y algunas variables de apertura en el proceso migratorio de trabajadores mexicanos hacia Estados Unidos.
Economía regional y fenómeno migratorio
Los movimientos migratorios de México a Estados Unidos han derivado, de manera importante, de las diferencias económicas entre dos economías contiguas (Corona y Santibáñez, 2004). Por una parte, la economía más desarrollada requiere mano de obra barata y de poca calificación para desempeñar trabajos con niveles bajos de productividad marginal del trabajo (y con características de dualismo económico), y por otra, la economía menos desarrollada está caracterizada por la vulnerabilidad y la falta de estabilidad en el crecimiento de largo plazo, lo que limita su capacidad para generar empleos y el aumento de los salarios reales relativos.
El análisis macroeconómico al nivel regional es determinante para hacer evidentes los factores económicos que están impactando en la migración. El enfoque regional cobra mayor relevancia si se considera que la economía mexicana experimentó importantes cambios económicos estructurales durante la década de los noventa. En particular, hay que destacar el proceso de apertura económica que originó un crecimiento del comercio exterior y la captación de inversión extranjera directa. Esto ha tenido impactos relevantes en la dinámica macroeconómica de las regiones del país.
Respecto a la panorámica económica regional de México, se observa que los estados de Zacatecas (aunque ubicado en el norte), Guerrero, Michoacán y Oaxaca, se caracterizan por ser expulsores de migrantes.4 Asimismo, sobresalen los casos de los estados de Jalisco y de México, que se ubican en segundo y tercer lugar en cuanto al monto del PIB total y también se caracterizan por ser la primera y cuarta regiones expulsoras de migrantes (cuadro 1). Estas cifras implican la existencia de condicionantes económicos regionales que se agregan al factor del ingreso para determinar impactos diferenciales de las estructuras económicas regionales en el proceso migratorio de mexicanos hacia Estados Unidos.

Una de las características del comportamiento de las variables de la actividad económica regional que se refleja en el comportamiento del PIB estatal se relaciona con los niveles de las tasas de desempleo abierto en México. Se observa que el Distrito Federal y los estados de Hidalgo, Jalisco, Tlaxcala, Veracruz, México y Zacatecas se han caracterizado por experimentar altas tasas de desempleo que incluso tendieron a incrementarse entre 1993 y 1996 (cuadro 2). Esto sugiere la existencia de una relación entre el desempleo de la fuerza de trabajo regional y los movimientos migratorios de la población de los estados en los que estos parámetros de desempleo son mayores. Así pues, esta relación se suma a la dinámica y grado de la actividad económica y a los ingresos de la población como factor determinante de la migración.

Cabe destacar que un factor socioeconómico determinante de los procesos que originan la migración es la existencia de redes sociales que facilitan los mecanismos para migrar, al reducir los costos del proceso migratorio y coadyuvar a la obtención de empleo. Es por ello que la cantidad de migrantes que se encuentran establecidos como residentes en Estados Unidos y cuyo origen es algún estado mexicano es un indicador importante de la posibilidad de desarrollo de estas redes facilitadoras de la migración hacia ese país.
Al respecto, se observan tres fenómenos que están relacionados con la cantidad de población migrante nacida en México y que reside permanentemente en Estados Unidos. Por una parte, se aprecia que entre 1990 y 2003 los estados que experimentaron movimientos migratorios con mayor intensidad son los que se caracterizan por contar con una mayor población que reside permanentemente en Estados Unidos. Éste fue el caso de Jalisco, Michoacán y Zacatecas, que en 1990 contaban con un porcentaje de 16.8, 10.5 y 6.7 por ciento, respectivamente, de los residentes mexicanos en el país vecino (cuadro 3). De igual manera, las tasas de crecimiento promedio anual de la población con residencia permanente en Estados Unidos muestran que los estados de la región sur del país, aunque aún no cuentan con grandes cantidades relativas de población viviendo en ese país, han tenido un gran dinamismo migratorio durante la década de los noventa. En particular, resaltan los casos de Tlaxcala, Veracruz, Chiapas, Hidalgo, Puebla y Guerrero.

Finalmente, los estados de la frontera norte de México, que inicialmente se caracterizaban por ser grandes expulsores importantes de población hacia Estados Unidos, han experimentado una reducción de las tasas de crecimiento de los migrantes residentes en la Unión Americana, por lo que su participación en el total de la población de cada uno de los estados ha disminuido. Por ello, se considera importante añadir al análisis de los determinantes de la migración el tipo de migrantes y la consolidación de las redes sociales desde la perspectiva de su impacto en los costos de migración.
Es importante distinguir las características laborales de la población mexicana residente en Estados Unidos a fin de conocer cuáles han sido los beneficios derivados de la migración hacia ese país para los trabajadores mexicanos y, de esta manera, poder vincular los determinantes de la migración con las posibilidades de obtener empleo allá. Así, se aprecia que la población nacida en México residente en Estados Unidos mayor de 15 años observó un incremento del porcentaje de personas empleadas en 2003 (69.1 contra 65.6% en 1994), lo cual evidencia mayores oportunidades de empleo relativas para los trabajadores mexicanos en aquel país (cuadro 4).

Otra característica muy importante del empleo de los migrantes es el tipo de actividad económica en la que se están concentrando los trabajadores. En el período de estudio el sector servicios tendió a concentrar el empleo, pasando de una participación en el total del empleo de 51.9 a 59.8 por ciento entre 1994 y 2004. En lo que toca al perfil del trabajador, sobresale el lento crecimiento de las habilidades para el trabajo. Así, los trabajadores profesionistas crecieron 2.4 por ciento en el período, mientras que los trabajadores del sector servicios sólo crecieron 0.8 por ciento. Finalmente, debemos mencionar que el ingreso de los trabajadores mexicanos se elevó a una tasa promedio anual de 4 por ciento, lo que implicó un incremento del ingreso anual promedio de 14 431 a 21 495 dólares.
Finalmente, respecto a las características de permanencia de los migrantes, se observa que 61.6 por ciento de los migrantes no retornaron a México en el período 1997-2002, mientras que 38.4 por ciento se puede caracterizar como migración circular (cuadro 5). Este fenómeno muestra los efectos de las barreras a la migración circular, las que tienden a reforzar la migración permanente y, por tanto, la importancia de las redes sociales en la dinámica del proceso migratorio entre México y Estados Unidos.

3. Enfoque económico de los determinantes de la migración
Debido a los múltiples factores socioeconómicos que afectan el proceso migratorio, existe también una variedad de planteamientos teóricos que buscan generar estructuras conceptuales y modelos teóricos haciendo énfasis en diferentes aspectos que explican la lógica que determina la toma de decisiones en el fenómeno de la migración. En términos generales, desde la perspectiva de la economía neoclásica convencional se asume que las decisiones de migración se llevan a cabo en un contexto basado en los supuestos de competencia perfecta y racionalidad económica. En este sentido, las decisiones de migración se relacionan con las oportunidades salariales (Hicks, 1932). Desde la perspectiva del análisis macroeconómico, los planteamientos de Lewis (1954) y de Harris y Todaro (1969 y 1970) resaltan las diferencias de oferta y demanda de trabajadores a nivel internacional y las disparidades de salarios como factores que vinculan la migración con el desarrollo económico. Con el fin de incluir las diferencias en los niveles regionales de empleo y su efecto en la migración, este enfoque establece que las decisiones de migrar dependen de los ingresos y de las probabilidades de obtener un empleo, las cuales están ligadas a los niveles regionales de empleo y a los salarios (urbanos y rurales). En esta perspectiva, los diferenciales de salarios y de empleo entre los países o regiones son la causa de la migración, pues reflejan una distribución del trabajo de acuerdo con la productividad marginal del mismo, lo que implica un proceso de igualación de la remuneración al factor trabajo. Cabe destacar que, según Massey etal. (1998), la visión sobre la migración internacional ofrecida por la teoría neoclásica ha influido en la opinión pública al considerar a los mercados laborales como sus principales determinantes.
La visión de la economía neoclásica también ha sido utilizada desde la perspectiva del análisis microeconómico laboral, al introducir modelos de decisiones individuales basadas en el análisis de costo y beneficio y la tasa neta de rendimiento esperada como determinantes de la migración internacional (Borjas, 1994). En esta perspectiva, la variable de capital humano y los retornos derivados influyen en los procesos migratorios. De esta manera, las regiones o países que tienen diferentes características y dotaciones de capital humano determinan la diferencia en los ingresos de los trabajadores, lo cual tiene un importante impacto en las decisiones de migración (Sjaastad, 1962). Además, al considerarse a la migración como un proceso de inversión, en un contexto de costos de oportunidad, este enfoque elimina las restricciones de mercados competitivos e introduce los costos de transporte y los costos psicológicos derivados del proceso de migración. Con base en este enfoque, se puede señalar que los diferenciales de salario y empleo, por una parte, y los costos de migración, determinados por las características individuales del migrante, las condiciones sociales y la tecnología de transporte, entre otros, impactan las decisiones de migrar. Esto implica que dentro de un mismo país existen diferentes condicionantes para migrar (Massey et al., 1998).
Al nivel de la investigación empírica, los estudios buscan confirmar esta relación, por lo que generalmente se orientan a estimar el impacto del factor salarial en las decisiones de la migración. La rapidez del ajuste de salarios es un aspecto que es discutido por los investigadores que subrayan la importancia del análisis de la muestra de migrantes y el impacto de los grupos de migrantes con diferentes habilidades y grados de educación. Cabe destacar que en esta perspectiva se han desarrollado otros modelos que privilegian el enfoque en el estudio de los hogares, lo que permite incluir el análisis de los ingresos y la diversificación en las decisiones de migración (Straubhar, 1988; Bhattacharya, 1993).
Es importante mencionar que entre los estudios de la migración se han desarrollado planteamientos respecto a la necesidad de generar condiciones económicas en los países expulsores de migrantes a fin de reducir la migración ilegal (Rotte y Vogler, 1998). Así pues, además de los factores relacionados con el crecimiento de la población y de las diferencias en el ingreso per cápita (Easterlin, 1961), los diferenciales de los salarios de trabajadores urbanos poco calificados y el crecimiento de la población rezagado han sido considerados factores que han impulsado la migración (Hatton y Williamson, 1994).
También se ha desarrollado el enfoque de "la nueva economía de la migración", que, al considerar limitados los supuestos y resultados de la teoría neoclásica, plantea que las decisiones de inversión no sólo están determinadas por los agentes económicos individuales, y por eso utiliza al hogar y no al individuo como la unidad de análisis fundamental y relaciona a la migración con las remesas, considerando que esta última es un factor que influye en las decisiones de migración en las familias (Stark y Taylor, 1991). De igual forma, en este enfoque se utiliza el concepto de privación relativa para explicar que en la posición relativa del ingreso está presente la desigualdad como un determinante de la migración. También, en esta corriente se privilegia el enfoque del fenómeno de la migración como un proceso de innovación, adopción y difusión, en la medida en que los agentes económicos son heterogéneos en práctica y selectividad como respuesta a condiciones económicas tales como la dotación de factores, los precios y las oportunidades de empleo (Stark y Boom,1985). En general, bajo esta perspectiva se considera que los individuos actúan colectivamente para maximizar el ingreso esperado y también para minimizar los riesgos asociados a una variedad de fallas del mercado.
Según este enfoque, los hogares controlan los riesgos diversificando el trabajo familiar. Por ello, debido a que el ingreso no es homogéneo y a las características de los mercados de capital y crédito, de los seguros agrícolas y de retiro laboral, se observa que el ingreso adicional que implican las remesas incrementa la "privación relativa" de los hogares, reduciendo la utilidad de éstos y estimulando la migración.
Cabe destacar que una explicación teórica de los determinantes de la migración internacional también ha sido analizada mediante modelos de "decisión racional" con relación a la teoría de los mercados segmentados. De acuerdo con este enfoque, la migración internacional se vincula con factores de demanda de los países receptores, lo cual es una característica inherente a los países industrializados (Piore, 1979).
Finalmente, existe la perspectiva que analiza el tipo de migrantes que se incorporan a los mercados de trabajo de los países receptores (Borjas,1987 y 1994), en la cual se aplica un modelo en el que el salario relativo y las habilidades del trabajo observables y no observables, tanto en el país receptor como en el expulsor, definen el tipo de selección, mientras que el ingreso afecta la cantidad de migración. De esta manera, Borjas señala que el nivel de ingreso y su distribución para un conjunto de migrantes con habilidades no observadas determina que el proceso de self-selection sea negativo en las regiones o países con mayor desigualdad del ingreso. Por tanto, en los países con una grave desigualdad del ingreso, los trabajadores con menores habilidades son los que emigran, por lo que existe una selección negativa.
Para el caso de México, existe una serie de estudios que han considerado que el TLCAN traería consigo efectos netos favorables para las tres economías y destacaron, sobre todo, que la liberalización de los flujos de la inversión extranjera directa traería beneficios importantes en términos de empleo en México y ayudaría a reducir el flujo migratorio de los mexicanos hacia Estados Unidos. Éste es el caso de los modelos de equilibrio general calculable al nivel macroeconómico (Brown, Deardorff y Stern, 1992) o de los estudios por rama (Hunter, Markusen y Rutherford, 1992).
Recientemente se han desarrollado modelos empíricos que vinculan la intensidad migratoria regional de México con el crecimiento económico regional utilizando las estimaciones econométricas de convergencia (Unger, 2005). Los resultados muestran que las tasas de crecimiento del PIB per cápita son más rápidas en los municipios que exhiben las mayores intensidades de migración. Ello implica que existe un efecto positivo de la migración en las regiones expulsoras de migrantes, lo que sugiere que el fenómeno migratorio tiende a apoyar el desarrollo económico regional en México.
El presente estudio se enfoca en la estimación de las variables macroecónomicas que afectan regionalmente el proceso migratorio entre México y Estados Unidos. En esta perspectiva se retoman aspectos relacionados con la actividad económica y la tasa de desempleo, además de incluir aspectos microeconómicos relacionados con los costos de migración. Las hipótesis de la investigación son las siguientes:
- Los diferenciales de salarios y empleo entre países o regiones son factores determinantes de la migración, lo que refleja que las diferencias en la estructura económica regional afectan la distribución de los flujos migratorios.
- Los costos de migración relacionados con los factores regionales y las características sociales de los migrantes impactan en la decisión de migrar, por lo que en México existen diferentes condicionantes regionales para migrar.
4. Aspectos teóricos y metodológicos
Estructura económica regional y migración
A fin de dar una explicación teórica al comportamiento de las variables de la especificación econométrica, en este estudio, partiendo del modelo de Harris y Todaro (1970), se adopta una perspectiva de análisis que involucra dos países que experimentan el fenómeno migratorio, asumiendo que en uno de ellos los ingresos son notoriamente superiores a los de las regiones del otro. El modelo asume que la migración se deriva de las diferencias de los ingresos de los trabajadores.
El enfoque establece un marco de intercambio entre dos países que incluye la variable de desempleo y considera al conjunto de actividades económicas de los dos países, por lo que el país expulsor de migrantes se especializa en actividades productivas con bajos niveles de productividad del trabajo, que implican que el país expulsor de migrantes ofrece salarios por debajo de los del país receptor de migrantes.
La fuerza de trabajo del país expulsor tiene la posibilidad de emplearse en la producción de los bienes que son exportados o puede migrar hacia el país desarrollado y obtener ingresos que, mediante el proceso de remesas, se reincorporan parcialmente al país menos desarrollado. El supuesto básico es que el fenómeno migratorio, en condiciones de libre movilidad, continuará hasta que el ingreso real en el país desarrollado, en el margen, se iguale a la productividad marginal del país menos desarrollado.
Los ingresos del país desarrollado son iguales al salario promedio multiplicado por el número de trabajadores de la economía. La representación formal del modelo se puede expresar con las siguientes funciones de producción:
La función de producción agregada de México:

Donde,
Xm = producto de la economía mexicana;
Nm = fuerza de trabajo de México;
L = disponibilidad de recursos naturales (fijos);
Km = cantidad de capital (fijo), y
X'm = derivada de Xm respecto a Nm.
Función agregada de Estados Unidos:

Donde,
Xe = producto de la economía estadunidense;
Ne = fuerza de trabajo de Estados Unidos;
Ke = cantidad de capital (fijo), y
X'e = derivada de Xe respecto a Ne.
De esta forma, el precio se determina por los términos de intercambio entre ambos países; es decir, por los precios en la economía mexicana relativos a los precios de Estados Unidos, los que se basan en los niveles de producción relativos entre los dos países:

P = son los términos de intercambio de los bienes de ambas naciones.
La determinación de los salarios reales en el sector productivo de México es:

Donde,
Wm,i = niveles de salarios reales en los estados de México i, igual a la productividad marginal de trabajo en México expresada en dólares (2).
El salario real del sector productivo de Estados Unidos se expresa en términos del producto marginal del trabajo:

Cabe destacar que en el caso de dos economías distintas el salario esperado de la economía más desarrollada está determinado por el salario mínimo del país ponderado por la proporción del universo de trabajadores migrantes que se agrega al número de trabajadores existente en la economía.

Por tanto, el salario esperado en el país desarrollado se ajusta por la proporción de fuerza de trabajo constituida por migrantes y trabajadores locales Ne con respecto a la fuerza de trabajo realmente empleada Nn. Es decir, la expectativa del salario depende positivamente de la productividad marginal del trabajo, y además tiene una relación inversa con la tasa de desempleo del país más desarrollado.
De esta manera, la condición de equilibrio de los salarios entre ambos países está dada por:

Como resultado del modelo, la migración de los trabajadores mexicanos dependería directamente del diferencial entre el nivel de salarios reales en México y el salario real esperado en Estados Unidos, lo que se formaliza así:

Donde Ne es una derivada en el tiempo que determina que cuando la diferencia salarial es cero se detiene el proceso migratorio.
Desde el punto de vista del comportamiento individual de los migrantes, es importante establecer los supuestos que caracterizan las decisiones de migración. Por ello es necesario definir una función de utilidad que brinde los fundamentos macroeconómicos que dan sentido a las reacciones de migrantes dadas las características de las estructuras macroeconómicas de ambos países. De esta manera, la función de utilidad de los migrantes mexicanos incluye los beneficios por la migración a Estados Unidos en el período t, de acuerdo con la siguiente especificación:

Donde w son los niveles de ingresos promedio, e es un indicador del empleo, i son los estados, d es el país de destino de migrantes, o el país de origen y c son los costos de migración.
De igual manera, se asume que la tasa de crecimiento de la migración es función de la utilidad actual y del valor presente de la utilidad5 del migrante del país de origen:

Finalmente, tomando en consideración que diversos estudios han establecido que la existencia de redes sociales facilita las oportunidades locales de empleo y, por tanto, estimulan la migración internacional (Alarcón, 1999), se asume que los costos de la migración están relacionados, no sólo con los costos de transporte (aproximados por la distancia), sino también por el conjunto de migrantes del país de origen en el país de destino:

Así, los costos de migración se asocian con la distancia y con el conjunto de migrantes a partir de una forma cuadrática. Lo anterior, para modelar, por un lado, el efecto positivo de las redes sociales y familiares de migrantes en los costos de migración y para incluir, por otro, los posibles factores negativos, como pueden ser las políticas antiinmigratorias, los sentimientos en contra de la migración y la competencia laboral.
Con base en esta perspectiva teórica, la investigación empírica se centra en la estimación de los efectos de las variables de ingreso y empleo regionales en los flujos migratorios de los estados que conforman México. Asimismo, se integran variables macroeconómicas relacionadas con el proceso de apertura e integración de la economía mexicana y la economía de Estados Unidos, con el fin de dar un contexto económico internacional al fenómeno migratorio entre ambos países.
Modelo empírico para la estimación econométrica
Aunque los estudios que analizan el fenómeno de la migración con base en información sobre comunidades han sido un instrumento fundamental para el análisis de los factores locales e históricos que determinan los flujos de migrantes al exterior, sus alcances tienen limitaciones para poder ser generalizados a procesos más amplios (Durand y Massey, 1992). Por ello, se considera importante complementar el análisis económico con las variables macroeconómicas que pueden tener un impacto en los flujos migratorios de las regiones, para así estar en condiciones de poder enmarcar el contexto económico que caracteriza los fenómenos migratorios que se desarrollan al nivel local.
Cabe destacar que se han publicado estudios que complementan el análisis de las bases de datos sobre hogares con información macroeconómica, como el de Massey y Espinoza (1997). En esta investigación, los autores utilizan diferentes bases de datos micro y macroeconómicos para conformar una especificación econométrica con 41 variables integradas en 11 categorías conceptuales. Por tanto, además de la incorporación de variables para medir los diferenciales de salario que reflejan las condiciones del costo-beneficio para la migración, el estudio incluye otras variables relacionadas con las características personales de los migrantes, que pueden determinar beneficios derivados de la migración tales como los servicios médicos y la educación.
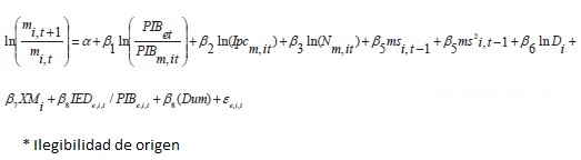
En la presente investigación las estimaciones econométricas incluyen los diferenciales en los niveles de actividades económicas y la disponibilidad de empleo, mediante el uso de comparaciones del PIB regional, las tasas de desempleo y variables "proxy" relacionadas con los costos de migración. La especificación econométrica establece como variable dependiente a la tasa de crecimiento de los flujos migratorios entre 1990 y el 2000 como variables explicativas a las variables macroeconómicas regionales del año inicial 1990. Lo anterior, con el fin de estimar el grado de respuesta de los flujos migratorios a los diferenciales en la dinámica y estructura económica regional. De esta manera, asumiendo que existe una relación de equilibrio de largo plazo entre los flujos y acervos migratorios y las variables macroeconómicas, tales como las diferencias de ingresos entre México y Estados Unidos, la ecuación empírica que vincula dichas variables puede especificarse como se señala a continuación:

Donde,
PIB = producto interno bruto;
e = Estados Unidos;
m = México;
i =1...32, son los estados de México;
t = 1990;
Ipc= ingreso per cápita;
mi,t = migración neta como porcentaje de la población en el estado i;
N = tasas de desempleo;
ms = acervo de migrantes en Estados Unidos;
D = distancia de los estados de México a la frontera con Estados Unidos;
Dum = variable dicotómica para estimar el impacto en los estados con mayor migración, y
å = perturbación
De esta manera, el crecimiento de la migración de las regiones hacia Estados Unidos depende de las diferencias de ingresos per cápita entre los estados, asumiéndose que las regiones más pobres tendrán una mayor presencia de la migración. Por su parte, las proporciones del PIB de Estados Unidos con respecto a los PIB estatales de México permiten estimar hasta la magnitud de las diferencias en los niveles de actividad económica en los estados de México respecto a la actividad del país destino de la migración. La variable distancia ha sido utilizada en los estudios econométricos como variable "proxy" de los costos de la migración, pues se asume que éstos son mayores a medida que la distancia se incrementa. En este trabajo estimamos el efecto de esta variable en el contexto del análisis macroeconómico regional. Finalmente, con el fin de incluir variables que permitan estimar el efecto de la apertura económica, se incluyen las variables inversión extranjera directa y exportaciones en los estados. Debido a la importancia de estas variables en el patrón de crecimiento adaptado por la economía mexicana, se considera que con los coeficientes de dichas variables se podrá calcular el impacto que la liberalización económica tiene en el proceso migratorio que se desarrolla en los estados de México.
La especificación econométrica se construyó con base en las variables econométricas que se presentan a continuación:

La base de datos de los flujos migratorios 1990-2000 fueron las estimaciones del Conapo con base en el Instituto Nacional de Estadística, Geografía e Informática (INEGI); para el cálculo de la tasa de desempleo estatal se utilizó la información de la Encuesta Nacional de Empleo (ENE). Para la población nacida en México residente en Estados Unidos, por entidad federativa de nacimiento, se consultó al Instituto Nacional de Migración. Los PIB estatales se obtuvieron del banco de datos del INEGI, el PIB de Estados Unidos se obtuvo de la página Economagic y los datos de la inversión extranjera directa se obtuvieron de la página del Banco de Información Económica del INEGI. La información sobre la población total se obtuvo del Censo General de Población y Vivienda 1990 y 2000. Se estableció una estimación econométrica de mínimos cuadrados ponderados aplicada a una base de datos de corte transversal. Cabe destacar que, debido a la carencia de los datos para el PIB estatal de 1990, se utilizan los de 1993.6
Resultados
El modelo de regresión fue aplicado a una base de datos de corte transversal para todos los estados de México. La especificación econométrica incluye los flujos y conjuntos migratorios, las variables macroeconómicas relacionadas con las diferencias entre el PIB estatal de México y el de Estados Unidos y, finalmente, las variables que se relacionan con el fenómeno de la apertura económica (IED y el comercio exterior). En general, el modelo econométrico parece estar bien especificado, ya que la R cuadrada ajustada tuvo un valor del 0.97, lo que permite suponer que el modelo tiene un alto grado de poder explicativo del comportamiento de la variable dependiente.
Los coeficientes de las variables que mostraron una relación positiva entre los flujos migratorios estatales fueron la tasa de ocupación parcial de menos de 35 horas, la razón del PIB de Estados Unidos sobre el PIB estatal en México, el universo de migrantes permanentes en Estados Unidos y la variable dicotómica. Todos ellos fueron estadísticamente significativos al 1 por ciento de confianza. Este resultado sugiere que las elevadas tasas de desocupación y los diferenciales regionales afectan el fenómeno migratorio, estimulando el crecimiento de la migración regional hacia Estados Unidos, y dan cuenta de que el modelo de liberalización económica, al igual que los patrones de crecimiento anteriores (Alba, 1978), no ha permitido controlar la migración mediante la reducción de los diferenciales del desempleo en los estados.
El coeficiente de la razón del PIB de Estados Unidos con relación a los PIB de los estados de México fue positivo y significativo estadísticamente. Esta variable fue incluida como "proxy" de los diferenciales de la actividad económica relativa de los estados de México con respecto a los de Estados Unidos, lo que se considera brinda información sobre las diferencias regionales de los niveles de vida con respecto al país de destino de la migración. En este sentido, los resultados de este grupo de variables muestran que las diferencias en los niveles de actividad económica entre las regiones de México y la economía de Estados Unidos juegan un papel central en las decisiones de migración. De esta forma, la razón del PIB de Estados Unidos sobre el de cada uno de los estados de México es un factor que refleja la proporción de la actividad económica de Estados Unidos respecto a la dinámica de la actividad económica en las diversas regiones de México y es un indicio de que los factores locales afectan a la migración y que están relacionados con los diferenciales de la actividad económica.
Asimismo, se aprecia que el coeficiente del logaritmo del PIB per cápita de los estados de México guarda una relación inversa con los flujos migratorios hacia Estados Unidos. El valor del coeficiente es elevado, por lo que la evidencia empírica sugiere que esta variable, que es un reflejo del ingreso promedio regional, tiene un efecto importante en los procesos de migración de trabajadores hacia Estados Unidos. Así, de acuerdo con el signo del coeficiente, los estados con menores niveles de ingresos tienden a relacionarse positivamente con los flujos migratorios para el período analizado.
De igual forma, en esta especificación el coeficiente de la tasa de desempleo abierta parece incidir en las decisiones de migrar, ya que el coeficiente fue positivo y significativo estadísticamente. Cabe destacar que se incluyó como variable de desempleo a la tasa de ocupación parcial de menos de 35 horas, debido a que esta proporción muestra con mayor precisión el efecto de las condiciones laborales regionales en las decisiones de migración. En todo caso, debe mencionarse que el coeficiente es muy bajo (cuadro 6), por lo que este resultado concuerda con las conclusiones de la encuesta del Pew Hispanic Center (2005), que señala el poco impacto que tiene el desempleo en la decisión de migración de los trabajadores mexicanos.

El coeficiente que relaciona la cantidad de mexicanos residentes en Estados Unidos con los flujos migratorios del período analizado fue positivo y significativo al 1 por ciento de confianza. Por ello, este indicador apoya los planteamientos que subrayan la importancia de las redes sociales y familiares como un elemento que estimula la migración, al facilitar y reducir los costos del proceso migratorio. Cabe destacar que este fenómeno ha resultado de la evolución de la migración internacional, lo que ha derivado en lo que se ha denominado collective migrants, caracterizados por el desarrollo de patrones complejos que generan redes sociales que llevan a la creación de comunidades con migrantes con raíces, identidad y cultura semejantes, aglutinados en clubes, asociaciones y comunidades (Delgado y Rodríguez, 2001).
Por su parte, el coeficiente negativo de los migrantes permanentes al cuadrado indica que las redes sociales que surgen de la aglomeración de una migración residente de manera permanente en Estados Unidos pueden generar, no sólo una reducción de los costos de migración, sino eventualmente restricciones asociadas con factores relacionados tanto con los mercados laborales de Estados Unidos como con las limitaciones a los flujos migratorios que imponen las políticas antiinmigratorias de Estados Unidos con respecto a la migración mexicana.
Así también, el coeficiente negativo de la IED parece corroborar el impacto de la apertura económica, y ello es un indicio de que las inversiones foráneas han dinamizado las regiones receptoras de estos flujos financieros internacionales. Se considera que, en particular, la región que conforman los estados de la frontera norte, caracterizados por haber captado una elevada cantidad de IED durante la década de los noventa, ha sido beneficiada por la generación de empleos, lo cual ha generado que la frontera norte presente las menores tasas de crecimiento de la migración respecto a muchos estados del país. Se observa que el coeficiente de las exportaciones mostró un signo negativo, aunque no es concluyente estadísticamente. Además, los elevados flujos migratorios experimentados durante la década de los noventa muestran que el efecto de la apertura es heterogéneo regionalmente y es probable que lo sea también por sectores. De esta forma, el impacto de la apertura económica puede estar dinamizando al sector manufacturero y a ciertos pequeños negocios sectoriales que se benefician de las remesas. Sin embargo, al afectar al sector agrícola y no exhibir tasas de crecimiento del empleo suficientes, no han podido aminorar la migración (Alarcón, 1995).
Por su parte, la variable dicotómica para estimar el impacto de las variables en el modelo econométrico comprueba que los determinantes de la migración adquieren efectos mayores en los estados con elevadas tasas de migración internacional. Finalmente, en diversos estudios econométricos que estiman los determinantes de la migración se ha utilizado a la distancia como variable "proxy" de los costos de la migración. No obstante, en este modelo el coeficiente no fue estadísticamente significativo, por lo que no es posible concluir su influencia en el proceso migratorio regional.
Se puede concluir que los resultados corroboran algunos de los planteamientos de la teoría económica y de los estudios sobre la migración mexicana hacia Estados Unidos, al sugerir la influencia de las tasas de desempleo, los ingresos y el grado de actividad económica en el proceso migratorio. Por otra parte, el modelo regional permitió realizar un análisis regional de los determinantes del empleo que indica una creciente divergencia en el crecimiento de la migración regional derivada de condicionantes locales.
Conclusiones
El análisis regional que vincula los aspectos económicos con los flujos migratorios de trabajadores mexicanos hacia Estados Unidos muestra que los estados con más bajos ingresos per cápita, como Zacatecas, Guerrero, Michoacán y Oaxaca, son los que se caracterizan por expulsar más migrantes. Del mismo modo, se observó que los estados de Jalisco y de México, que se ubican en el segundo y tercer lugar en cuanto al monto del PIB total, también mostraron ser regiones expulsoras de una gran cantidad de migrantes. Eso nos habla de que existen condicionantes económicas regionales que se suman al factor del ingreso para determinar los procesos migratorios.
Desde la perspectiva macroeconómica regional, una de las características que se deriva del comportamiento del PIB se relaciona con las tasas de desempleo abierto regional en México. Al respecto, se aprecia que el Distrito Federal y los estados de Hidalgo, Jalisco, Tlaxcala, Veracruz, México y Zacatecas mostraron altas tasas de desempleo que incluso tendieron a incrementarse entre 1993 y 1996, lo que sugiere la existencia de una relación entre el fenómeno del desempleo de la fuerza de trabajo en las regiones y los movimientos migratorios de la población.
Adicionalmente, un factor socioeconómico determinante de los procesos que desencadenan la migración son las redes sociales. Cabe mencionar que entre 1990 y 2003 los estados que experimentaron movimientos migratorios con mayor intensidad fueron los que tenían una mayor cantidad de población con residencia en Estados Unidos (Jalisco, Michoacán y Zacatecas). Por otra parte, se aprecia que el crecimiento promedio anual del conjunto de población mexicana residiendo en Estados Unidos fue superior en los estados de la región sur del país, en particular, Tlaxcala, Veracruz, Chiapas, Hidalgo, Puebla y Guerrero. Finalmente, es importante mencionar que los estados de la frontera norte de México, que inicialmente se caracterizaban por ser grandes expulsores de población hacia Estados Unidos, han visto reducida en gran medida sus tasas de crecimiento migratorio.
Entre las características laborales de la población mexicana residente en Estados Unidos se destaca que 61.6 por ciento de los migrantes a ese país no retornaron a México en el período 1997-2002, mientras que 38.4 por ciento se puede caracterizar como migración circular. Esto tiene un impacto muy importante, pues además de mostrar los problemas que originan las dificultades para el cruce fronterizo entre México y Estados Unidos que acarrean las políticas de seguridad instrumentadas por el gobierno estadunidense después del 11 de septiembre de 2001, también tiene implicaciones económicas relacionadas con la posibilidad de que se esté presentando una reducción de los costos de migración mediante el establecimiento de redes sociales y familiares que facilitan el proceso migratorio y el acceso al empleo.
De esta forma, existe evidencia de que las características macroeconómicas juegan un papel determinante en el fenómeno migratorio analizado al nivel regional. Esto se debe a la heterogeneidad de las regiones expulsoras de migrantes en términos del crecimiento de la población, las diferencias en el ingreso per cápita y los diferenciales en las tasas de desempleo de la población económicamente activa.
El punto de partida analítico de este estudio es un modelo que involucra dos países que experimentan el fenómeno migratorio, en uno de los cuales los ingresos son notoriamente superiores a los de la otra economía. El modelo asume que la migración se origina en las diferencias regionales en cuanto a la actividad económica y el ingreso de los trabajadores.
Las estimaciones de los impactos regionales en los flujos migratorios muestran que el PIB per cápita de los estados de México guarda una relación inversa con los flujos migratorios hacia Estados Unidos. Por esta razón se puede concluir que la evidencia empírica sugiere que la actividad económica regional tiene un efecto importante en los procesos de migración de trabajadores hacia Estados Unidos.
También se observa que, al parecer, la economía de Estados Unidos es un centro receptor de migración laboral en la medida en que los estados mexicanos tienen un menor tamaño relativo de sus economías como proporción del PIB de Estados Unidos. Por su parte, la variable de desempleo estatal mostró un signo positivo y significativo estadísticamente. Esta información corrobora empíricamente el enfoque teórico que incluye el contexto de la interacción económica entre México y Estados Unidos, planteado en el estudio, que explica el impacto macroeconómico en un contexto de apertura e integración de las economías de ambos países.
Por su parte, en las variables que se relacionan con el proceso de apertura económica se observó una relación inversa de la migración regional, y ello se comprueba con el hecho de que las regiones del sur, que han tenido una menor participación en la apertura económica, han tendido a incrementar sus flujos migratorios. En lo relacionado a los costos de la migración, es importante destacar que el coeficiente que relaciona la cantidad de mexicanos residentes en Estados Unidos con los flujos migratorios del período analizado mostró un signo positivo y estadísticamente significativo. Por ello esta estimación econométrica apoya los planteamientos que consideran que las redes sociales y familiares son un factor que reduce los costos de este proceso de migración. No obstante, el signo negativo del coeficiente del número de migrantes permanentes indica posibles límites al efecto de esta variable en el proceso de migración regional mexicana hacia Estados Unidos.
De esta manera, las condiciones macroeconómicas de la economía mexicana, analizadas desde una perspectiva regional, sugieren que los diferenciales de actividad económica entre las regiones de México y Estados Unidos tienen un peso significativo en la determinación de los flujos migratorios recientes hacia dicho país. Al parecer, los planteamientos sobre el efecto de las redes sociales y familiares en los costos de migración son corroborados de manera indirecta, lo cual prueba empíricamente el escenario actual de los factores que determinan la migración.
Bibliografía
Alba, Francisco, "Mexico's International Migration as a Manifestation of Its Development Pattern", International Migration Review, vol. 12, núm. 4, 1978, pp. 502-551 . [ Links ]
Alarcón, Rafael, "Transnational Communities, Regional Development and the Future of Mexican Migration", Berkeley Planning Journal, núm. 10, 1995, pp. 36-54. [ Links ]
----------, "Migración internacional y región: el Bajío zamorano en la década perdida", Papeles de Población, nueva época, núm. 22, 1999, pp. 43-68. [ Links ]
Appleyard, R. T., "Migration and Development: Miths and Reality", International Migration Review, vol. 23, núm. 3, 1989, pp. 486-499. [ Links ]
Bhattacharya, Prabir, "Rural-urban Migration in Economic Development", Journal of Economic Surveys, núm. 7, 1993, pp. 243-181. [ Links ]
Borjas, J. George, "Self Selection and the Earning of Migrants", American Economic Review, núm. 77, 1987, pp. 531-553. [ Links ]
----------, "The Economics of Migration", Journal of Economic Literature, núm. 32, 1994, pp.1667-1717. [ Links ]
----------, "Economic Research on the Determinants of Immigration. Lessons for the European Union", World Bank Technical Paper, núm. 438, Europe and Central Asia Poverty Reduction and Economic Management Series, WTP438, 1999. [ Links ]
Brown, Drusilla K., Alan V. Deardorffy Robert M. Stern, "A North American Free Trade Agreement: Analytical Issues and a Computational Assessment", The World Economy, 15 (1), 1992, pp. 11-29. [ Links ]
Brucker, Herbert, y Boris Silivertovs, "The Macro-determinants of International Migration in Europe: Evidence from Germany", ponencia presentada en la Conference: Immigration Issues in EU-Turkish Relations, Bogazici University, 8-9 de octubre de 2004. [ Links ]
Bureau of the Census, Current Population Survey (CPS), en http://www.census.gov.
Consejo Nacional de Población (Conapo), Algunos nexos entre la transición demográfica y la fuerza de trabajo, México, Consejo Nacional de Población, 2002. Disponible en http://www.conapo.gob.mx/publicaciones/Otras/Otras4/PDF/15.pdf). [ Links ]
----------, "Tendencias y características de la migración mexicana a Estados Unidos", en http://www.conapo.gob.mx. [ Links ]
Corona, Rodolfo, y Jorge Santibáñez, "Los migrantes mexicanos y las remesas que envían", en Germán Zárate (coord.), Las remesas de mexicanos y centroamericanos en Estados Unidos, México, El Colegio de la Frontera Norte/Miguel Ángel Porrúa, 2004. [ Links ]
Delgado, Raúl, y Héctor Rodríguez, "The Emergence of Collective Migrants and Their Role in México's local and Regional Development", Canadian Journal of Development Studies, vol. XXII, núm. 3, 2001, pp. 747-764. [ Links ]
Durand, Jorge, y Douglas Massey, "Mexican Migration to the United States: A Critical Review", Latin American Research Review, vol. 27, núm. 2, 1992, pp. 3-42. [ Links ]
Durand, Jorge, Emilio Parrado y Douglas Massey, "Migradollars and Development: A Reconsideration of the Méxican Case", International Migration Review, vol. 30, núm. 2, 1996, pp. 423-431. [ Links ]
Easterlin, Richard, "Influences in European Overseas Emigration before World War I", Economic Development and Cultural Change, 9, abril de 1961, pp.33-51. [ Links ]
Harris, John, y Michael Todaro, "Migration, Unemployment and Development: A Two Sector Analysis", American Economic Review, vol. 60, núm. 1, 1970, pp. 126-142. [ Links ]
Hatton, Timothy, y Jeffrey Williamson, "What Drove the Mass Migrations from Europe in the Late Nineteenth century?", Population and Development Review, vol. 20, núm. 3, 1994, pp. 533-559. [ Links ]
Hicks, John, The Theory of Wages, Londres, MacMillan, 1932. [ Links ]
Hufbauer, Gary C., y Jeffrey J. Schott, North American Free Trade: Issues and Recommendations, Washington, D. C., Institute for International Economics, 1992. [ Links ]
Hunter Linda, James R. Markusen y Thomas F. Rutherford , "U.S.-Mexico Free Trade and the North American Auto Industry: Effects on the Spatial Organization of Production of Finished Autos", World Economy, 15(1), 1992, pp. 65-81. [ Links ]
International Organization for Migration, Managing Migration. Challenges and Responses for People on the Move, IOM World Migration Report Series, Ginebra, 2003. [ Links ]
Instituto Nacional de Estadística, Geografía e Informática (INEGI), Banco de Información Económica (BIE), censos de población 1990, 2000, PIB estatal anual, Encuesta Nacional de Empleo (ENE), en http://dgcnesyp.inegi.gob.mx/cgi-win/bdieintsi.exe.
Lewis, Arthur, "Economic Development with Unlimited Supplies of Labor", Manchester School of Economic and Social Studies, vol. 22, núm. 2, 1954, pp. 139-191. [ Links ]
Lozano Ascencio, Fernando, "Migration Strategies in Urban Contexts: Labor Migration from México City to the United States", Migraciones Internacionales, vol. 2, núm. 3, El Colegio de la Frontera Norte, 2004, pp. 34-59. [ Links ]
Markusen, James, y Stephen Zanhiser, "Liberalization Incentives and Labor Migration: Theory and Aplications to NAFTA", NBER Working Papers, 6232, 1997. [ Links ]
Massey, Douglas, Rafael Alarcón, Jorge Durand y Humberto González, Return to Aztlan. The Social Process of International Migration from Western México, Berkeley-Los Ángeles, University of California Press, 1987. [ Links ]
Massey, Douglas, y Kristin Espinoza, "What's Driving the México-U.S. Migration? A Theoretical, Empirical Policy Analysis", The American Journal of Sociology, vol. 102, núm. 4, 1997, pp. 939-999. [ Links ]
Massey, Douglas, Rafael Alarcón, Jorge Durand y Humberto González, Worlds in Motion, Nueva York, Oxford University Press,1998. [ Links ]
Mendoza, Cristóbal, "Circuitos y espacios transnacionales en la migración entre México y los Estados Unidos: aportes de una encuesta de flujos", Migraciones Internacionales, vol. 2, núm. 3, El Colegio de la Frontera Norte, 2004, pp. 83-109. [ Links ]
Mendoza Cota, Jorge Eduardo, "Specialization, Agglomeration an Urban Manufacturing Growth in the Northern Border Cities of México", Journal of Borderlands Studies, vol. 16, núm. 2, 2001, pp. 71-98. [ Links ]
----------, "El TLCAN y la integración económica de la frontera México-Estados Unidos: situación presente y estrategias para el futuro", Foro Internacional, vol. XLV, núm. 3, El Colegio de México, 2005, pp. 517-544. [ Links ]
Pew Hispanic Center, Survey of Mexican Migrants. A Pew Research Center Project, Washington, D. C., 2005. Disponible en www.pewhispanic.org. [ Links ]
Piore, Michael, Birds of Passage: Migrant Labor in Industrial Societies, Nueva York, Cambridge University Press, 1979. [ Links ]
Rotte, Ralph, y Michael Vogler, "Determinants of International Migration: Empirical Evidence for Migration from Developing Countries to Germany", cuaderno de discusión, núm. 12, Institute of the Study of Labor, 1998. [ Links ]
Russell, Sharon, "Migrant Remittances and Development", International Migration, vol. 30, 1986, pp. 267-287. [ Links ]
----------, "Remittances from International Migration: A Review and Perspective", World Development, vol. 14, 1992, pp. 677-696. [ Links ]
Sjaastad, Larry, "The Costs and Returns of Human Migration", Journal of Political Economy, 70, 1962, pp. 80-93. [ Links ]
Stark, Odde, The Migration of Labor, Cambridge, Basil Blackwell, 1991. [ Links ]
----------, y David Boom, "The New Economics of Labor Migration", The American Economic Review, vol. 75, núm. 2 (Papers and Proceedeings of Ninety-seventh Annual Meeting), 1985, pp. 173-178. [ Links ]
Stark, Odde, y Edward Taylor, "Migration Incentives, Migration Types: The Role of Relative Deprivation", Economic Journal, 101(408), 1991, pp. 1163-78. [ Links ]
Straubhaar, Thomas, On the Economics of International Labor Migration, Berna, Verlag Paul Haupt, 1988. [ Links ]
Todaro, Michael, "A Model a Labour Migration and Urban Employment in Less Developed Countries", The American Economic Review, 59, 1969, pp.138-148. [ Links ]
Unger, Kurt, "Regional Economic Development and Mexican Outmigration", cuaderno de trabajo, núm. 11432, National Bureau of Economic Research, 2005. [ Links ]
1 Cálculos propios con datos de la Secretaría de Economía (véase Mendoza Cota, 2005).
2 Cálculos propios con base en datos de los XI, XII y XIII censos industriales y de los censos económicos de 1994, 1999 y 2004 del INEGI (véase Mendoza Cota, 2001).
3 Cálculos propios a partir de datos de los XI, XII y XIII censos industriales y de los censos económicos de 1994, 1999 y 2004 del INEGI.
4 Los cálculos del ingreso per cápita se hicieron con base en información del Censo de Población 2000 del INEGI.
5 Se asume que la utilidad del migrante se caracteriza por un flujo en el tiempo donde el tiempo t tiene una especificidad geométrica en el tiempo y el valor más reciente es el que tiene mayor peso: U* = λUt + λ2Yt-1 + λ3Yt-2 + ... 0< λ < 1.
6 Debido a que la información de los PIB estatales ofrecida por el INEGI sólo estuvo disponible desde 1993, y por la necesidad de incorporar esta variable, se utilizó la de este año. En la medida en que el modelo de regresión empírico establece que las condiciones económicas del año base son determinantes para el crecimiento de la migración hacia Estados Unidos, se considera que este año es una aproximación del contexto económico regional.
INFORMACIÓN SOBRE EL AUTOR
JORGE EDUARDO MENDOZA es director del Departamento de Estudios Económicos de El Colegio de la Frontera Norte. Ha publicado un gran número de artículos en México, Estados Unidos y Europa sobre el análisis económico regional y los impactos de la integración económica México-Estados Unidos en el crecimiento económico de la frontera norte de México. Actualmente es miembro del Sistema Nacional de Investigadores con el nivel 2. Uno de sus más recientes artículos es "El TLCAN y la integración económica de la frontera México-Estados Unidos: situación presente y estrategias a futuro" (Foro Internacional, El Colegio de México, vol. XIV, núm. 181, julio-septiembre de 2005).













