Servicios Personalizados
Revista
Articulo
Indicadores
-
Citado por SciELO -
Accesos
Links relacionados
-
Similares en
SciELO
Compartir
Economía mexicana. Nueva época
versión impresa ISSN 1665-2045
Econ. mex. Nueva época vol.21 no.1 Ciudad de México ene. 2012
Artículos
Aglomeración espacial de establecimientos comerciales en un centro tradicional de negocios: Un análisis basado en las funciones K
Spatial Agglomeration of Firms in a Traditional Business Center. A K-function Analysis
Carlos Garrocho*, José Antonio Álvarez-Lobato** y Tania Chávez***
* Profesor-investigador, El Colegio Mexiquense, y coordinador del Seminario de Estudios Estratégicos del Estado de México. carlosgarrochorangel@yahoo.com.mx
** Coordinador del Laboratorio de Análisis Espacial. jalvar@cmq.edu.mx
*** Jefa de la Unidad de Informática, El Colegio Mexiquense. Zinacantepec, Estado de México. tchavez@cmq.edu.mx
Fecha de recepción: 7 de enero de 2010;
Fecha de aceptación: 5 de octubre de 2010
Resumen
Comparamos dos de las estadísticas espaciales más robustas que reporta la literatura contemporánea para analizar patrones locacionales de firmas: las funciones K-plana y K-en red. Estas funciones generan valores que, en determinadas condiciones, permiten conocer la estructura espacial básica de la localización de las variables objeto de análisis, pudiéndose incorporar medidas de significancia estadística acerca de la aglomeración/dispersión/aleatoriedad locacional, tanto en espacios euclidianos como en espacios red, y permiten tratarlos como territorios continuos y no como la adición arbitraria de unidades geográficas discretas. Hasta donde sabemos, en la literatura internacional no existen estudios publicados que exploren las divergencias y coincidencias de las funciones K-plana y K-en red al caracterizar patrones espaciales básicos de firmas terciarias en el espacio intraurbano. Este trabajo busca subsanar este hueco en la literatura especializada.
Palabras clave: localización, aglomeración, medidas de concentración espacial, econometría espacial, funciones de densidad K.
Abstract
We compare two of the most robust spatial statistics reported in the contemporary literature to analyze locational patterns of firms: the K-planar and the K-network functions. These functions generate values that, under certain conditions, provide insights into the basic spatial structure of the location of the variables under analysis. Both functions are able to incorporate measures of statistical significance on the agglomeration/dispersion/randomness of locational patterns. The K-planar function does it in Euclidian spaces while the K-network function does it in network spaces. Both functions consider space as continuous territories, not as the arbitrary addition of discrete geographical units (i.e. municipalities, states). To our knowledge, there are no published studies in the international literature that explore the differences and similarities of the K-planar and K-network functions in characterizing basic spatial patterns of tertiary firms in the intra-urban space. This paper seeks to fill this gap in the literature.
Keywords: location, agglomeration, measures of spatial concentration, spatial econometrics, K density functions.
Clasificación JEL: C19, L81, R30.
Introducción
La tendencia de las actividades económicas a concentrarse en el territorio ha sido reconocida, al menos desde los trabajos clásicos de Alfred Marshall (Marshall, 1920). Este comportamiento espacial no es fortuito, sino que se debe a diversas ventajas que obtienen las firmas cuando se aglomeran en el territorio y que de manera genérica se les ha llamado economías de aglomeración (Fujita y Thisse, 2002; Fujita y Krugman, 2004; O'Sullivan, 2007). La naturaleza, el alcance y el origen de las economías de aglomeración son diversos (Rosenthal y Strange, 2004) e incluso pueden deberse a ventajas naturales (por ejemplo, en el espacio intraurbano podría ser la accesibilidad del Centro Tradicional de Negocios al resto de la ciudad) y aun al azar (Ellison y Glaeser, 1997; Krugman, 1991a; Mella, 2006).
El estudio de las economías que generan aglomeración espacial de firmas se ha revitalizado en el marco de la "nueva geografía económica", derivada, principalmente, de los trabajos de Fujita (1988), Krugman (1991a; 1991b), Venables (1996), Fujita et al. (1999), y Ottaviano y Thisse (2003), entre otros. No obstante, se reconoce que existe, de inicio, un obstáculo importante para avanzar en el entendimiento de los procesos de aglomeración de las firmas: la carencia de un método que permita medir correctamente su concentración (dispersión) espacial en el territorio (Marcon y Puech, 2003; Quah y Simpson, 2003; Holmes y Stevens, 2004; Guillain y Le Gallo, 2007). Se acepta que si no se puede medir de manera confiable la concentración (dispersión) de las firmas, será complicado avanzar en el entendimiento de su comportamiento espacial (Duranton y Overman, 2005).
La literatura especializada reporta una gran diversidad de métodos e indicadores que se han utilizado para medir la aglomeración (dispersión) espacial de las firmas y las actividades económicas; sin embargo, no hay consenso sobre cuál o cuáles son los más apropiados (Guillain y Le Gallo, 2007). Duranton y Overman (2005) identifican tres generaciones de métodos que se han utilizado para estimar la concentración espacial de las actividades. La primera generación está encabezada, paradójicamente, por indicadores a-espaciales, como los derivados del índice de Gini, que en realidad son ejercicios estadísticos desvinculados del territorio (aparentemente se asocian con el territorio porque organizan sus datos en unidades geográficas, pero en realidad no consideran ninguna variable espacial; i.e. Krugman, 1991a). La segunda generación de indicadores introduce algunos elementos espaciales y tiende a describir la concentración económica subyacente, pero, al igual que los métodos de la primera generación, considera el espacio de manera discreta (organizado en unidades espaciales administrativas delimitadas de manera arbitraria: países, estados, municipios) debido a que usualmente así está disponible la información estadística, pero no porque estas delimitaciones respondan a la conformación espacial de procesos económicos o porque sean las más adecuadas para investigar la aglomeración de firmas en el territorio (i.e. Glaeser et al., 1992; Ellison y Glaeser, 1997; Devereuex et al., 2004). Finalmente, la tercera generación de métodos e indicadores, derivados en gran parte de la función K propuesta por Ripley (1976), se apoya en la concepción de espacios continuos (i.e. superficies euclidianas no fragmentadas por unidades político-administrativas artificiales y arbitrarias), lo que permite medir concentraciones de puntos (i.e. firmas) a diversas escalas espaciales de manera simultánea (i.e. Arbia, 2001; Arbia et al., 2007; Marcon y Puech, 2003; Duranton y Overman, 2005, 2006).1
Por lo tanto, desde una perspectiva geográfica las metodologías para estimar la aglomeración (dispersión) espacial de firmas en el territorio pueden dividirse en dos grandes categorías: las que consideran el territorio como un espacio discreto y las que lo consideran como un espacio continuo. Las primeras han sido ampliamente utilizadas (i.e. Maurel y Sédillot, 1999; Rysman y Greenstein, 2005; Mori et al., 2005), pero se reconoce que tienen importantes limitaciones. Algunas de las principales son las siguientes: 1) se apoyan en datos artificialmente agregados en unidades espaciales discretas (i.e. países, estados, municipios), cuyos límites arbitrarios no corresponden necesariamente al comportamiento real de la economía ("transforman puntos localizados en un mapa en unidades acumuladas en cajas", Duranton y Overman, 2005, p. 1079); 2) las unidades espaciales discretas utilizadas se consideran homogéneas en su interior (lo que implica el grave problema de la falacia ecológica, Robinson, 1950); 3) la delimitación (forma) y escala (tamaño) de las unidades espaciales inciden directamente en los resultados de los análisis (i.e. lo que los geógrafos llaman el "problema de la unidad espacial modificable", Openshaw, 1984); 4) Son metodologías a-espaciales, ya que no consideran la localización en el territorio de las unidades geográficas discretas en las que organizan la información (no se considera si las unidades espaciales son contiguas o si están más o menos distantes entre sí, i.e. Bertinelli y Decrop, 2005; Guillain y Le Gallo, 2007), y 5) sólo estiman un indicador general de concentración/dispersión, pero sin ninguna información sobre su nivel de significancia, de tal manera que no se puede saber con exactitud si los resultados obtenidos son producto del azar o son estadísticamente significativos. A cambio, estas metodologías reportan importantes ventajas: son relativamente fáciles de aplicar, se apoyan en datos ampliamente disponibles (i.e. censos) y su interpretación es usualmente sencilla (Albert et al., 2007; i.e. Ellison y Glaeser, 1997; Maurel y Sédillot, 1999).
Las debilidades de las metodologías basadas en la concepción del espacio discreto son adecuadamente subsanadas por las que lo conciben de manera continua (Arbia et al., 2007; Duranton y Overman, 2005; Marcon y Puech, 2003). Sin embargo, estos métodos enfrentan, cuando menos, dos problemas operativos importantes: uno relacionado con la información estadística que requieren, y el otro con los procedimientos de estimación. El primero se refiere a que son muy demandantes en términos de los datos necesarios para realizar los análisis, ya que se apoyan en la localización precisa (i.e. coordenadas geográficas) de las firmas. Esta información usualmente no está registrada en fuentes de amplio acceso, por lo que se tiene que levantar en campo, y cuando llega a estar disponible su utilización enfrenta, por lo regular, restricciones de confidencialidad (i.e. Guillain y Le Gallo, 2007; Kosfeld et al., 2009). El segundo problema operativo se relaciona con lo laborioso y complicado de los cálculos numéricos, lo que hace que estas metodologías sean poco prácticas si no se dispone del software adecuado (Mitchell, 2005).
Las metodologías para medir la aglomeración (dispersión) de firmas en espacios continuos se han apoyado, fundamentalmente, en el cálculo de funciones derivadas de la función K de Ripley (Ripley, 1976), considerada una de las más robustas para analizar patrones de puntos a diversas escalas espaciales de manera simultánea (Bailey y Gatrell, 1995; Cressie, 1993; Mitchel, 2005). Dado que la función K no se ve afectada por los problemas inherentes a los métodos que utilizan unidades espaciales discretas, no es raro que se haya utilizado desde hace años para analizar patrones territoriales de diversos tipos de fenómenos naturales (i.e. Getis y Franklin, 1987), y que recientemente se esté probando para explorar el comportamiento espacial de fenómenos sociales y económicos (i.e. Yamada y Thill, 2004; Duranton y Overman, 2005).
Sin embargo, el método estándar de la función K (la llamada función K plana, Yamada y Thill, 2004) se basa en el supuesto de un espacio euclidiano e isotrópico (plano, infinito, bidimensional) donde los puntos pueden ocurrir en cualquier sitio y las distancias entre los puntos se miden en línea recta. Algunos autores han argumentado que este supuesto es insostenible cuando se intenta analizar patrones de puntos (i.e. firmas) cuya localización está restringida a territorios finitos y unidimensionales (Miller, 1999; Okabe y Yamada, 2001), como las redes de carreteras en espacios regionales (i.e. Lu y Chen, 2006) o la red de calles en espacios intraurbanos (Myint, 2008).
Como la medición de la distancia desempeña un papel clave en la estimación de la función K, medirla en un espacio euclidiano o en un espacio red es de vital importancia, ya que una u otra forma de medición puede conducir a conclusiones distintas respecto del patrón espacial (i.e. aglomerado, disperso o aleatorio) de una misma muestra de puntos (Lu y Chen, 2006).
Para estas situaciones, Okabe y Yamada (2001) han propuesto un método de análisis que expande las propiedades de la función K plana a un espacio red (i.e. una red de calles). En este método, la función Ken red considera explícitamente que la localización de los eventos (i.e. firmas) está restringida a una red determinada, por lo que las distancias deben medirse no de manera euclidiana, sino a lo largo de la red en cuestión. La función K en red se ha aplicado recientemente para analizar el patrón espacial de accidentes en redes carreteras de Estados Unidos y Japón (Yamada y Thill, 2004; Xu, 2002; Okabe y Satoh, 2006), el robo de autos en áreas metropolitanas norteamericanas (Lu y Chen, 2006) y la localización de algunos tipos de servicios en ciudades pequeñas del medio oeste estadounidense (Myint, 2008).
Como las estimaciones de las funciones K plana y en red implican cálculos complejos y laboriosos, su aplicación en el campo de la geografía económica ha sido limitada (Lu y Chen, 2006), y los estudios publicados que utilizan las funciones K para analizar patrones de actividades terciarias en el espacio intraurbano son aún casos de excepción, que utilizan muestras muy reducidas de negocios (Myint, 2008) o de usos del suelo (Cuthbert y Anderson, 2004). Esto es aún más notorio si nos referimos a ciudades de países en desarrollo (i.e. México), donde es poco lo que se conoce sobre el comportamiento espacial de las firmas (Duranton y Overman, 2006, p. 1).
El objetivo de este trabajo es identificar y examinar las coincidencias y divergencias de los resultados de la función K plana y la función K en red en el análisis del patrón de localización de firmas terciarias en el centro tradicional de negocios (CTN) del área metropolitana de Toluca (AMT, México), con el fin de verificar las ventajas que algunos autores le atribuyen a la función K en red cuando se estudian espacios intraurbanos de escala reducida (Okabe y Yamada, 2001). Los resultados de este trabajo permitirán orientar la correcta aplicación de las funciones K para analizar la distribución espacial de firmas terciarias al interior de ciudades mexicanas; es decir, para avanzar en el análisis a nivel micro del alcance geográfico de las economías de aglomeración en espacios intraurbanos (Rosenthal y Strange, 2004). Hasta donde sabemos, no existen antecedentes publicados en la literatura internacional que utilicen simultáneamente las funciones K plana y K en red para estimar la aglomeración de amplias muestras de negocios en centros tradicionales de grandes ciudades y que comparen sus resultados. Este trabajo busca subsanar este hueco en la literatura especializada. Sin embargo, la misma carencia de estudios como el que aquí se presenta impidió llevar a cabo análisis comparativos de nuestros resultados con otros que hubiesen podido servir de antecedentes.
En lo que sigue el artículo se divide en cinco secciones. En la primera se presentan de manera sucinta las funciones K plana y K en red, y se explica el método del análisis comparativo que articula este trabajo. En la siguiente sección se describen la zona de estudio y los datos utilizados, para situar el contexto espacial y estadístico del análisis. Posteriormente se estiman las funciones K plana y K en red, y se analizan comparativamente sus principales resultados. Finalmente, se presentan las conclusiones del trabajo y una lista de la bibliografía consultada.
I. Funciones K plana y K en red y método para su análisis comparativo
I.1. La función K plana
La función K plana es propuesta por Ripley (1976) con el propósito de probar la concentración (dispersión) de distribuciones espaciales de puntos.
El cálculo de esta función toma en cuenta la localización relativa de todos los puntos considerados en el análisis (i.e. la distancia entre todos ellos), lo que permite generar resultados simultáneos en un amplio rango de escalas espaciales (Yamada y Thill, 2004).2
Los métodos espaciales que sintetizan distribuciones de puntos en un solo indicador global, como los derivados del cálculo de distancias al vecino más cercano, no tienen esta propiedad multiescala, ya que solamente consideran pares de puntos (i.e. la distancia de un punto al vecino más cercano) y una sola escala de análisis (i.e. la del área de estudio). En cambio, la función K plana ofrece, simultáneamente, resultados para muy diversas escalas espaciales dentro del área de estudio. Esta característica es particularmente importante, ya que los patrones de puntos pueden registrar comportamientos espaciales diferentes a escalas geográficas distintas (i.e. aglomerados a cierta escala, pero dispersos a otra) (Bailey y Gatrell, 1995; Dixon, 2002).
La idea básica detrás de la función K es examinar si una distribución espacial de puntos observada es significativamente distinta de una distribución espacial aleatoria. Es decir, si difiere en términos estadísticamente confiables de un proceso espacial homogéneo de tipo Poisson (también llamado de "aleatoriedad espacial completa" o complete spatial randomness [CSR], como se le conoce en inglés). En una distribución espacial aleatoria (o CSR) todos los puntos tienen la misma probabilidad de ocurrir en cualquier sitio del área de estudio, y la presencia de un punto en una cierta localización no afecta las probabilidades de ocurrencia de otros puntos. La función K permite comparar el número acumulado de puntos en bandas consecutivas de distancia de una distribución espacial observada, con el acumulado de puntos en las mismas bandas de distancia de una distribución espacial aleatoria teórica (Mitchell, 2005).
Para entender de manera intuitiva la función K plana, supóngase que se selecciona al azar cierto punto (i.e. firma) de una distribución cuyo patrón se quiere analizar. A partir de ese punto se define una serie de círculos concéntricos, cuyos radios se van incrementando de manera constante. Estos círculos serían ventanas que nos permiten observar el área de estudio en diferentes escalas. Luego se considera cada círculo de manera individual y se cuenta el número de puntos que se localizan dentro de cada uno de ellos (gráfica 1). Se repite este procedimiento para todos los puntos de la distribución bajo análisis. A continuación se obtiene el promedio del número acumulado total de puntos en cada distancia considerada (cada distancia considerada es el radio de cada ventana o círculo concéntrico que se definió previamente alrededor de cada punto de la distribución analizada) dividido entre la densidad de puntos, y se grafica en el eje vertical de un plano cartesiano, mientras que los diferentes rangos de distancia (la medida de los radios de los círculos concéntricos previamente establecidos) se grafican en el eje horizontal. La curva resultante es la función K plana. Así, la función K plana a una cierta distancia se calcula como la media observada del número de puntos a esa determinada distancia, desde un punto cualquiera de la muestra, dividida por la intensidad total (densidad) de puntos (Yamada y Thill, 2004).

Efectuar pruebas estadísticas de significancia para la función K plana es ciertamente complicado, excepto cuando el área de estudio tiene una forma geométrica simple (i.e. rectángulo, círculo; Cressie, 1993). Pero cuando el área de estudio tiene una forma compleja, como usualmente ocurre en la realidad, normalmente se realizan simulaciones con el método Monte Carlo para generar funciones Kaleatorias teóricas que sirvan como referente de comparación (patrones contrafactuales, Duranton y Overman, 2005) a la distribución observada, y así generar seudoniveles de significancia (Yamada y Thill, 2004; Manly, 1997).
Por lo tanto, lo que se hace es comparar gráficamente la función K plana observada con las funciones K teóricas aleatorias (derivadas para la misma cantidad de puntos analizados y para la misma área de estudio) que resultan de realizar suficientes simulaciones (i.e. 1000) mediante el método Monte Carlo (Baddeley y Turner, 2005). Por lo tanto, si a una determinada distancia el número de puntos acumulados en la función K plana observada es significativamente mayor que la que registra la función K teórica aleatoria (estimada con el método Monte Carlo), se puede concluir que la distribución de puntos observada sigue un patrón aglomerado a esa distancia (i.e. mayor que 99 por ciento de las funciones Kteóricas aleatorias). Si, por el contrario, el número acumulado de puntos en la función K observada es significativamente menor que el de la función K teórica aleatoria, se puede concluir que la distribución de puntos observada sigue un patrón disperso (o de rechazo espacial). Si las diferencias entre las funciones K observada y teórica aleatoria no son significativas se puede concluir, lógicamente, que la distribución de puntos observada sigue un patrón espacial aleatorio. De esta manera, la función K plana permite identificar si una distribución espacial de puntos observada sigue un patrón aglomerado, disperso (de rechazo espacial) o aleatorio en un espacio bidimensional a diferentes escalas geográficas (Lu y Chen, 2006; Mitchell, 2005).
En análisis empíricos de patrones de puntos se ha detectado que la manera en que se definen las fronteras del área de estudio puede afectar las estimaciones de la función K. Una razón es que puede ocurrir que diversos puntos queden fuera del área de estudio (a veces muy cerca de sus límites) o porque se aplican a espacios finitos métodos estadísticos diseñados para espacios infinitos (Yamada y Thill, 2004). Dado que las fronteras del área de estudio no son usualmente extensas sino que por razones operativas deben circunscribirse a una determinada superficie (dejando necesariamente fuera del área de estudio puntos que pertenecen a la misma distribución), Ripley (1976) y otros (i.e. Cressie, 1993; Stoyan y Stoyan, 1994; Baddeley y Turner, 2005) han diseñado una gran variedad de correctores estadísticos de los llamados efectos de borde (edge-effects), derivados de la forma y extensión de las superficies consideradas como áreas de estudio, lo que otorga gran validez a los resultados de la función K plana y permite hacer comparaciones entre distintas áreas de estudio (Bailey y Gatrell, 1995; Duranton y Overman, 2005). El software utilizado en este trabajo para estimar la función K plana (Spatstat) implementa automáticamente correcciones para eliminar los efectos de borde, si así se desea (Baddeley y Turner, 2005).
I.2. La función K plana: su expresión matemática
Los detalles matemáticos de la función K plana se reportan ampliamente en la literatura internacional y no vale la pena repetirlos en detalle en este espacio (i.e. Bailey y Gatrell, 1995; Cressie, 1993; Diggle, 2003; Lu y Chen, 2006; Ripley, 1976; Ripley, 1981; Yamada y Thill, 2004; entre muchos otros). Sin embargo, sí es necesario presentar sus principales rasgos para tener claro el método de cálculo que se siguió en este trabajo.
Dada una distribución de puntos P = {p1, ...pn} en una determinada área de estudio, la función K plana compara el valor observado de K a una cierta distancia (Kobs) con el valor esperado de K a esa misma distancia. Así, la función Kplana esperada se puede expresar como:

Donde:
r: distancia a la cual se calcula K
λ: estimación de la distribución de la densidad de puntos en P (i.e. número de puntos por unidad de área)
E ( ): valor esperado de puntos
Cuando el patrón de puntos sigue un proceso Poisson homogéneo, esto es, que tiene aleatoriedad espacial completa (CSR), la función puede expresarse (Smith, 2009; Okabe y Yamada, 2001; Dixon, 2002) como:

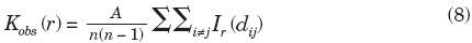
Para un conjunto observado de n puntos, distribuidos sobre una región con área A, la función K observada toma la forma:

donde:
n: número de puntos observados
dij: distancia euclidiana entre los puntso pi y pj

Al sustituir λ' en la fórmula Kobs (3), Kobs (r) puede definirse como:

Para simplificar los cálculos (Diggle, 2003), λ' puede redefinirse como:

que es prácticamente igual a la definición anterior de λ' para valores suficientemente grandes de n, por lo que la función Kobs (r) puede representarse como:

Los factores de corrección de los efectos de borde se pueden incluir como término adicional dentro de las sumatorias de la ecuación (8) (Dixon, 2002).
Conforme se incrementa el valor de r hasta cubrir la distribución de puntos P en el área de estudio, se puede obtener una serie de valores Kobs (r). Estos valores se grafican en el eje vertical de un plano cartesiano contra los valores r que se grafican en el eje horizontal. Al comparar la curva resultante de Kobs (r) con la que resulta de K(r) es posible distinguir si la distribución observada de puntos P sigue un patrón aglomerado, disperso o aleatorio, estadísticamente significativo a diversas escalas espaciales (Levine, 2004; Lu y Chen, 2006).
Debido a la alta variabilidad al estimar K(r), cuando el valor de r es elevado, si se usan ciertas correcciones de efecto de frontera o el fenómeno a evaluar es desconocido, la recomendación usual es tener como distancia máxima 0.5 de la dimensión más corta del área de estudio si ésta es rectangular, o
para un polígono de área A (Dixon, 2002), aunque un valor más conservador sugiere 0.25 de la dimensión más corta del rectángulo que engloba los puntos a estudiar, o de la distancia entre los pares de puntos más alejados (Kosfeld et al., 2009).
I.3. La función K en red
La función K en red es una derivación de la función K plana que data apenas de la década de 1990 (Okabe et al., 1995; Okabe y Kitamura, 1996; Okabe y Yamada, 2001). Su principal diferencia respecto a la función K plana es que utiliza un espacio-red unidimensional en lugar de un espacio isotrópico bidimensional. En ese espacio red se miden las distancias entre los puntos de la distribución que se quiere analizar.
De manera similar a la función K plana, el método de Okabe y Yamada (2001) utiliza simulaciones tipo Monte Carlo para generar una serie de funciones K en red derivadas de distribuciones teóricas aleatorias de puntos, donde cada punto tiene la misma probabilidad de ocurrir en cualquier sitio de la red (i.e. una red de calles), y donde la presencia de un punto en un determinado sitio no afecta la probabilidad de ocurrencia de otro punto sobre la red.
Al igual que se hace cuando se analiza la función K plana, la función K en red observada se compara con funciones Ken red teóricas aleatorias. Si la función K en red observada es mayor o menor que cierto porcentaje de las funciones Ken red derivadas de patrones aleatorios (i.e. 99 por ciento u otro valor, dependiendo del nivel de significancia seleccionado), se puede concluir que la muestra de puntos observada en el espacio red sigue un patrón espacial aglomerado (si es mayor que el porcentaje determinado), disperso (si es menor que el porcentaje determinado) o aleatorio (si no hay diferencias significativas con las funciones K aleatorias teóricas).
Si resumimos, la función K en red se aplica a un espacio red unidimensional, mientras que la función K plana opera en un espacio bidimensional. Por lo tanto, es de esperarse que los valores de las dos funciones sean distintos para muestras de puntos iguales, en función de la suposición de un espacio bidimensional (i.e. el centro tradicional de negocios de una ciudad) o un espacio red (i.e. la red de calles en el centro tradicional de negocios de la misma ciudad).
I.4. La función K en red: su expresión matemática
Dado un conjunto de puntos P = {p1 ...pn} distribuidos en una red N conformada por enlaces y nodos (esto es, segmentos de calle y cruces de calles), se definen como LT todos los enlaces que interconectan cada nodo, y como |LT| la longitud total de LT.
Al suponer un proceso de puntos binomial, esto es, que los puntos estén uniforme e independientemente distribuidos en la red N la función K en red se puede definir como:

donde:
ω: estimador de la densidad de puntos a lo largo de la red (i.e. número de puntos por unidad de longitud).
E ( ): Valor esperado respecto a todas las posibles ubicaciones de p sobre LT.
r: Distancia en red a la que se calcula la función K.
Si Lp (r) es un subconjunto de LT, donde la distancia en red entre p y cualquier punto en Lp(r) es menor o igual que r, y |Lp(r)| es la longitud de Lp(r) ya que ω|Lp(r)| indica el número esperado de puntos de P en | Lp(r)| , la ecuación (9) se puede expresar como:

donde:
dp: Es la integración de p a lo largo de LT.
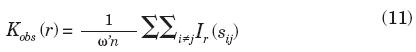
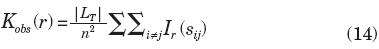
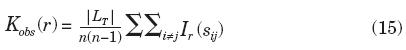
Ahora bien, para un conjunto observado de n puntos de P, distribuidos a lo largo de la red definida por los enlaces LT, la función K observada puede ser expresada como:

donde:
sij : Distancia más corta en red entre los puntos pi y pj.

Así, la expresión de la función Kobs se puede definir como:

Si se opta por el estimador de la densidad de puntos
, la función Kobs se expresará como:

Mediante el método Monte Carlo se realizan simulaciones para generar una serie de distribuciones teóricas aleatorias de n puntos en N, con el fin de estimar el valor esperado de la función K en red, Kobs(r), en condiciones de CSR. Las funciones teóricas aleatorias K(r) se comparan con la función Kobs(r) para establecer si el patrón de puntos analizado es aglomerado, disperso o aleatorio a una distancia r a lo largo de la red de calles N. Una explicación más detallada, incluyendo la prueba de significancia estadística de la función K en red, puede revisarse en Okabe y Yamada (2001).
I.5. Ejes del análisis comparativo de las funciones K
En este trabajo las funciones K plana y en red se aplicaron a los mismos conjuntos de firmas terciarias localizadas en una misma área de estudio (el Centro Tradicional de Negocios [CTN] del área metropolitana de Toluca [AMT]) y se compararon sus respectivos resultados en tres aspectos clave: 1) si coinciden o no en la caracterización del patrón espacial de las firmas (i.e. concentrado, disperso o aleatorio); 2) si coinciden o no en la localización del pico de mayor aglomeración de las firmas (lo que indica la escala de la aglomeración), y 3) si coinciden o no en la intensidad de la concentración de las firmas. Así, los ejes del análisis comparativo de los resultados de las funciones K plana y K en red que articulan la parte empírica de este trabajo son: caracterización, escala e intensidad. Estos tres ejes, y sus respectivos indicadores, permiten ahondar más en el análisis comparativo que la sola inspección visual de las gráficas de las funciones K, que ha sido el principal método de comparación utilizado hasta ahora (Yamada y Thill, 2004; Lu y Chen, 2006).
Dado el nivel de complejidad de los cálculos para la estimación de las funciones K plana y en red y de sus niveles de significancia estadística, se utilizaron dos paquetes de cómputo plenamente aceptados en la literatura internacional: Spatstat para estimar la función K plana (Baddeley y Turner, 2005) y SANET (Okabe et al., 2007) para estimar la función K en red.
Para permitir la comparación entre ambas funciones se tomó como referente base el cálculo de la función K con Spatstat utilizando factores de corrección de efectos de frontera (el factor de corrección isotrópico de Ripley [1988], que puede utilizarse para áreas poligonales) y 512 intervalos de cálculo. Se consideró como distancia máxima de r el valor estimado por Spatstat de 338 metros (el valor conservador de 0.25 de la longitud de los límites del área de estudio). Para el cálculo de la función K en red se ajustaron las distancias máximas e intervalos a los mismos valores especificados para la función K plana. Para determinar las bandas superior e inferior de los niveles de confianza se realizó el procedimiento estándar de 999 simulaciones Monte Carlo (Yamada y Thill, 2004).
II. Zona de estudio y datos utilizados
II.1. Zona de estudio
El área metropolitana de Toluca (AMT) se localiza a media hora de la ciudad de México (40 kilómetros en dirección suroeste), y forma parte de la zona metropolitana del valle de Toluca, que está integrada por doce municipios del Estado de México. Tiene una superficie de 269.6 kilómetros cuadrados; su eje de longitud máxima Este-Oeste es de 31.6 kilómetros, y el Norte-Sur es de 21.1 kilómetros. Con 1.6 millones de habitantes, es una de las cinco ciudades más grandes de México. El empleo formal ha tenido un comportamiento ascendente, aunque afectado por las recurrentes crisis económicas del país; en 1994 contaba con 157 284 empleos formales que llegaron a 267 603 en 2004, lo cual indica que más allá de coyunturas económicas la zona metropolitana del valle de Toluca es una de las áreas urbanas más dinámicas a escala nacional y ha registrado un crecimiento metropolitano de alta intensidad. Esto ha modificado su estructura urbana y ha transformado la ciudad monocéntrica de principios de la década de 1980 en una enorme área metropolitana policéntrica al inicio del siglo XXI (Carrocho y Campos, 2007).
Para definir el centro tradicional de negocios del AMT se consideró como criterio preliminar la existencia de usos de suelo comercial continuos en las vialidades del CTN, y como segundo criterio la intensidad de flujos peatonales en la zona. Los detalles se explican en Carrocho y Flores (2009a; 2009b). El resultado es una zona continua y de forma irregular con una extensión de 154.8 hectáreas (poco más de 100 manzanas) que incluye alrededor de 4 300 unidades comerciales y de servicios, lo que arroja una densidad bruta de casi 28 unidades económicas por hectárea. Su extensión máxima en dirección Este-Oeste es de 1 770 metros y de 1 500 metros en dirección Norte-Sur. En total, la longitud de la red de calles en la zona de estudio alcanza 23.4 kilómetros (mapa 1).
II.2. Datos utilizados
En el AMT no existen registros automatizados de los negocios localizados en el CTN, por lo que fue necesario llevar a cabo un intenso trabajo de campo dividido en dos etapas. En la primera se realizó un levantamiento exhaustivo de todas las firmas, viviendas, locales vacíos y usos del suelo diversos (i.e. parques, plazas) en un área deliberadamente más extensa que la zona de estudio; y en la segunda se midieron las afluencias peatonales en 120 puntos de conteo durante doce horas diarias en tres días consecutivos, para identificar con mayor precisión los límites del CTN (mapa 1) (Garrocho y Flores, 2009a; 2009b). El resultado del trabajo de campo se organizó en una base de datos georreferenciada vinculada a un sistema de información geográfica (ArcGis), lo que facilitó el manejo de la información estadística y cartográfica, y su interfaz con Spatstat y SANET.
III. Análisis comparativo de los resultados de las funciones K plana y K en red: caracterización, escala e intensidad
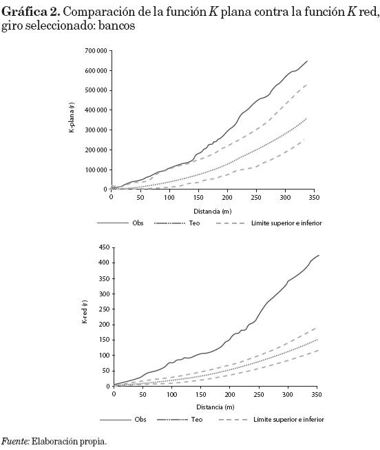
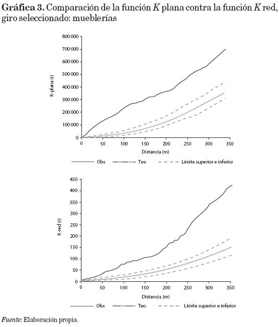
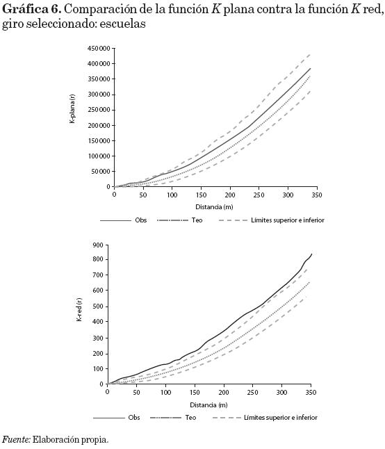
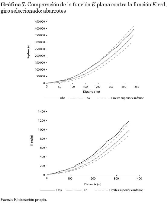
Con el propósito de analizar los resultados de las funciones K plana y K en red (en adelante: Kplana y Kred) en términos de la caracterización del patrón espacial de las firmas, así como de la escala e intensidad de su aglomeración en la zona de estudio, se seleccionaron doce giros comerciales y de servicios representativos del CTN del AMT: ocho de ellos correspondientes a comercio minorista y cuatro a servicios, que suman en total 1 268 unidades económicas (cuadro 1).

III.1. Caracterización de los patrones espaciales y variación en el territorio
Para caracterizar los patrones espaciales de las unidades económicas consideradas, se graficaron las funciones Kplana y Kred tanto teórica como observada (Kobs y Kteórica) para los doce giros comerciales seleccionados, incluyendo sus niveles de significancia. El patrón espacial bajo análisis se caracterizó como aglomerado si la función Kobs se ubicó por encima del límite superior del nivel de confianza de la Kteórica; como aleatorio si la Kobs se encontró dentro de los límites superior e inferior de los niveles de significancia de la Kteórica; y disperso si se localizó por debajo del límite inferior del nivel de confianza de la función Kteórica (i.e. Yamada y Thill, 2004; Lu y Chen, 2006).
El análisis comparativo de la caracterización de los patrones espaciales derivados de las funciones Kplana y Kred debe considerar, al menos, dos elementos centrales: 1) el tipo de patrón espacial predominante (aglomerado, disperso/rechazo espacial, aleatorio) y 2) las variaciones territoriales del patrón espacial predominante (los cambios del patrón predominante a diferentes escalas y distancias: si el patrón predominante pasa de aglomerado a aleatorio o de aleatorio a disperso, por ejemplo) (cuadro 2).
III.1.1 Caracterización del tipo de patrón espacial predominante
En términos de la caracterización del tipo de patrón espacial predominante, los resultados de las funciones Kplana y Kred coinciden en nueve de los doce casos (bancos: aglomerado; alimentos preparados: aglomerado; electrónico: aglomerado; iglesias: aleatorio; mercerías: aglomerado; mueblerías: aglomerado; restaurantes: aglomerado; ropa: aglomerado; zapaterías: aglomerado) (gráficas 2, 3 y 4). Sólo en tres casos arrojan resultados diferentes: farmacias, escuelas y abarrotes (gráficas 5, 6 y 7). En los tres últimos casos la función Kplana caracteriza los patrones como aleatorios, mientras que la función Kred los califica como aglomerados, ya que permite una estimación más fina de los patrones espaciales en espacios intraurbanos, donde la distancia en red es más significativa que la distancia eucli-diana. Esto es particularmente importante en los casos límite, donde la función Kplana observada tiende a ubicarse cerca de los límites de los niveles de confianza. Para el caso de las escuelas, la función Kplana caracteriza su patrón como claramente aleatorio, pues prácticamente a lo largo de toda la distancia calculada está por debajo del límite superior del nivel de confianza, mientras que la función Kred lo identifica como ligeramente aglomerado a prácticamente todas las distancias. La estimación más fina de la función Kred es aún más clara en el caso de las farmacias, ya que mientras la función Kplana observada se localiza muy cerca del límite superior de confianza, la función Kred se ubica claramente por encima del límite superior, con lo que caracteriza el patrón espacial como evidentemente aglomerado. La situación es distinta en el caso de los abarrotes, donde la función Kplana oscila por debajo del nivel superior, pero en Kred oscila por encima del nivel superior de confianza, con lo que declara una ligera aglomeración (gráficas 2 a 7).






Por lo tanto, si bien en la mayoría de los casos las funciones Kplana y Kred coinciden en la caracterización de los patrones espaciales de las unidades económicas en la zona de estudio (aglomerado, disperso, aleatorio), en los casos límite (donde la función Kplana observada se localiza cerca de los límites de confianza) la función Kred parece ofrecer una caracterización más evidente y precisa de los patrones espaciales. Vale subrayar que en estos casos límite la diferencia en la caracterización de los patrones radica en calificarlos como aleatorios o como aglomerados/dispersos; es decir, se trata de una diferencia entre los patrones topológicamente más próximos (aleatorio-aglomerado; aleatorio-disperso), pero no se detectaron casos en los que la caracterización de los patrones de las funciones K fueran diametralmente opuestas: concentrado-disperso o viceversa. En los casos límite de la zona de estudio, las diferencias de caracterización de los patrones espaciales son casi de matiz, y son mejor detectadas por la función Kred.
III.1.2. Variaciones territoriales de los patrones espaciales predominantes
Los patrones espaciales de las unidades económicas pueden ser aglomerados, dispersos o aleatorios a prácticamente cualquier escala (i.e. distancia), o pueden registrar variaciones en el territorio (i.e. ser aglomerados a una cierta escala, pero evidentemente dispersos o aleatorios a otra). A los primeros los denominamos patrones espaciales puros, y a los segundos, patrones espaciales mixtos. En la zona de estudio con la función Kplana se detectaron cuatro patrones espaciales mixtos (tres predominantemente aleatorios: abarrotes, escuelas y farmacias, y uno predominantemente aglomerado: bancos), mientras que en la función Kred se identificaron dos (uno predominantemente aleatorio: iglesias, y uno predominantemente aglomerado: abarrotes) (cuadro 2; gráficas 2 a 7).
Los patrones aleatorios mixtos detectados por la función Kplana son declarados como patrones puros por la función Kred, excepto el caso de los abarrotes, que se encuentra como un caso límite y en el que ambas funciones lo declararon como mixto, sólo que en la función Kred se presenta una conclusión de aglomeración y en la función Kplana de aleatoriedad. El caso de las iglesias es distinto: la función Kred lo declara como aleatorio mixto dado que existe una ligera aglomeración a corta distancia, situación que no se presenta en la función Kplana; esto se debe al número relativamente pequeño de unidades localizadas, que obliga a tener una banda más amplia en los niveles de confianza. Por otro lado, los patrones puros detectados por la función Kplana son confirmados más evidentemente por la función Kred, por lo que esta última pareciera delinear una imagen más clara de las variaciones territoriales de los patrones espaciales de las unidades económicas en espacios intraurbanos con una estructura vial de alta densidad (algo similar concluyen Lu y Chen, 2006, cuando analizan el patrón espacial de robo de autos en San Antonio, Texas), al contrario de lo que se ha reportado para espacios regionales con baja densidad de carreteras (Yamada y Thill, 2004).
Aun cuando en la mayoría de los casos las funciones Kplana y Kred llegan a las mismas conclusiones acerca de la presencia de aglomeración espacial de unidades económicas en nuestra área de estudio, es evidente que ambas formas de cálculo no indican la misma magnitud de concentración, ni su presencia a las mismas escalas (distancias). Justamente, esto es lo que se explora en la siguiente sección.
III.2. Escala de la aglomeración / dispersión
Para determinar la distancia a la que se establece la máxima aglomeración (dispersión) de las unidades económicas consideradas, se calcularon dos indicadores que involucran relaciones entre el valor observado Kobs(r) y el límite superior de su nivel de confianza Kls(r) . El primero de ellos se obtiene de la ecuación 16, y permite identificar la distancia donde la aglomeración alcanza su valor máximo absoluto (Duranton y Overman, 2006).

El cuadro 3 muestra los resultados del cálculo de la ecuación M cuando ésta llega a su máximo valor, tanto en la función Kplana como en la función Kred , y se identifican las coincidencias y divergencias.

Como puede observarse, la función Kplana tiende a subestimar la distancia de máxima aglomeración absoluta, debido, sobre todo, a que estima la distancia entre las unidades económicas en línea recta ("a vuelo de pájaro"), mientras que la función Kred la estima a través de la red de vialidades. La excepción es el caso límite de las farmacias, donde la función Kplana registra la máxima aglomeración a una distancia mayor que la calculada en lafunción kred.
Es importante resaltar que las distancias de máxima aglomeración se dan a la distancia máxima calculada por la función K, lo que es muy evidente sobre todo en la función Kred y sugiere que muy probablemente la aglomeración continúa más a allá de la distancia máxima calculada.
III.3. Intensidad de la concentración / dispersión de los patrones espaciales
Para determinar la intensidad del fenómeno de aglomeración (dispersión o rechazo espacial), ya sea en términos absolutos o relativos, se graficó el indicador M(r) que muestra las magnitudes absolutas de la aglomeración. Sin embargo, M(r) sólo permite la comparación entre las diversas distribuciones dentro de la función Kplana o Kred, pero no entre ellas; es por ello que se proponen dos índices de concentración comparables entre los dos métodos (el índice IC y el índice
).
IC calcula la proporción de exceso de unidades económicas (aglomeración) respecto al límite superior del nivel de confianza a una distancia determinada (Dixon, 2002), y está dada por la ecuación (17).

es un índice de concentración promedio que relativiza la magnitud del área entre las curvas definidas por Kobs(r) y Kls(r) respecto a Kls(r), y está dado por la ecuación (18).

Donde:
i: representa cada runo de los intervalos en los que se calculó la función K(r).
Estos índices serán mayores que 1.0 si existe aglomeración, y menores que 1.0 si existe aleatoriedad o dispersión.
Así, al considerar la magnitud absoluta [indicador M(r)] para la función Kplana, son las unidades económicas de electrónicos, mercerías y mueblerías las que muestran mayor intensidad en su concentración espacial, mientras que para la función Kred la máxima aglomeración absoluta se observa en ropa, mercerías y zapaterías (gráficas 8a y 8b).

La función Kred resalta las aglomeraciones con un mayor número de establecimientos (310 para ropa, 167 para mercerías) con corredores especializados de mayor extensión que abarcan varias calles y manzanas, mientras que la función Kplana resalta las concentraciones que tienen una distribución espacial de corredor especializado más pequeño pero más concentrado (como el caso de electrónicos y mueblerías, cuyo corredor especializado en el área de estudio abarca apenas una calle que concentra cerca de 50 por ciento de los establecimientos). Esto pareciera indicar que la función Kred puede detectar de mejor manera las aglomeraciones a nivel de toda la zona de estudio, y la Kplana detecta las aglomeraciones a distancias más cortas (donde afecta menos considerar la distancia euclidiana).
Si se calcula el IC(r) para las distancias de máxima aglomeración absoluta se obtienen los resultados que se muestran en el cuadro 4. Para el caso de la función Kplana, este índice no es mayor que 1.0 en el caso de las iglesias, mientras que los giros de mercerías, electrónicos, escuelas y zapaterías registran los índices más altos. Así, por ejemplo, para el caso de las mercerías un IC de 1.79 implica que existe 79 por ciento más unidades económicas de este giro que lo que se esperaría de una distribución derivada de un proceso de localización completamente aleatorio, si se consideran los niveles de confianza. La función Kred, nuevamente debido a la forma del cálculo de la distancia, estima mejor el valor de IC prácticamente en todos los giros, excepto en el de electrónicos y en el caso límite de las escuelas, donde la función Kplana detectó un pico de máxima aglomeración alto, cuando en realidad su patrón fue declarado como aleatorio o como de mínima aglomeración en el caso de Kred, y que como se ha resaltado, esta variación es explicable en razón del número relativamente pequeño de unidades localizadas en el área de estudio.

El
(r) ofrece un panorama más claro y concluyente (cuadro 5); por un lado, declara como aleatorios/dispersos para el caso de la función Kplana los giros de iglesias, escuelas y abarrotes, mientras que en la función Kred sólo el de iglesias cae en esta categoría. En todos los casos, el indicador es mayor en la Kred que en la Kplana, con lo que se confirma que la función Kplana subestima los niveles de aglomeración respecto a Kred En su jerarquía relativa la Kplana definió como más aglomerados los giros de mercerías, mueblerías y electrónicos, mientras que la función Kred define un orden distinto: mueblerías, electrónicos y mercerías.

Dado que la estructura vial del centro del AMT registra una alta densidad de calles, la diferencia relativa entre la distancia en red y la distancia euclidiana es menor que si el análisis se realizara a escala regional usando la estructura carretera (Lu y Chen, 2006). No obstante, aun en un espacio intraurbano con alta densidad de vialidades, la función Kplana tiende a subestimar la caracterización de aglomeración respecto a la función Kred, como ocurre en nuestra área de estudio. Adicionalmente, el hecho de que la distancia de máxima aglomeración se obtenga a menores valores en la Kplana que en la Kred confirma que la distancia euclidiana es significativamente más corta que la distancia en red, por lo que la función Kred refleja más fielmente los patrones observados de aglomeración de los establecimientos. Es así, sobre todo, para el centro del AMT, donde la actividad económica se observa principalmente en corredores comerciales de forma irregular (i.e. cruces de calles o pequeñas calles especializadas).
Las posiciones relativas del
(r) calculado con ambos métodos muestran pocas diferencias, siendo el giro de mercerías el que presenta, en todo caso, la mayor diferencia debido al elevado número de unidades económicas concentradas en un corredor especializado muy definido del CTN del AMT.
IV. Conclusiones
El propósito de este trabajo fue analizar las coincidencias y divergencias de los resultados de las funciones Kplana y Kred en la caracterización (aglomeración/dispersión o rechazo espacial/aleatoriedad), escala (localización del pico de máxima intensidad de la aglomeración/dispersión) e intensidad (más o menos unidades económicas respecto a una distribución en condiciones de CSR) de los patrones de localización de unidades económicas terciarias en el CTN del AMT (México). Para el cálculo de las funciones Kplana y Kred se utilizaron como herramientas computacionales Spatstat y sanet, respectivamente. Con estas herramientas fue posible manejar sin problema el área de estudio considerada, organizar y procesar la información, y determinar la caracterización, escala e intensidad de la aglomeración/dispersión de los patrones espaciales de las unidades económicas en el espacio intraurbano.
Contra lo que reporta la literatura especializada (Yamada y Thill, 2004), para la zona de estudio seleccionada la función Kplana no sobreestimó el patrón de aglomeración de las actividades terciarias, debido a la alta densidad de la estructura vial en la zona y a su estructura comercial. Más bien ocurrió lo contrario: aun en un espacio intraurbano con alta densidad de vialidades, como el CTN del AMT, la función Kplana subestimó los patrones de aglomeración. Cabe mencionar que la estructura comercial del CTN del AMT se articula básicamente a través de corredores especializados para los giros que resultaron ser más aglomerados. En estas circunstancias la función Kred los detectó más claramente, por lo que es más recomendable su uso a escala intraurbana y para este tipo de estructura comercial. Sin duda, la función Kred fue más concluyente y más fina en sus apreciaciones de aglomeración, mientras que la función Kplana tuvo resultados mixtos o en los límites de los niveles de confianza.
Se debe subrayar que el número de establecimientos considerados para cada giro tiene un impacto en la generación de las simulaciones para determinar los niveles de confianza, y es por ello que, en el caso específico de este trabajo, para giros como iglesias, farmacias y bancos, en los que se ubicó un número relativamente pequeño de establecimientos en el área de estudio, fue más difícil declarar un patrón de aglomeración o aleatoriedad en cada uno de los métodos considerados. Así, en el espacio intraurbano, mientras mayor sea el número de puntos considerados, mayor será la coincidencia en la caracterización de los patrones de las funciones Kplana y Kred, porque las bandas de los niveles de confianza tienden a acercarse a la función K teórica.
El hecho de que en la mayoría de los casos el máximo de aglomeración absoluto se obtenga a la distancia máxima a la que se calculó la función K sugiere que la aglomeración continúa más allá de la distancia calculada, por lo que es posible, para caracterizar patrones espaciales básicos de firmas terciarias en el espacio intraurbano, incrementar el límite más allá del valor sugerido por el software utilizado para la función Kplana.
En esta investigación se propusieron y calcularon los indicadores M, IC e
para determinar la escala e intensidad de las aglomeraciones de una manera más precisa y evaluable que la sola interpretación de las gráficas resultantes de las funciones K. Estos indicadores son complementarios, pero sólo los índices IC e IC son comparables entre Kplana y Kred, ya que el indicador M está dado en unidades bidimensionales para el caso de Kplana y unidimensionales para Kred. En contraparte, los índices IC e
relativizan las funciones K, lo que facilita notablemente su comparación. El indicador
, en particular, puede considerarse como un indicador cuantitativo más concluyente para determinar el patrón espacial predominante que la simple inspección visual.
El trabajo empírico realizado con ambos métodos tendrá que complementarse para otros giros comerciales y de servicios, y para otros espacios intraurbanos en los que se presente una estructura vial distinta o bien una estructura comercial más nucleada; por ejemplo, plazas y centros comerciales; pero en cualquier caso, a una escala intraurbana la función Kred parece ser el método más adecuado para medir los niveles de aglomeración, su escala y su intensidad. Las herramientas computacionales disponibles permiten realizar todos los cálculos asociados sin grandes complicaciones, lo que le facilita al analista concentrarse en el estudio de los resultados y no en el desarrollo matemático.
Referencias bibliográficas
Albert, J. M., J. Mateu y V. Orts (2007), Distribución espacial de la actividad económica en la Unión Europea, WP-EC 2007-02, Valencia, Instituto Valenciano de Investigaciones Económicas. [ Links ]
Anselin, L. (1992), Spatial Data Analysis with GIS: An Introduction to Application in the Social Sciences, technical report 92-10, agosto, Santa Barbara, University of California, National Center for Geographic Information and Analysis. [ Links ]
----------, (1995), "Local Indicators of Spatial Association (LISA)", Geographical Analysis, 27 (1), pp. 93-115. [ Links ]
Arbia, G. (2001), "Modelling the Geography of Economic Activities in a Continuous Space", Papers in Regional Sciences, 80 (4), pp. 411-424. [ Links ]
Arbia, G., G. Espa y D. Quah (2007), "A Class of Spatial Econometric Methods in the Empirical Analysis of Clusters of Firms in the Space", discussion paper 5, Universidad de Trento, Departamento de Economía. [ Links ]
Baddeley, A. y R. Turner (2005), "Spatstat: An R Package for Analyzing Spatial Point Patterns", Journal of Statistical Software, 12 (6), pp. 1-42. [ Links ]
Bailey, T. C. y A. C. Gatrell (1995), Interactive Spatial Data Analysis, Longman, Harlow, Reino Unido. [ Links ]
Bertinelli, L. y J. Decrop (2005), "Geographical Agglomeration: Ellison and Glaeser's Index Applied to the Case of Belgian Manufacturing Industry", Regional Studies, 39 (5), pp. 567-583. [ Links ]
Clark, P. J. y F. C. Evans (1954), "Distance to Nearest Neighbor as a Measure of Spatial Relationships in Populations", Ecology, 35 (4), pp. 445-453. [ Links ]
Cressie, N. (1993), Statistics for Spatial Data, Nueva York, John Wiley & Sons. [ Links ]
Cuthbert, A. L. y W. P. Anderson (2004), "Using Spatial Statistics to Examine the Pattern of Urban Land Development", The Professional Geographer, 54 (4), pp. 521-532. [ Links ]
Devereux, M. P., R. Griffith y H. Simpson (2004), "The Geographic Distribution of Production Activity in the UK", Regional Science and Urban Economics, 34 (5), pp. 533-564. [ Links ]
Diggle, P. J. (2003), Statistical Analysis of Spatial Point Patterns, 2a. ed., Londres y Nueva York, Oxford University Press. [ Links ]
Dixon, P. M. (2002), "Ripley's K Function", en A. H. El-Shaarawi y W. W. Piegorsch, Encyclopedia of Environmetrics, 3, Chichester, John Wiley & Sons, pp. 1796-1803. [ Links ]
Duranton, G. y H. G. Overman (2005), "Testing for Localization Using Micro-Geographic Data", Review of Economic Studies, 72 (4), pp. 1077-1106. [ Links ]
----------, (2006), "Exploring the Detailed Location Patterns of UK Manufacturing Industries Using Microgeographic Data", discussion paper 756, octubre, Londres, Centre for Economic Performance, London School for Economics and Political Science. [ Links ]
Ellison, G. y E. L. Glaeser (1997), "Geographic Concentration in U.S. Manufacturing Industries: A Dartboard Approach", Journal of Political Economy, 105 (5), pp. 889-927. [ Links ]
Fujita, M. (1988), "A Monopolistic Competition Model of Spatial Agglomeration: A Differentiated Product Approach", Regional Science and Urban Economics, 18 (1), pp. 87-124. [ Links ]
Fujita, M. y J.-F. Thisse (2002), The Economics of Agglomeration, Cambridge, Cambridge University Press. [ Links ]
Fujita, M. y P. Krugman (2004), "The New Economic Geography: Past, Present and the Future", Papers in Regional Science, 83 (1), pp. 139-164. [ Links ]
Fujita, M., P. Krugman y A. Venables (1999), The Spatial Economy, Boston, The MIT Press. [ Links ]
Garrocho, C. y J. Campos (2007), "Dinámica de la estructura policéntrica del empleo terciario en el área metropolitana de Toluca, 1994-2004", Papeles de Población, 13 (52), abril-junio, pp. 109-136. [ Links ]
Garrocho, C. y Z. Flores (2009a), "Delimitación del centro tradicional de comercio y servicios del área metropolitana de Toluca", Papeles de Población, 15 (61), pp. 233-274. [ Links ]
----------, (2009b), "Metodología para delimitar centros tradicionales de negocios en ciudades mexicanas a partir de la intensidad de flujos peatonales", en D. Velázquez, M. E. Orozco y L. Castillo (coords.), Ciudades, urbanización y metropolización, México, Universidad Autónoma de Quintan Roo-Universidad Autónoma del Estado de México-Plaza y Valdés, pp. 11-46. [ Links ]
Gatrell, A. C., T. C. Bailey, P. J. Diggle y B. S. Rowlingson (1996), "Spatial Point Pattern Analysis and its Application in Geographical Epidemiology", Transactions of the Institute of British Geographers, 21 (1), pp. 256-274. [ Links ]
Getis, A. y J. Franklin (1987), "Second-order Neighborhood Analysis of Mapped Point Patterns", Ecology, 68 (3), pp. 473-477. [ Links ]
Glaeser, E. L., H. D. Kallal, J. A. Scheinkman y A. Shleifer (1992), "Growth in Cities", The Journal of Political Economy, 100 (6), pp. 1126-1152. [ Links ]
Guillain, R. y J. Le Gallo (2007), Agglomeration and Dispersion of Economic Activities in Paris and its Surroundings: An Exploratory Spatial Data Analysis, Regional Economics Applications Laboratory Discussion Paper 06-T-10. [ Links ]
Holmes, T. J. y J. J. Stevens (2004), "Spatial Distribution of Economic Activities in North America", en V. Henderson y J.-F. Thisse (eds.), Handbook of Urban and Regional Economics: Cities and Geography, Ámsterdam, Elsevier. [ Links ]
Kosfeld, R., H.-F. Eckey y J. Lauridsen (2009), Spatial Point Pattern Analysis and Industry Concentration, MAGKS Papers on Economics, Philipps-Universität Marburg, Marburgo, Alemania, Facultad de Administración de Negocios, Departamento de Economía. [ Links ]
Krugman, P. (1991a), "Increasing Returns and Economic Geography", The Journal of Political Economy, 99 (3), pp. 483-499. [ Links ]
----------, (1991b), Geography and Trade, Cambridge, The MIT Press. [ Links ]
Lee, Y. (1979), "A Nearest-Neighbor Spatial-Association Measure for the Analysis of Firm Interdependence", Environment and Planning A, 11 (2), pp. 169-176. [ Links ]
Levine, N. (2004), CrimeStat: A Spatial Statistics Program for the Analysis of Crime Incident Locations, v.3.0, Houston y Washington, Ned Levine & Associates y The National Institute of Justice. [ Links ]
Lu, Y. y X. Chen (2006), "On the False Alarm of Planar K-function when Analyzing Urban Crime Distributed along Streets", Social Science Research, 36 (2), pp. 611-632. [ Links ]
Manly, B. F. J. (1997), Randomization, Bootstrap and Monte Carlo Methods in Biology, 2a. ed., Londres, Chapman. [ Links ]
Marcon, E. y F. Puech (2003), "Evaluating the Geographic Concentration of Industries Using Distance-Based Methods", Journal of Economic Geography, 3 (4), pp. 409-428. [ Links ]
Marshall, A. (1920), Principles of Economics: An Introductory Volume, 8a. ed., Londres, MacMillan. [ Links ]
Maurel, F. y B. Sédillot (1999), "A Measure of the Geographic Concentration in French Manufacturing Industries", Regional Science and Urban Economics, 29 (5), pp. 575-604. [ Links ]
Mella, P. (2006), "Spatial Co-Location of Firms and Entrepreneurial Dynamics: The Combinatory Systems View", Entrepreneurship Management, 2 (3), pp. 391-412. [ Links ]
Miller, H. J. (1999), "Potential Contribution of Spatial Analysis to Geographic Information Systems for Transportation (GIS-T)", Geographical Analysis, 31 (4), pp. 373-399. [ Links ]
Mitchell, A. (2005), The ESRI Guide to Gis Analysis, vol. 2: Spatial Measurement & Statistics, Redlands, California, ESRI Press. [ Links ]
Mori, T., K. Nishikimi y T. E. Smith (2005), "A Divergence Statistic for Industrial Localization", The Review of Economics and Statistics, 87 (4), pp. 635-651. [ Links ]
Myint, S. W. (2008), "An Exploration of Spatial Dispersion, Pattern, and Association of Socio-Economic Functional Units in an Urban System", Applied Geography, 28 (3), pp. 168-188. [ Links ]
Okabe, A., H. Yomono y M. Kitamura (1995), "Statistical Analysis of the Distribution of Points on a Network", Geographical Analysis, 27 (2), pp. 152-175. [ Links ]
Okabe, A. e I. Yamada (2001), "The K-Function Method on a Network and its Computational Implementation", Geographical Analysis, 33 (3), pp. 271-290. [ Links ]
Okabe, A., K. Okunuki y S. Zooide (2007), SANET: A Toolbox for Spatial Analysis on a Network, Version 3.3-030907, Tokio, Universidad de Tokio, Center for Spatial Information Science. [ Links ]
Okabe, A. y M. Kitamura (1996), "A Computational Methods for Optimizing the Location of Store on a Network", Geographical Analysis, 28 (4), pp. 330-349. [ Links ]
Okabe, A. y T. Satoh (2006), "Uniform Network Transformation for Points Pattern Analysis on a Non-Uniform Network", Journal of Geographical Systems, 8 (1), pp. 25-37. [ Links ]
Openshaw, S. (1984), The Modifiable Areal Unit Problem: Concepts and Techniques in Modern Geography, Norwich, Reino Unido, Geo Books. [ Links ]
O'Sullivan, A. (2007), Urban economics, Boston, McGraw-Hill. [ Links ]
Ottaviano, G. y J.-F. Thisse (2003), "Agglomeration and Economic Geography", en J. Vernon Henderson y J.-F.Thisse (eds.), Handbook of Regional and Urban Economics, vol. 4, Ámsterdam, Elsevier, pp. 2563-2608. [ Links ]
Quah, D. y H. Simpson (2003), Spatial Cluster Empirics, trabajo en curso, London School of Economics, Economics Department e Institute for Fiscal Studies, junio. [ Links ]
Ripley, B. D. (1976), "The Second-Order Analysis of Stationary Point process", Journal of Applied Probability, 13 (1), pp. 255-266. [ Links ]
----------, (1981), Spatial Statistics, Chichester, Brisbane, Toronto, Nueva York, John Wiley & Sons. [ Links ]
----------, (1988), Statistical Inference for Spatial Processes, Cambridge, Cambridge University Press. [ Links ]
Robinson, W. S. (1950), "Ecological Correlations and the Behavior of Individuals", American Sociological Review, 15 (3), pp. 351-357. [ Links ]
Rosenthal, Stuart S. y William C. Strange (2004) , "Evidence on the Nature and Sources of Agglomeration Economies" , en J. V. Henderson y J. Thisse (eds.), Handbook of Regional and Urban Economics, vol. 4, Ámsterdam , disponible en: http://www.econ.brown.edu/faculty/henderson/willandstuart.pdf [ fecha de consulta: septiembre de 2011] [ Links ].
Rysman, M. y S. Greenstein (2005), "Testing for Agglomeration and Dispersion, Economics Letters, 86 (3), pp. 405-411. [ Links ]
Smith, T. E. (2009), Notebook on Spatial Data Analysis, libro electrónico, pp. I.4.9-I.4.11, disponible en: http://www.seas.upenn.edu/~ese502/#notebook [fecha de consulta: septiembre de 2009] [ Links ].
Stoyan, D. y H. Stoyan (1994), Fractals, Random Shapes and Point Fields: Methods of Geometrical Statistics, Chichester, Wiley. [ Links ]
Venables, A. J. (1996), "Equilibrium Locations of Vertically Linked Industries", International Economic Review, 37 (2), pp. 341-359. [ Links ]
Xu, J. (2002), "Detect Seasonal Pattern Change of dvas in the Town of Amherst Using Network K-function", documento y ponencia presentados en el 2002 Summer Assembly of the University Consortium of Geographic Information Science, 26-30 de junio, Athens, Georgia. [ Links ]
Yamada, I. y J.-C. Thill (2004), "Comparison of Planar and Network K-Functions in Traffic Accident Analysis", Journal of Transport Geography, 12 (2), pp. 149-158. [ Links ]
1 Quizá los métodos e indicadores que Duranton y Overman (2005) llaman de tercera generación deberían en realidad considerarse como de una cuarta generación, ya que antes de ella aparecieron métodos que se derivan de la técnica del vecino más cercano (propuestos originalmente por Clark y Evans, 1954; i.e. Lee, 1979) y de otros métodos que permiten analizar patrones de puntos en espacios continuos (Anselin, 1992, 1995; Cressie, 1993). La diferencia de estos métodos con los derivados de la función K de Ripley es que no permiten, entre otras cosas, realizar análisis a diversas escalas espaciales de manera simultánea (análisis multiescala) o comparar patrones correspondientes a diferentes áreas de estudio, como sí lo hacen los métodos más sofisticados que Duranton y Overman llaman de tercera generación.
2 Aunque en términos prácticos, la distancia máxima a la que se puede calcular la función K está definida por las dimensiones y características del área de estudio, como se describe más adelante. Sin embargo, a las diferentes escalas en que se puede calcular se considera que está libre del problema de la unidad espacial modificable (Lu y Chen, 2006).













