Servicios Personalizados
Revista
Articulo
Indicadores
-
Citado por SciELO -
Accesos
Links relacionados
-
Similares en
SciELO
Compartir
Superficies y vacío
versión impresa ISSN 1665-3521
Superf. vacío vol.26 no.3 Ciudad de México sep. 2013
Contribución de los orbitales f en la densidad de estados de los superconductores NdBa2Cu3O7 y SmBa2Cu3O7
Puch-Ceballos F*.1, Aguilar-Sánchez J.1 y Tototzintle-Huitle H.1
1 Unidad Académica de Física, Universidad Autónoma de Zacatecas Calzada solidaridad esquina Paseo a la Bufa s/n, C.P. 98060; Zacatecas, Zacatecas, México. * frpuch@fisica.uaz.edu.mx
Recibido: 28 de febrero de 2013
Aceptado: 31 de julio de 2013.
Resumen
En este trabajo se presenta un cálculo de la densidad de estados electrónicos (DEE) de los superconductores de alta temperatura crítica NdBa2Cu3O7, SmBa2Cu3O7 y YBa2Cu3O7. El objetivo es determinar el efecto de los orbitales f de los átomos de Sm y Nd en la DEE total, y en las DEE parciales. Los cálculos se realizaron con el método de primeros principios LAPW+lo. La DEE total para los tres sistemas es cualitativamente similar, excepto para la región por encima de la energía de Fermi (EF), donde aparecen las contribuciones de los orbitales f de las tierras raras. Estas contribuciones modifican la DEE parcial de los planos de CuO de manera diferente: para el Nd123 existe una disminución a la contribución de la DEE, para el Sm123 un incremento.
Palabras clave: Superconductores de alta Tc; Densidad de estados electrónicos; Familia Re123; Planos de CuO. Orbitales ƒ.
Abstract
This paper presents a calculation of the density of electronic states (DEE) of high critical temperature superconductors, NdBa2Cu3O7, SmBa2Cu3O7and and YBa2Cu3O7. The aim is to determine the effect of f orbitals of Sm and Nd atoms in total DEE, and partial ones. Calculations were performed with ab initio LAPW+lo method. The total DEE of the three systems are qualitatively similar, except for the region above the Fermi energy (Ef), which shows the contribution of f-orbitals of the rare earths. These contributions modify the partial DEE of CuO planes differently: for Nd123 there is a decrease in the contribution of the DEE, for an increase Sm123.
Keywords: High Tc superconductivity; Density of electronic states; Re123 family; CuO planes; ƒ-orbitals.
1. Introducción
La familia de compuestos ReBa2Cu3O7 (Re = Y, o tierra rara, denotado por Re123 de aquí en delante) se ha convertido en la más popular entre los investigadores de la superconductividad en las últimas dos década. La mayoría de los elementos de la familia Re123 han sido estudiados de manera amplia [1], dando pie a modelos para explicar la superconductividad de alta temperatura crítica (Tc) [2-4] en estos sistemas.
El compuesto típico superconductor Re123 tiene una Tc de 90 K y una estructura cristalina ortorrómbica cuando se encuentra oxigenado, aunque existen algunas excepciones a esta regla [1,5-7]. No todos los elementos de esta familia han sido sinterizados en laboratorio [8], y también no todos comparten las características superconductoras de la familia [1,6,8].
Los compuestos NdBa2Cu3O7-δ y SmBa2Cu3O7-δ son isoestructurales con el YBa2Cu3O7-δ , pero sus temperaturas críticas son (Tc≈95 K) son más grandes que para el YBa2Cu3O7-δ (93 K)[9,10]. Este incremento ha sido en parte asociado al mayor radio iónico de los elementos Sm y Nd, en comparación al Y (Sm3+ 0.96 Å; Nd3+ 0.99 Å ;Y3+ .90 Å), que provocaría una variación en el flux pinning dentro de los sistemas [11-13], aunque el proceso microscópico que provoca este aumento parece ser más complejo [14].
La familia Re123 ha dado pie al desarrollo de sistemas superconductores más complejos, denotados como Re124, Re247, Re358 [15-17]. En estos nuevos sistemas se incrementa la complejidad de la red cristalina, y se tiene como consecuencia el incremento de la Tc[16]. Aunque los elementos de alguna de estas familias poseen Tc similares, existen algunas diferencias en sus diagramas de fase T-R, que desde la familia Re123 se manifiestan [17, 18].
La estructura cristalina de la familia Re123 es ortorrómbica simple y la simetría es descrita por el grupo Pmmm (o D12h). Ocupa el número 47 de las tablas internacionales.
La familia Re123 posee dos estructuras formadas por átomos de Cu y O dentro de la celda unitaria llamadas planos de CuO (como se muestra en la figura 1). En los planos de CuO existe una pequeña distorsión que destruye la bidimensionalidad y está relacionada con las propiedades superconductoras de los sistemas [19]. Estos planos también le confieren una gran anisotropía a las propiedades electrónicas en el estado normal y superconductor [1]. Otra estructura formada por átomos de Cu y O, llamada cadena de CuO, posee un carácter bidimensional, y propiedades superconductoras, posiblemente debido a un efecto de proximidad [20]. También, actúa como fuente de carga para los planos de CuO.

La configuración electrónica de los átomos Re considerados en este trabajo es diferente: [Kr]4d15s2 para el Y, [Xe]4f45d06s2 para el Nd y [Xe]4f65d06s2 para el Sm. La diferencia entre las configuraciones del Y, y los elementos Nd y Sm, son de los orbitales f que exhiben estos últimos, y ha permitido abordar de manera variada la explicación de la superconductividad en los sistema que incluyen tierras raras. En particular, un sistema que causa interés y que es punto de referencia en esta familia es el Pr123. Este compuesto es isoestructural a los demás elementos de la familia Re123, sin embargo, cuando fue descubierto en 1987, se le considero un sistema no superconductor [21], y se desarrollaron varios modelos para explicar tal situación, como son: localización de portadores, llenado de huecos, ó hibridización Pr4f-O2p. En todos estos modelos existe una participación en mayor o menor medida de los orbitales f del Pr. Después, cuando se sintetizaron muestras cristalinas [22] se mostró que este material también posee una fase superconductora similar a los demás miembros de la familia Re123, y con esto, se replantearon los modelos anteriormente mencionados, así como el papel de los orbitales f de la tierras raras.
Una situación también de interés es la comparación entre los momentos magnéticos atómicos entre el Pr, Nd y Sm: para el Pr y Nd es de 3.5, para el Sm es de 1.5. Considerando la fase cristalina de estos sistemas, así como los radios y masas atómicas, el Nd123 es más parecido al Pr123 que el Sm123, el cual, al poseer un momento menor, podría ir hacia las características del Y123.
El propósito de este trabajo es presentar la estructura electrónica del NdBa2Cu3O7 y SmBa2Cu3O7, y compararla con la del YBa2Cu3O7. En particular, nos interesa conocer la contribución de los orbitales f del Nd y Sm en la DEE total, así como se modifican las DEE parciales de los planos de CuO, y que orbitales son mayormente afectados en los dos sistemas primeramente mencionados. El análisis se realiza alrededor de la energía de Fermi.
2. Método Computacional
Todos los cálculos fueron realizados utilizando el código WIEN 2K [23], el cual está basado en la teoría del funcional de densidad (DFT) y emplea un potencial total (FP). El código emplea una base de ondas lineales planas aumentadas a las cuales se le agregan orbitales locales (Linearized Augmented Plane Wave + local orbitals, LAPW+lo). Se utilizó la aproximación de gradiente generalizado de Perdew y Burke de 1996 [24] para el potencial de intercambio-correlación. La energía de separación entre el núcleo y los estados de valencia se fijó en 6,0 Ry. Los parámetros RKmax, Lmax, Gmax se fijaron igual a 7.0, 10 y 14, respectivamente. El número de puntos k utilizados para hacer el muestreo en la primera zona de Brillouin es de 500. Se seleccionó la base APW+lo para los orbitales d de los átomos de Cu, y para los orbitales f y d de los átomos de Nd y Sm para tener una convergencia más efectiva. Para todos los demás orbitales atómicos, se utilizó la base LAPW. El radio muffin tin se fijó igual a 2.35, 2.60, 2.44, 2.5, 1.75 y 1.55 para los átomos Y, Nd, Sm, Ba, Cu y O, respectivamente. Además de la convergencia en energía (0,0001 Ry), también se realizó convergencia en la carga (0,001 e). Los parámetros de red de los sistemas se optimizaron en volumen. Debido a los diferentes radios iónicos del Y, Nd y Sm, la distancia de los planos de CuO a estos iones también se optimizó. Ambas optimizaciones se realizaron utilizando el criterio de mínima energía. Los parámetros de red obtenidos son: a= 3.8170, b=3.8830 y c= 11.6700 (en Å) para Y123; 4.0241, 3.9623 y 12.0419 para Nd123; and 3.9633, 3.91505 y 11.9073 para Sm123.
La selección de la aproximación de Perdew y Burke [24] para el potencial de intercambio-correlación tuvo el fin de dar consistencia a este trabajo con otros anteriores presentados en esta línea de investigación [16]. Si bien la utilización de esta aproximación presenta problemas de localización para iones con orbitales f (sistemas con fuerte correlación), este problema se aborda utilizando la base APW+lo. El problema de la alta correlación también puede ser tratado utilizando una aproximación LDA+U [25], el cual corrige a la DFT standard con ayuda de términos en el Hamiltoniano que evitan el doble conteo de la interacción coulombiana entre orbitales e introduce la alta correlación de manera aproximada a través de un término llamado de Hubbard.
3. Resultados y Discusión
En la tabla 1 se muestran las posiciones relativas de los átomos de los sistemas Re123 después de realizar la optimización. Como se puede apreciar, para los sistemas Nd123 y Sm123, las posiciones coinciden.
La estructura de bandas electrónicas y la DEE para los sistemas Y123 y Nd123 han sido calculadas previamente [26-28]. En la figura 2 se muestra la DEE total para los tres sistemas estudiados en este trabajo, en donde la Ef se encuentra ubicada en cero. La DEE total del Y123 concuerda con lo reportado en trabajos anteriores [25,26] en donde se utilizaron métodos derivados de la teoría de los funcionales de la densidad. En el caso del Nd123, lo reportado con anterioridad [28], utiliza una aproximación de amarre fuerte, y no se incluyen orbitales f en la aproximación.

Los resultados de la DEE total para el Nd123 es cualitativamente semejante a los del Y123, excepto para la región cercana a la Ef en donde ocurre un aumento significativo en la DEE. En el intervalo de 0.1 a 0.5 eV, se presentan tres máximo locales. Para el Sm123 la situación es similar, la DEE total es mantiene la forma del Y123, excepto en la región alrededor de la Ef, en donde existe un aumento significativo en la DEE, presentando además, los máximos locales en 0.0, 0.3 y 0.6, mucho más definidos que para el caso del Nd123, indicando una mayor localización de los estados electrónicos que los originan.
El aumento en la DEE total para el Nd123 y Sm123 cerca del nivel de Fermi tiene su origen en los orbitales f de los átomos de Nd y Sm. En la figura 3 se muestra en detalle la DEE total alrededor de la Ef para estos dos sistemas, y también la contribución de los orbitales f del Nd y Sm. En el caso del Sm, la forma de la densidad, con máximo locales más pronunciados, denota una mayor localización de los orbitales. Estos resultados son acordes a lo obtenido para el Pr123 [28], utilizando el método LAPW. Los valores obtenidos para la DEE total en la Ef sufren un incremento significativo respecto al Y123: 562% en el caso del Nd123, y 2014% para el Sm123. De estos incrementos, el 88% de la DEE total corresponde a la aportación de los orbitales f del Nd, y el 94% a los del Sm (ver tabla 2).

En la tabla 2 se muestra en detalle cada una de las contribuciones por parte de los diferentes escenarios que forman los sistemas RE123. Para el sistema de referencia: Y123, la contribución principal a la DEE total en Ef proviene de los dos planos del CuO: 46%; la cadena contribuye con el 14%. Las contribuciones de los Oxígenos O(2) y O(3) son casi idénticas, mostrando el efecto limitado que tiene la fase cristalina ortorrómbica en los planos. La participación de los Cu(1) y Cu(2) en la DEE es casi igual, siendo la suma de los dos Cu(2) de 30%, y la del Cu(1) 14%. Los Oxígenos O(4) contribuyen en conjunto con el 11% a la DEE total.
Si se comparan las contribuciones de los diferentes escenarios de los sistemas considerados en este trabajo, vemos que para del Nd123, la DEE de los planos de CuO disminuye 31% en el nivel de Fermi respecto al Y123, y aumenta 28% para el Sm123. Estos cambios podrían provocar el debilitamiento o fortalecimiento de la superconductividad en estos sistemas, acorde a la teoría BCS [30], y ser la causa de las diferencias en los diagramas de fase T-R que existen entre los tres sistemas.
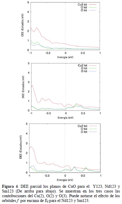
El análisis individual de la DEE del Sm123 asociada a los planos de CuO, muestra que la variación respecto al Y123 antes mencionada, tiene su origen en el Cu(2), en específico, en los orbitales d de este átomo. En la figura 4 se puede apreciar que en el rango de -0.5 a 0.5 eV, la DEE parcial del Cu(2) muestra una serie de máximos locales provenientes de la contribución del orbital d(x2-y2), localizados por los orbitales
y
del Sm. El corrimiento del máximo ubicado alrededor de -0.7 en el Y123 hacia -1.0 para el Sm123 tiene que ver con el desplazamiento de la DEE asociada a los orbitales dxz y dyz del Cu(2). Para el Nd123, también existen modificaciones en la DEE del Cu(2) alrededor de Ef, sin embargo, en este compuesto, uno de los mínimos locales que aparecen debido a la presencia de los orbitales f, coincide con Ef. Esto tiene como consecuencia la disminución de la DEE asociada a los planos de CuO.

En lo referente a la cadena de CuO, se presentan modificaciones en la DEE similares a las que ocurren en los planos de CuO cuando el Y es sustituido por el Sm o Nd, como se muestra en la figura 5. Estas modificaciones tienen su origen en la variación de la DEE parcial de los orbitales d(x2-y2), dxz y dyz del Cu(1). Para el Nd123, existe un aumento de 16%, cuando se trata del Sm123, existe una disminución de 57%. Por encima de Ef, y hasta 1 eV, aparecen un conjunto de máximos locales, ubicados en las mismas energías que aquellos que aparecen en los planos de CuO. Esta situación podría tener su origen en un efecto de proximidad con los planos [31,32].

4. Conclusiones
Se calcularon las propiedades electrónicas de la familia de superconductores Re123 estiquiométrico (Re = Y, Nd y Sm) utilizando un método de primeros principios. En particular, se determinó la DEE total y la asociada a losdiferentes escenarios presentes en estos sistemas. Los resultados obtenidos muestran que los orbitales f del Nd y Sm tienen un efecto importante en la DEE de los sistemas Nd123 y Sm123. Por una parte, producen un incremento significativo en la DEE total en la Ef para ambos sistemas, con respecto al Y123. Por otra parte, las DEE parciales de los planos de CuO tienen una disminución para el sistema Nd123, y un aumento para el Sm123 en la Ef, también con respecto al Y123.
También ocurre un proceso de localización de estados en las DEE parciales de los planos de CuO para el Nd123 y Sm123 por encima de la Ef. Esta localización es debida a los orbitales f de las tierras raras. Una situación interesante ocurre en la DEE asociada a la cadena de CuO de los dos sistemas, en la cual también ocurre la localización antes mencionada.
Referencias
[1] K. H. Bennemann, J. B. Ketterson, Superconductivity: Volume 1: Conventional and Unconventional Superconductors, Volume 2: Novel Superconductors, 1ra ed. (Espriger-Verlag, Berlin Heidelberg, 2008). [ Links ]
[2] P. Monthoux, A. V. Balatsky, and D. Pines, Phys. Rev. B 46, 14803 (1992). [ Links ]
[3] S. Chakravarthy, A. Sudb0, P. W. Anderson, S. Strong, Science 261, 337 (1993). [ Links ]
[4] A. Lanzara et al, Nature 412, 510 (2001). [ Links ]
[5] M. Luszczek, and R. Laskowski, phys. Estat. Sol. (b) 230, R1 (2002). [ Links ]
[6] M. Luszczek, Physica C 471, 29 (2011). [ Links ]
[7] S. Y. Xiong, Y. G. Zhao, D. J. Dong, S. Q. Guo, P. C. Song, L. W. Zhang, M. H. Zhu, B. S. Cao, y B. L. Gu, Physica C 282-287, 783 (1997). [ Links ]
[8] M. Luszczek y R. Laskowski, Phys. Stat. Sol. (b) 239, 261 (2003). [ Links ]
[9] J. Marcus et al, J. Phys. France 49, 111 (1988). [ Links ]
[10] W. Schindler, P. van Hasselt, P. Tontsch, J. Markl, J. Burger, P. Bauer, G. Saemann-Ischenko, J. of Crys. Grow. 127, 1088 (1993). [ Links ]
[11] S-I Yoo, M. Murakami, N. Sakai, T. Higuchi, S.Tanaka, Japanese J. of Appl. Phys. 33, L1000 (1994). [ Links ]
[12] S. I. Yoo, N. Sakai, H. Takaichi, T. Higuchi, and M. Murakami Appl. Phys. Lett. 65, 633 (1994). [ Links ]
[13] A. Oka, S. Koyama, T. Izumi, Y. Shiohara, Physica C 314, 269 (1999). [ Links ]
[14] M. R. Koblischka, A. J. J. van Dalen, T. Higuchi, S. I. Yoo, and M. Murakami, Phys. Rev. B 58, 2863 (1998). [ Links ]
[15] A. Aliabadi, Y. Akhavan Farshchi, M. Akhavan. Physica C 469, 2012 (2009). [ Links ]
[16] A. Tavana and M. Akhavan. Eur. Phys. J. B 73, 79 (2010). [ Links ]
[17] U. topal, M. Akdogan, J. Supercond. Nov. Magn. 25, 239 (2012). [ Links ]
[18] C. Guanghan, Q. Yitai, L. Xianming, Z. Yuheng, J. Zhengkuan, Z. Qirui, Physica C 282, 973 (1997). [ Links ]
[19] J. Rõhlera, S. Linka, K. Conderb, E. Kaldisb, J. of Phys. and Chem. of Sol. 59, 1925 (1998). [ Links ]
[20] W. A. Atkinson and J. P. Carbotte. Phys. Rev. B 51, 1161 (1995). [ Links ]
[21] L. Soderholm et al, Nature 328, 604 (1987). [ Links ]
[22] Z. Zou, K. Oka, T. Ito, Y. Nishihara, Jpn. J. Appl. Phys. Part 2 36, L18 (1997). [ Links ]
[23] P. Blaha, K. Schwarz, P. Soratin, B. Trickey. Comput. Phys. Commun. 59, 399 (1990). [ Links ]
[24] J. P. Perdew, S. Burke, M. Ernzerhof. Phys.Rev.Let. 77, 386 (1996). [ Links ]
[25] V.I. Anisimov, J. Zaanen y O.K. Andersen, Phys. Rev. B 44, 943(1991); [ Links ] V.I. Anisimov et al., Phys. Rev. B 48, 16929 (1993); [ Links ] V.I. Anisimov et al., J. Phys.: Condens. Matter 9, 767 (1997). [ Links ]
[26] W. E. Picket. Rev. Mod. Phys. 61, 433 (1989). [ Links ]
[27] G. Y. Guo, and W. M. Temmerman. Phys. Rev. B 41, 6372 (1990). [ Links ]
[28] M. Li. International J. of Quan. Chem. 48, 49 (1993). [ Links ]
[29] D.J. Singh. Phys. Rev. B 50, 4106 (1994). [ Links ]
[30] J. Bardeen, L. N. Cooper, and J. R. Schrieffer. Phys. Rev. 106, 162 (1957). [ Links ]
[31] A. M. Cucolo, C. Noce, A. Romano. Phys. Rev. B 53, 6764 (1996). [ Links ]
[32] F. Puch, R. Baquero. Rev. Mex. Fis. 52, 301 (2006). [ Links ]













