Introducción
El manejo sustentable de los bosques incluye estimar el crecimiento y rendimiento maderable de rodales a través de modelos de predicción y proyección. Por ello, el administrador forestal debe tener herramientas silvícolas que le permitan estimar adecuadamente los cambios de un rodal para definir estrategias de manejo forestal y, así, lograr el rendimiento sostenido (De la Fuente et al., 1998). En bosques con manejo intensivo es necesario tener modelos de crecimiento y rendimiento que describan de manera adecuada el comportamiento de las variables del rodal en el tiempo y, además, incluyan condiciones distintas de manejo para apoyar la inversión realizada en ellos mediante prácticas silvícolas intensivas (García, 1994; Zepeda y Acosta, 2000).
Los modelos de predicción del crecimiento y rendimiento facilitan la toma de decisiones porque permiten planear la cosecha, evaluar regímenes o tratamientos de manejo alternativos y pueden usarse como una herramienta básica para la evaluación financiera. Sin estas herramientas es difícil desarrollar planes de manejo forestal eficientes (Valdez y Lynch, 2000; Torres y Magaña, 2001). Así, el Índice de Sitio (IS) permite al administrador forestal clasificar y proyectar el crecimiento del rodal, lo cual es un medio eficaz y simplificado para evaluar la productividad forestal (Torres and Magaña, 2001; De los Santos et al., 2006).
La implementación de sistemas de crecimiento y rendimiento maderable (SCRM) se desarrolla en México en masas naturales coetáneas y en plantaciones, con el objetivo de producir y aprovechar madera (Zepeda y Domínguez, 1998; Galán et al., 2008; Magaña et al., 2008). La función de los SCRM es predecir el cambio a través del tiempo de las variables de estado de un rodal: altura dominante (HD), el área basal (AB), el número de árboles (NA) y el volumen (V) (Santiago et al., 2013, Tamarit et al., 2013). Las ecuaciones que componen el sistema describen relaciones entre las variables de interés, basadas en el supuesto de que todas las relaciones ocurren de forma simultánea. Los modelos que conforman el SCRM pueden tener varias características y una de las más deseables es la compatibilidad en el tiempo y que dependa de las relaciones simultáneas que presentan las variables (Borders y Bailey, 1986).
Buckman (1962) inició el desarrollo de los sistemas de tipo compatible y estableció que los componentes del crecimiento están relacionados entre sí y de manera alternativa. Clutter (1963) desarrolló las ecuaciones expresadas en forma de diferencia algebraica. Con esta técnica se pueden generar ecuaciones dinámicas de predicción y proyección, que al obtenerse de un mismo modelo base, resultan compatibles al compartir los mismos valores de los estimadores de los parámetros (García, 1988; García, 1994; Tamarit et al., 2013).
El objetivo de este estudio fue desarrollar un SCRM mediante modelado de predicción explícita que permita simular escenarios para el manejo silvícola y estimar el volumen maderable potencial en plantaciones de crecimiento rápido de P. chiapensis Martínez Andresen en Tlatlauquitepec, Puebla, México, donde la madera de esta especie es valorada, pero escasa en los bosques naturales de la región, por lo cual está bajo protección especial.
Materiales y Métodos
Los datos se obtuvieron cronológicamente de 44 parcelas permanentes de muestreo de 400 m2, establecidas en 105 ha de plantaciones de P. chiapensis en el municipio de Tlatlauquitepec. Estas plantaciones se encuentran a 19° 36’ 24’’ N y 97° 14’ 42’’ O y una altitud promedio de 1900 m. El clima en la región es templado húmedo con abundantes lluvias en verano, temperatura promedio anual de 15.6 °C y una precipitación promedio anual de 1435 mm.
Las parcelas cubrieron las condiciones de crecimiento, como edad (de 1 a 8 años), densidad y calidad de sitio. La información dasométrica obtenida de los sitios fue altura dominante (HD en m) de 10 árboles dominantes y codominantes, con la finalidad de optimizar la proporcionalidad y equivalencia de muestrear en promedio 100 árboles ha-1 (Alder, 1980); diámetro normal con corteza de todos los árboles (Dn en cm) y número de árboles vivos dentro de los sitios (NA). Las alturas medidas se asumieron como una submuestra de la población y se usaron para estimar la altura total de cada árbol mediante un modelo de altura en función del diámetro normal (Dn). Las funciones ajustadas fueron el modelo Schumacher (1) y el modelo de Chapman-Richards de dos parámetros o modelo mono-molecular (2).
donde H es la altura total del árbol en m, Dn es el diámetro expresado en cm, αi son los parámetros a estimar.
Para obtener el volumen del arbolado se utilizó la ecuación de volumen para fuste total con corteza generada para esta especie, que proviene de datos de análisis troncales de 31 árboles, la ecuación tiene tres parámetros específicos y la siguiente estructura:
donde V es el volumen con corteza en m3, lo demás ya fue definido.
Con lo anterior se estimaron las variables de estado para caracterizar las condiciones de crecimiento por hectárea: altura promedio de los árboles dominantes (HD en m), área basal (AB en m2), número de árboles vivos (NA) y volumen total (V en m3).
El SCRM se formuló con ecuaciones de predicción y de proyección, para las variables de estado de la plantación. El primer paso para generar el SCRM fue ajustar los modelos de HD, el modelo que definió la familia de curvas de índice de sitio (IS, es la altura dominante del rodal a una edad base de referencia) tuvo la estructura
Cuadro 1 Estructuras de los modelos de altura dominante ajustados con diferencia algebraica.

HD2 y HD1: altura dominante a la edad E2 y E1, ln: logaritmo natural, e : función exponencial y αi: parámetros a estimar
La hipótesis de las curvas anamórficas es que las tasas de crecimiento entre sitios son constantes pero su potencialidad máxima (asíntota) varía. Por el contrario, la hipótesis de las curvas polimórficas se basa en que la tasa de crecimiento es variable en todos los sitios, pero la potencialidad máxima es común (asíntotas constantes) (Bailey y Clutter, 1974).
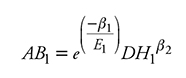
El paso siguiente fue ajustar los modelos de predicción y proyección en área basal, variable de importancia vital por su correlación alta con el volumen total, el cual mide de manera directa la densidad del rodal y permite evaluar el efecto de las prácticas silvícolas como los aclareos, los cuales pueden ser a nivel poblacional y en árboles individuales (Santiago et al., 2013). Los modelos ajustados fueron los desarrollados por Torres y Magaña (2001), para el modelo de predicción (4) y proyección (5):
donde AB1 es el área basal en m2 ha-1 a la edad E1 AB2 es el área basal futura a la E2, ßi son los parámetros a estimar, lo demás ya fue definido.
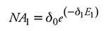
La mortalidad mediante la cual se determina el número de árboles NA, es la variable más complicada de modelar en el SCRM porque son funciones de riesgo, pero se modelan como variables continuas (De los Santos et al., 2006). Los modelos de mortalidad se derivan de tasas de cambio en el número de individuos y el supuesto de ellos es que la tasa de cambio en el número de individuos a través del tiempo es constante. Para evaluar el NA se ajustaron modelos con estructura exponencial, propuestos por Torres y Magaña (2001), para el modelo de predicción (6) y proyección (7):
donde NA1 es el número de árboles por hectárea en la edad inicial E1 NA2 es el número de árboles a la edad de proyección E2 δ1 es el parámetro a ser estimado.
Para predecir el rendimiento en volumen de las plantaciones a nivel de rodal se usaron los modelos de volumen propuestos por Tamarit et al. (2013) y el más apropiado incluyó las variables área basal, altura dominante, edad y número de árboles, para el modelo de predicción (8) y proyección (9):
donde V 1 es el volumen en m3 ha-1 a la edad inicial E1 V2 es el volumen por hectárea a la edad de proyección E2 ϒ1 parámetros a estimar del modelo; lo demás ya fue definido.
Con las variables que incluyen los modelos ajustados se calculó el volumen maderable de las plantaciones. Todos los elementos del SCRM se ajustaron simultáneamente mediante la técnica de regresión aparentemente no correlacionada (SUR) utilizando SAS/ETS® (SAS Institute Inc., 2008). Esta técnica permitió una mejor ganancia en la estimación de parámetros porque los componentes del error se correlacionaron en el sistema de ecuaciones (Rose y Lynch, 2001); además, permitió la compatibilidad total entre el modelo de estimación promedio (predicción) y el de proyección, de forma que los parámetros estimados adquirieron los mismos valores con el criterio de minimización de cuadrados de los residuos (Galán et al., 2008).
Los criterios estadísticos de bondad de ajuste considerados al ajustar los modelos en HD fueron suma de cuadrados del error (SCE), cuadrado medio del error (CME), y coeficiente de determinación ajustado por el número de parámetros (R2Adj).
Resultados y Discusión
Mediante el mejor modelo de diámetro-altura ajustado se estimaron las alturas de los árboles restantes del sitio, lo cual permitió estimar el volumen puntual por árbol para construir el SCRM. Los resultados del ajuste indican que los dos modelos son buenos candidatos para realizar las estimaciones (Cuadro 2).
Cuadro 2 Estadísticos obtenidos, parámetros estimados y significancia de los modelos de altura en función del diámetro normal.

SCE: suma de cuadrados del error, CME: cuadrado medio del error, R2Adj: coeficiente de determinación ajustado por el número de parámetros; E.E: Error Estándar.
Los resultados muestran poca diferencia en el ajuste de los modelos. El modelo de Chapman Richards de dos parámetros presentó una ligera superioridad en los estadísticos de ajuste, por lo que se consideró el mejor modelo. Ambas ecuaciones generaron una asíntota cercana a 18 m.
Para los modelos de crecimiento en altura dominante, los criterios estadísticos de bondad de ajuste del sistema de ecuaciones explicaron 88.2 % en predicción y 94.9 % en proyección de la variación total observada en HD (Cuadro 3).
Cuadro 3 Estadísticos obtenidos de los modelos ajustados en diferencia algebraica para altura dominante en función de la edad.
Los valores de los estadísticos fueron similares en SCE, y CME y, además, los errores estándar fueron reducidos. Esto contrasta con los resultados de un estudio realizado por Rodríguez et al. (2005) en rodales coetáneos de P. chiapensis en los estados de Veracruz y Puebla, en el cual hicieron ajustes al usar el método de diferencia algebraica con datos provenientes de análisis troncales.; los modelos ajustados explicaron 65.8 % a 98.3 % de la variación para la HD.
Pinus chiapensis es una especie de crecimiento rápido; por tanto, la tendencia del conjunto de datos presenta una forma sigmoide más vertical que otras especies y alcanza su máximo desarrollo en una edad más temprana (Rodríguez et al., 2005). En la medida en que la diferencia de edad es más pequeña, las curvas de crecimiento son más eficientes y esto solo indica que si el intervalo de predicción de índices de sitio es pequeño, son más importantes los cambios en la forma que en la tendencia general de la curva y viceversa. Cuando el intervalo es grande, la tendencia general de la curva tiene una importancia mayor (Torres, 2001). En nuestro estudio, los parámetros estimados de los modelos de HD fueron significativos (Cuadro 4).
Cuadro 4 Parámetros estimados, error estándar y significancia de los modelos ajustados en diferencia algebraica para altura dominante en función de la edad.
El análisis estadístico mostró que el modelo polimórfico de Hossfeld IV fue el más apropiado porque, además de presentar un R2Adj alto en las ecuaciones de predicción y proyección, generó valores bajos en la SCE. En la estimación de los parámetros resalta la asíntota máxima en altura estimada en 33 m, la cual es similar a las asíntotas de 31.53 m a 37.03 m identificadas por Rodríguez y Arteaga (2005). Esto concuerda con el estudio realizado con la misma especie en el Rincón, Oaxaca, y en rodales de masas puras la relación asintótica entre la altura y la edad, en la cual se observe un crecimiento inicial rápido, ocurre durante los primeros 30 años (Sánchez y Del Castillo, 2001).
Con base en lo anterior y con la evaluación gráfica de su comportamiento respecto a la trayectoria de los datos, se eligió el modelo de Hossfeld IV para la construcción de curvas de crecimiento en altura dominante (Figura 1).

Figura 1 Comportamiento de las curvas polimórficas de índice de sitio (IS) para P. chiapensis a la edad base de 8 años sobrepuestas a los datos observados de altura dominante.
Si se compara el crecimiento en altura dominante de estas plantaciones con el de bosques naturales de la misma especie, es evidente que las plantaciones tienen un mejor IS porque se aplican tratamientos silvicultares como podas, dehierbes y aclareos lijeros. En este caso el índice promedio proyectado alcanza una altura de 19 m a los 12 años. En el estudio realizado por Rodríguez y Arteaga (2005), a los 12 años el arbolado no alcanzó una altura de 10 m.
Santiago et al. (2013) ajustaron curvas de índice de sitio implementando el modelo de Hossfeld IV en la forma anamórfica en rodales coetáneos de Pinus patula Schl. et Cham. Ellos encontraron que las de crecimiento más apropiadas son constantes y con asíntotas variables. Por el contrario, en nuestro estudio, las familias de curvas polimórficas son las más adecuadas para describir el patrón de crecimiento de la plantación (Bailey y Clutter, 1974). Las proyecciones de las curvas muestran que los árboles seguirán creciendo al trancurrir el tiempo, porque todavía no se observa el cambio de cóncavas a convexas. Para las variables que representan la densidad y el volumen, el ajuste y los parámetros estimados muestran una precisión alta que explica 80.9 % en la predicción promedio y el 99.9 % de la variación en proyección (Cuadro 5).
Cuadro 5 Estadísticos de bondad de ajuste obtenidos de los modelos ajustados en diferencia algebraica para área basal, mortalidad y volumen.
La significancia alta de los parámetros (<0.001) y los errores estándar con valor bajo denotan la robustez y confiabilidad de los modelos de crecimiento propuestos (Cuadro 6).
Cuadro 6 Parámetros estimados, error estándar y significancia de los modelos de predicción y proyección en área basal, mortalidad y volumen.
El NA permite simular regímenes silviculturales para distintos IS. Sin embargo, si hay una falta de ajuste para predecir el número de árboles, tiene que ver con las edades jóvenes de la plantación porque a edades tempranas la mortalidad es poca. Al hacer el ajuste de forma simultánea, el modelo de proyección en NA da una estimación que explica 97.5 % de la variabilidad de ésta, con una estimación de mortalidad de 1.7 % anual.
Estos modelos concuerdan con el reportado por Magaña et al. (2008), quienes presentaron una función de mortalidad para Pinus rudis Endl, en la cual la tasa de mortalidad proporcional depende de la edad y el índice de sitio. Para hacer pronósticos de rendimiento se debe definir un valor asintótico mínimo porque el modelo de mortalidad calcula obtener cero árboles ha-1, pero en un bosque manejado es difícil que esto ocurra (De los Santos et al., 2006). Los valores estimados de las variables de estado del rodal a un instante futuro, a partir de un estado inicial deben ser iguales, independiente del número de pasos usados en su predicción (Diéguez et al., 2005).
Las ecuaciones de volumen (modelos 8 y 9) incorporan las variables explicativas AB, HD, edad y NA. Similarmente, estas variables se usaron para modelar el rendimiento maderable de: Pinus arizonica Engl. (Zepeda y Domínguez, 1998), P. rudis Endl. (De la Fuente et al., 1998; Magaña et al., 2008), P. patula Schiede (Valdez y Lynch, 2000), P. montezumae Lamb. (Zepeda y Acosta, 2000), Cedrela odorata L. y Tabebuia donnell-smithii Rose (Galán et al., 2008).
El SCRM permite representar en términos cuantificables la vida de un rodal a través de una tabla de rendimiento generada para la especie, la cual muestra diferencias en las variables de interés a medida que varía su edad (De los Santos et al., 2006). Los Cuadros 7 y 8 presentan una tabla de rendimiento para los rodales de P. chiapensis en los IS de 10, 14 y 18 m de HD a una edad base de 8 años. La tabla de rendimiento muestra el crecimiento esperado en las variables de interés para cada calidad de sitio, y permite distinguir varios niveles de ICA e IMA en volumen, y con ello definir la edad a la que ocurre el turno absoluto ICA=IMA.
Cuadro 7 Predicción del crecimiento y rendimiento maderable para IS de 10 y 14 m, con una densidad inicial de 1200 árboles ha-1.

NA: número de árboles por hectárea; HD: altura dominante en m; IS: índice de sitio en m; AB: área basal en m2 ha-1; V: volumen en m3 ha-1; ICA: incremento corriente anual en m3 ha-1 año-1; IMA: incremento medio anual en m3 ha-1 año-1
Cuadro 8 Predicción del crecimiento y rendimiento maderable para IS de 18 m, con una densidad inicial de 1200 árboles ha-1.
La plantación es joven y se encuentra en etapa de crecimiento. Las labores que se realicen, como podas, chapeos y aclareos ayudarán en gran parte a seguir estimulando el crecimiento de la misma.
Debido a que el modelo de HD seleccionado es de tipo polimórfico, las tasas de crecimiento son variables en los tres índices de sitio (Figura 2).

Figura 2 Curvas del incremento medio anual (IMA) e incremento corriente anual ICA) por índice de sitio, a una edad base de 8 años.
El potencial productivo de los sitios es evidente, la plantación es joven y se esperan turnos absolutos en tiempos cortos; éste es variable, depende de la calidad del sitio y en los más productivos el turno ocurre a menor edad. Por el contrario, en los sitios menos productivos, el turno tardará más tiempo en suceder. El hecho de que en los sitios de productividad promedio el turno técnico en volumen se estime cercano a 20 años, sugiere que la aplicación de tratamientos silvícolas intensivos como limpias, fertilización y aclareos fuertes, se realice antes de dicha edad para promover el crecimiento de una masa de alto valor económico en el menor tiempo posible.
Conclusiones
El SCRM desarrollado permite simular escenarios silvícolas para el manejo de rodales de Pinus chiapensis, y se puede utilizar en la toma de decisiones para la planeación de su manejo.
Con el SCRM se obtienen predicciones y proyecciones precisas de las variables de interés del rodal. Sin embargo, para validar los estudios a largo plazo es conveniente dar seguimiento a los sitios de medición establecidos, por lo cual los resultados presentados no deben extrapolarse más allá de 20 años.
El sistema sugiere la aplicación de aclareos fuertes antes de los 20 años para promover el crecimiento de una masa de alto valor económico en el menor tiempo posible y así acortar el turno absoluto.










texto en 











