Servicios Personalizados
Revista
Articulo
Indicadores
-
Citado por SciELO -
Accesos
Links relacionados
-
Similares en
SciELO
Compartir
Agrociencia
versión On-line ISSN 2521-9766versión impresa ISSN 1405-3195
Agrociencia vol.49 no.7 Texcoco oct./nov. 2015
Recursos naturales renovables
Volumen total y ahusamiento para Pinus patula Schiede ex Schltdl. et Cham. en tres condiciones de bosque
Total volume and taper for Pinus patula Schiede ex Schltdl. et Cham. at three forest conditions
Luisa P. Uranga-Valencia1, Héctor M. De los Santos-Posadas1*, José R. Valdez-Lazalde1, Javier López-Upton1, Hermilio Navarro-Garza2
1 Forestal.
2 Desarrollo Rural. Campus Montecillo. Colegio de Postgraduados. 56230. Montecillo, Estado de México. (lupaurval@hotmail.com), * Autor responsable. (hmsantos@colpos.mx).
Recibido: mayo, 2014.
Aprobado: abril, 2015.
Resumen
El objetivo de este estudio fue estimar el volumen total y comercial en pie de plantaciones de Pinus patula en Zacualpan, Veracruz, y comparar el ahusamiento-volumen con dos poblaciones de P. patula procedentes de bosques naturales, en Zacualtipán, Hidalgo e Ixtlán, Oaxaca. Los datos obtenidos se ajustaron al modelo de Fang, el cual estima el ahusamiento, volumen y permite analizar los tipos dendrométricos. Los resultados del análisis indican un factor de forma de los árboles diferente para cada condición de bosque analizada: 0.50 para árboles creciendo en el sistema de plantación, 0.46 para árboles creciendo en bosque natural bajo manejo intensivo (Zacualtipán), y 0.44 para árboles de bosque natural creciendo en condiciones de manejo extensivo (Ixtlán). La forma del árbol varía según la silvicultura aplicada y se sugiere que árboles relativamente pequeños (menores de 25 cm de diámetro) y jóvenes creciendo en plantaciones con poda, concentran una mayor cantidad de volumen en el fuste y se debería considerar sólo un punto de inflexión sobre el fuste.
Palabras clave: Factor de forma, modelo segmentado, régimen silvícola.
Abstract
The objective of this study was to estimate the total and merchantable standing volume of Pinus patula plantations in Zacualpan, Veracruz, and compare the taper-volume with two natural forests populations of P. patula, in Zacualtipán, Hidalgo and Ixtlán, Oaxaca. The datasets were fitted to the model of Fang, which estimate taper, volume and allows to analyze their dendrometric types. The results show a different shape factor in the trees form each analyzed forest condition: 0.50 for trees growing in the plantation system, 0.46 for trees growing in natural forest under intensive management (Zacualtipán), and 0.44 for natural forest trees growing under extensive management (Ixtlán) conditions. That tree shape varies according to the forest management applied and it suggests that relatively small (less than 25 cm in diameter) and young trees growing in plantations with pruning, concentrate a higher volume in the bole. Only one inflection point on the bole should be considered.
Key words: Shape factor, segmented model, forest regime.
INTRODUCCIÓN
Un propósito principal de la silvicultura es controlar el establecimiento, el crecimiento y la composición de un bosque para lograr objetivos predefinidos (Larsen, 1995). Una aplicación correcta de los tratamientos silviculturales puede incluso mejorar la calidad de los bienes y servicios producidos por los bosques (Finegan et al, 1999).
En particular, la manipulación silvícola de una masa forestal puede modificar de manera proporcional la forma de los árboles (factor de forma del fuste), modificando con ello la cantidad y la calidad de los productos maderables. Dicho de otra manera, las prácticas silvícolas tienen un efecto en la calidad de madera y su volumen. Harold y Hocker (1984) reportan que la especie, las condiciones de densidad del rodal y los tratamientos silvícolas tienen relación directa con la proporción de copa viva y, por tanto, con la forma del fuste. Los árboles de especies que presenten poda natural (autopoda) temprana o que son podados a edad temprana tenderán a ser más cilíndricos, porque al caer las ramas muertas se estimula el crecimiento radial; es decir, árboles que crecen bajo espesura tienen fustes más cilíndricos que aquellos que viven aislados, lo cual es una característica favorable y contribuye a producir mayor volumen aprovechable por árbol. Además la aplicación de aclareos, dejando espaciamientos homogéneos, favorece el crecimiento simétrico y equilibrado de las copas de los árboles remanentes, lo cual, en combinación con la aplicación de podas, repercute en forma positiva para producir árboles más cilíndricos. De ahí la importancia de aplicar actividades silvícolas apropiadas, prestando atención a los aspectos ya mencionados: la densidad, las podas, y los aclareos, para obtener árboles de mayor calidad y con mayor volumen, tanto en bosques naturales, como en plantaciones forestales comerciales. Por lo tanto, el objetivo de este estudio fue estimar el volumen total y comercial en pie de plantaciones de Pinus patula localizadas en Zacualpan, Veracruz, y comparar el ahusamiento-volumen con dos poblaciones de P. patula procedentes de bosques naturales, localizadas en Zacualtipán, Hidalgo, y en el Ejido El Carrizal municipio de San Pedro Yolox, distrito de Ixtlán de Juárez, Oaxaca; y además analizar cómo influyen los sistemas silvícolas utilizados en el factor de forma del árbol para las tres poblaciones.
MATERIALES Y MÉTODOS
En este estudio se ajustaron funciones de volumen y ahusamiento de tipo segmentadas (Fang et al., 2000). Este tipo de ecuaciones son una opción para cuantificar de manera confiable y a bajo costo la cantidad, calidad y tipo de productos a obtener antes, durante y después de la industrialización de los productos maderables (Kurinobu et al., 2007).
Área de estudio y datos dasométricos
Los datos para el análisis se obtuvieron de tres localidades: 1) Ejido El Carrizal municipio San Pedro Yolox, distrito de Ixtlán de Juárez, Oaxaca, localizado entre 17° 18' 16" y 17° 34' 00" N, y 96° 31' 38" y 96° 20' 00" O, con una superficie forestal de 544.84 ha. (CONAFOR, 2007), con árboles de alturas de 10 a 37 m. En este sitio el aprovechamiento forestal se realiza de forma extensiva, desde 1970-1975, inicialmente por la empresa Fapatux. 2) Ejido Atopixco, municipio de Zacualtipán, Hidalgo, ubicado entre 20° 37' 26" N y 20° 35' 20" N y 98° 37' 48" y 98° 35' 23" O (Cruz et al., 2010) con una superficie de 1171 ha. En las tres décadas recientes la masa forestal de este sitio es manejada bajo los lineamientos del Método de Desarrollo Silvícola (MDS). Un sistema silvícola regular se implementó, regenerando la masa mediante el sistema silvícola de árboles padres. Los rodales se caracterizan por ser monoespecíficos (puros), coetáneos, de coberturas y edades variables a lo largo del paisaje, con alturas de 10 a 31 m. (Hernández et al., 2013). 3) Sitio Zacualpan, Veracruz, ubicado entre 20° 24' y 20° 37' N y 98° 21' y 98° 27' O. (INEGI, 2009), con una superficie de 3000 ha plantadas con edad de 4 a 12 años. Las plantaciones se establecieron con un espaciamiento entre árboles de 3 por 3 m. La única actividad silvícola aplicada a las plantaciones son podas desde los 2 años de edad y hasta que los árboles alcanzan 3 m de altura; no se realizan aclareos. La altura de los árboles varía de 2.8 m a 21 m (20 años de edad).
La muestra total fue de 239 árboles obtenidos de la siguiente manera: 91 en el Ejido El Carrizal, San Pedro Yolox, Ixtlán (Base 1) y no se tomaron las edades de estos árboles; 78 de Zacualtipán (Base 2, considerados datos de referencia); y 70 árboles de Zacualpan (Base 3), los cuales se seleccionaron con la técnica de Torres y Magaña (2001): para mejorar el intervalo de aplicación de los modelos es necesario captar toda la variabilidad de tamaños y formas posibles del arbolado en una región determinada para representar todas las calidades de estación de las áreas de estudio, así como también la distribución de los árboles, en términos de clases de diámetro y altura (Figura 1). Para el análisis troncal se midieron las siguientes variables: diámetro normal con corteza (Dn, en cm), altura total (H, en m), sección (i), diámetro por sección (di, en cm), altura por sección (Hi, en m), además del grosor de la corteza correspondiente (en cm). Las mediciones de cada sección se hicieron desde el tocón y a cada metro. Para la cubicación se usó el método de trozas traslapadas que permite obtener volúmenes totales y parciales más precisos sin considerar el volumen del tocón (V, m3) (Bailey, 1995; Cruz et al., 2008).
Los datos de las tres bases generaron 3834 pares de valores de diámetro (di ), altura sobre el fuste (Hi) distribuidos a lo largo del tronco y (V) volumen de la troza. El Cuadro 1 muestra un resumen de las estadísticas descriptivas de los árboles utilizados en el análisis.
La Figura 2 muestra una gráfica de dispersión que describe cuantos árboles de cada edad hay en las regiones de Zacualtipán, Hidalgo y Zacualpan, Veracruz.

Factor de forma del fuste por tipo de bosque
El factor de forma del fuste promedio se obtiene de manera fácil al dividir el volumen cubicado (volumen real) de ese fuste entre el valor de volumen correspondiente a un cilindro (volumen aparente) de diámetro normal (Dn) y altura total (H) iguales a las del fuste promedio (árbol). En el análisis de varianza realizado se consideró al árbol como una unidad experimental y a las condiciones de manejo como los tratamientos, para obtener una partición de medias que demuestre si el factor de forma del fuste difiere entre tipos de bosque.
Ecuaciones de ahusamiento-volumen
Después de probar varios sistemas compatibles de ahusamiento y volumen de tipo segmentado, se optó por usar tres: 1)
El modelo de Fang et al. (2000) que permite analizar los tipos dendrométricos; 2) la teoría de Zhang et al. (2002), la cual establece que para rodales intensamente cultivados solo es necesario estimar un punto de inflexión; y 3) el sistema de Parresol et al. (1987), el cual es flexible y predice el volumen y la conicidad del árbol basado en diámetros normales (Cuadro 2).
Ajuste de los modelos
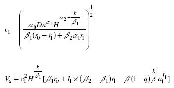
El ajuste de los sistemas compatibles de ecuaciones ahusamiento-volumen se realizó con la técnica de máxima verosimilitud con información completa (FIML), siendo adecuada para un ajuste simultáneo (SAS Institute Inc., 2008). Para la regresión, el procedimiento asume que el error es independiente y que se distribuye de manera normal con varianza y media igual a cero (Gujarati, 2004). Para evitar inconvenientes en la estimación de los parámetros, en especial cuando Hi = H, es decir, di = 0, se aplicó un valor pequeño en este punto (delta=0.00001), junto con una variable indicadora en la punta del árbol para evitar que se evaluara en cero las derivadas parciales de los parámetros que contienen el logaritmo de cero, lo cual produce datos perdidos y problemas de convergencia; este enfoque lo usaron Fang et al. (2000) para utilizar todos los datos.
Las estimaciones de los modelos ajustados se compararon mediante un análisis numérico y un análisis gráfico de los residuales. En el caso numérico se usaron tres estadísticos comunes en biometría (Castedo y Álvarez, 2000; Diéguez et al., 2003; Corral et al., 2007): el coeficiente de determinación ajustado por el número de parámetros (R2adj), la raíz del error medio cuadrático (REMC) y el coeficiente de variación (CV). El análisis gráfico consistió en comparar los residuales contra los valores predichos de la variable dependiente, con el fin de detectar tendencias inusuales de los datos, y con base en ello determinar si los ajustes a los datos fueron adecuados.

Análisis de los tipos dendrométricos a partir del modelo de Fang et al. (2000)
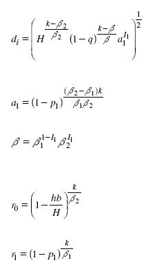
El sistema de cubicación de Fang et al. (2000) permite analizar los diferentes tipos dendrométricos representados en cada segmento del fuste, con el siguiente criterio geométrico: se parte de un cuerpo geométrico con una base circular, cuyo valor está dado por di, en cm, y cuya altura está definida por h, en m, para describir su volumen con la siguiente estructura genérica:

En este caso, el valor de k define el tipo de cuerpo que se describen; es decir, cuando k=1/2, se tiene un paraboloide, cuando k=1/3 es un cono y cuando k=1/4 se tiene un neiloide. De esta forma, en los parámetros βi del modelo de Fang et al. (2000), la aproximación al valor de k es fácilmente obtenible, ya que en cada segmento
y en consecuencia,
. Estos valores son siempre volúmenes en transición hacia alguna de las formas descriptivas y se espera que valores de k mayores a 0.4 tiendan a describir el volumen de la sección más como un paraboloide que como un cono. De igual manera, valores de k mayores de 0.5 indican un estado de transición de paraboloide a cilindro. Este análisis se aplica también a modelos derivados del modelo de la variable combinada para estimación de volumen total.
RESULTADOS Y DISCUSIÓN
Medias de los factores de forma
Una prueba de Tukey fue usada para observar las medias del factor de forma del fuste para los árboles de cada región (Ixtlán, Zacualtipán, y Zacualpan) y probar, mediante una prueba estadística, si existen diferencias entre ellas, relacionándolas también con el factor de forma y volumen que estos valores representan (Cuadro 3).

La forma descriptiva de los cuerpos geométricos correspondiente a los árboles de las regiones de Oaxaca e Hidalgo son similares, con una forma de paraboloide (Cuadro 3); en la región de Veracruz los fustes tienen forma de paraboloide tendiendo a cilíndrica, según la clasificación del factor de forma (k). Esto, en parte, podría deberse al hecho que lo árboles en esta región son más jóvenes y han sido sometidos a podas frecuentes, lo cual provoca que en la punta del fuste contengan mayor volumen.
Ajuste por tipo de bosque con el modelo segmentado
Los resultados fueron obtenidos para el modelo de Fang et al. (2000) ajustado para cada una de las bases. Dicho ajuste se realizó bajo estimación simultánea, a partir de máxima verosimilitud con información completa (FIML), técnica que optimiza la predicción de los parámetros de ahusamiento y volumen y minimiza los errores de manera conjunta (Borders, 1989; Fang et al, 2000) (Cuadro 4).
Los puntos de inflexión (p1 y p2) ocurren a diferentes alturas del fuste en las tres regiones (Cuadro 4). Para el bosque natural bajo manejo extensivo (BN), el primer punto de inflexión se presenta casi al ras del tocón o en la base del árbol, ocurriendo a 0.06 % de la altura total del fuste. El segundo punto de inflexión ocurre a 19.15 % de la altura total de tronco. En bosque manejado (BM) los puntos de inflexión ocurren a 1.36 % y a 96.52 % de la altura del tronco, respectivamente. Por último, en plantaciones forestales comerciales (PFC) el primer punto de inflexión ocurre a 8.41 %, y el segundo a 92.82 % de la altura total del fuste. Por lo anterior, los árboles del BN tienen una forma geométrica cercana al neiloide en 19 % de su altura total (k2=0.242); dicha forma geométrica proviene del valor β2 del Cuadro 4 (revisar la sección Análisis de los tipos dendrométricos, con el modelo de Fang et al., 2000), donde
, el resto del fuste tiende a un paraboloide (k3=0.446), mientras que el factor de forma de la sección media del fuste en el BM (k2=0.471) sugiere una figura geométrica cercana a un paraboloide perfecto. Los árboles de las PFC analizadas presentaron una factor de forma k2=0.369, lo cual sugiere una forma de fuste parecida a un cono. En los casos de las puntas para BM y PFC, ambas tienden a ser cilíndricas, aunque representan una porción pequeña del fuste. Evidentemente, los árboles de BM tienden a ser más cilíndricos debido a que tienen un mejor manejo de la densidad y una silvicultura más intensiva. Los datos recolectados en las PFC son de edades relativamente pequeñas y, a pesar de tener un factor de forma total mayor respecto a los datos de BN y BM, como sugieren los resultados previos, la forma de la sección media indica que en realidad son bastante cónicos. La forma final de los fustes de estos árboles todavía no se ha manifestado. Por tanto, es necesario ampliar la muestra considerando árboles de edades mayores (cuando estén disponibles), a fin de aproximar de mejor manera el potencial de las PFC.
Al tomar en cuenta que los puntos de inflexión son en promedio parecidos entre la zona de Zacualpan, Veracruz, y Zacualtipán, Hidalgo, se esperaría que los rendimientos maderables fueran semejantes en ambas zonas. En Zacualtipán se realiza manejo intensivo en sus bosques y son árboles de edades más grandes; en Zacualpan son árboles pequeños de edades pequeñas y hasta el año 2012 empezaron a realizar podas en algunas de las plantaciones. Según esto, a edades similares y usando prácticas silvícolas como el control de densidad, podas y aclareos, se podría alcanzar rendimientos semejantes a los de Zacualtipán.
Para realizar comparaciones estadísticas se decidió comparar sólo las bases de datos del BM y de la PFC, debido a la similitud de sus factores de forma y a que ambas condiciones cuentan con un régimen silvícola explícito. Ambas bases se ajustaron de manera simultánea mediante el modelo de Fang et al. (2000) con el propósito de detectar si las diferencias entre los parámetros del modelo son estadísticamente diferentes entre regiones. Se partió de un ajuste general que sugiere que para ambas bases sólo existe un punto de inflexión que debería considerarse (Cuadro 5).
Es interesante notar que cuando se combinan ambas bases, la sección de fuste por arriba del p2, (la punta) se asemeja a un paraboloide (k2=0.484). Para analizar la teoría de Zhang et al. (2002), la cual establece que en rodales intensamente cultivados es suficiente asumir un punto único de inflexión para modelar el ahusamiento, se adaptó el modelo de Fang et al. (2000) para detectar el punto de inflexión y en consecuencia sólo dos segmentos en el fuste. Para ello se definió el modelo siguiente:

donde I1=1 si p1 ≤ q ≤ 1 ; de lo contrario 0

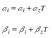
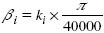
Rescribiendo los parámetros αi y βi, para diferenciar entre regiones, se tiene:

donde T es una variable indicadora igual a 1 para la base PFC, y 0 de otra forma.
El ajuste del modelo de Fang et al. (2000) con un punto de inflexión se presenta en el Cuadro 6. Sólo se presentan los parámetros que fueron estadísticamente diferentes de cero.
A partir de modelos que explícitamente usan un único punto de inflexión, como el modelo de Zhang et al. (2002) (Cuadro 7) se observa que el punto de inflexión ocurre casi a la misma altura (8.48%, vs. 11.98 %). Para el modelo de Parresol et al. (1987) no se logró ajustar de manera adecuada a los datos y no se consiguió el ajuste simultáneo para ambos modelos de ahusamiento-volumen.
Una manera de mejorar la interpretación de las propiedades estadísticas del modelo es corrigiendo por autocorrelación y heterocedasticidad (Pompa et al., 2009). En nuestro estudio se decidió realizar tales correcciones, y se encontró que el ajuste de los parámetros con presencia de autocorrelación de manera práctica no difiere grandemente respecto a la predicción del ahusamiento y el volumen comercial. Diéguez et al. (2006) corrigen este problema con el uso de una estructura autoregresiva de segundo orden, y muestran que los valores absolutos de los parámetros no difieren de manera notable al ajuste sin corrección por autocorrelación. A pesar de lo anterior, se intentó corregir el modelo de Fang et al. (2000) en un segundo orden, pero se perdió ajuste. El modelo de Zhang et al. (2002) también perdió ajuste al intentar corregir la autocorrelación y sólo se corrigió la heterocedasticidad, sin mayor relevancia en los valores del ajuste.
Con base en los resultados discutidos, el modelo de Parresol et al. (1987) no ajustó significativamente a los datos, por lo cual se descartó de análisis posteriores. El sistema segmentado de Fang et al. (2000) tiene una importante ventaja comparativa con respecto al sistema de Zhang et al. (2002): es consistente en la estimación de volumen comercial y ahusamiento a lo largo del fuste de cada árbol, además de presentar alta significancia en los valores estimados. Además, es un modelo más flexible comparado con el de Zhang et al. (2002). Aunque los modelos de Fang et al. (2000) y Zhang et al. (2002) ajustaron bien a los datos, el modelo de Fang et al. (2000) ajustó mejor porque los datos de las PFC son de edades pequeñas y, por tanto, no muestran todo su potencial de crecimiento; además este modelo permite analizar los tipos dendrométricos. Lo anterior sugiere que para llegar a resultados más concluyentes es necesario actualizar la base de datos obtenida y se debe incluir árboles de mayor edad y talla.
CONCLUSIONES
Los modelos de Fang et al. (2000) y Zhang et al. (2002) se ajustaron a los datos con alta significancia estadística; esto sugiere su uso para estimar el ahusamiento y volumen de árboles de pino patula en las tres condiciones de bosque analizadas. En promedio, a 10 % de la altura total del árbol ocurre el punto de inflexión. El modelo de Fang et al. (2000) es un modelo más flexible y se puede analizar uno o dos puntos de inflexión, además de los tipos dendrométricos y comprobar la hipótesis de Zhang et al. (2002) de que para rodales manejados intensamente bastará estimar un solo punto de inflexión. Con el modelo de Fang et al. (2000) se comprobó que el primer punto de inflexión es casi imperceptible porque se da prácticamente al nivel del tocón.
La ubicación del punto de inflexión sobre el fuste es importante, ya que varía de rodales intensamente cultivados a bosques sin manejo. Además de que los puntos de inflexión están relacionados con la calidad de madera a obtener (trozas de primera calidad, mejor pagadas) y esta a su vez con la silvicultura; ya que si se controla la densidad, se realizan podas y se llevan a cabo aclareos, el producto final será un árbol más cilíndrico con mayor volumen.
AGRADECIMIENTOS
Al Dr. Gildardo Cruz de León profesor titular de la Facultad de Ingeniería en Tecnología de la Madera (FITECMA) de la Universidad Michoacana de San Nicolás de Hidalgo, por su participación en la revisión y evaluación del presente trabajo. Se agradece a los miembros de la Cooperativa Integradora Forestal de Zacualpan, Veracruz (CIFZA), por haber hecho posible el llevar a cabo este estudio y por las atenciones prestadas durante estos años (2010-2013). Al Fideicomiso revocable de Administración e Inversión No. 167304 para el establecimiento y operación de los fondos para la investigación científica y desarrollo tecnológico del centro público de investigación del Colegio de Postgraduados, por los recursos aportados para la realización de este trabajo, y al Consejo Nacional de Ciencias y Tecnología (CONACyT), por haber financiado mis estudios del doctorado.
LITERATURA CITADA
Bailey, R. L. 1995. Upper-stem volumes from stem-analysis data: An overlapping bolts method. Can. J. For. Res. 25: 170-173. [ Links ]
Borders, B. E. 1989. Systems of equations in forest stand modeling. For. Sci 35: 548-556. [ Links ]
Castedo, F. y G. Álvarez J. 2000. Construcción de una tarifa de cubicación con clasificación de productos para Pinus radiata D. Don, en Galicia basado, en una función de perfil del tronco. Invest. Agrar.: Recur. For. 9: 253- 268. [ Links ]
Comisión Forestal Nacional (CONAFOR). 2007. Estudio regional forestal para el fortalecimiento de las unidades de manejo forestal en la sierra norte de Oaxaca. Fondo CONAFOR-CONACyT, proyecto No. 41808. Conv. 2006-II. [ Links ]
Corral-Rivas, J. J., M. Bario A., A. O. Aguirre C., and U. Diéguez A. 2007. Use of stump diameter to estimate diameter at breast height and tree volume for major pine species in El Salto, Durango (México). Forestry 80: 29-40. [ Links ]
Cruz-Cobos, F., H. M. De los Santos P., y J. R. Valdez L. 2008. Sistema compatible de ahusamiento-volumen para Pinus cooperi Blanco en Durango, México. Agrociencia 42: 473-485. [ Links ]
Cruz-Leyva, I. A., J. R. Valdez L., G. Angeles P. y H. M. de los Santos P. 2010. Modelación espacial de área basal y volumen de madera en bosques manejados de Pinus patula y P. teocote en el ejido Atopixco, Hidalgo. Madera y Bosques 16: 75-97. [ Links ]
Diéguez A, U., F. Castedo D., J. G. Alvarez G., y Rojo A. 2006. Compatible taper function for Scots pine plantations in northwestern Spain. Can. J. For. Res. 36: 1190-1205. [ Links ]
Diéguez A., U., M. Barrio A., F. Castedo D., y M. Balboa M. 2003. Estimación del diámetro normal y del volumen del tronco a partir de las dimensiones del tocón para seis especies forestales comerciales de Galicia. Invest. Agrar.: Recur. For. 12: 131-139. [ Links ]
Fang, Z., B. E. Bordes, and R. L. Bailey. 2000. Compatible volume-taper models for Loblolly and Slash Pine Based on a System with Segmented-Stem Form Factors. For. Sci. 46: 1-12. [ Links ]
Finegan, B., M. Camacho y N. Zamora. 1999. Diameter increment patterns among 106 tree species in a logged and silviculturally-treated Costa Rica rain forest. For. Ecol. Manage. 121: 159-176. [ Links ]
Gujarati, N. D. 2004. Econometría. 4a. ed. McGraw-Hill Interamericana. México. 972 p. [ Links ]
Harold, D., y J. Hocker. 1984. Introducción a la Biología Forestal. F. A. Bellomo L. (trad). México, D. F. 446 p. [ Links ]
Hernández P, D., H. M. de los Santos P., G. Angeles P y J. R. Valdez L. 2013. Funciones de Ahusamiento y Volumen Comercial para Pinus patula Schltdl. et Cham. en Zacualtipán, Hidalgo. Rev. Mex. Cien. For. 4 (16): 34-45. [ Links ]
Instituto Nacional de Estadística y Geografía (INEGI). 2009. Prontuario de información geográfica municipal de los Estados Unidos Mexicanos. Zacualpan, Veracruz de Ignacio de la Llave. Clave geoestadística 30198. 9 p. [ Links ]
Kurinobu, S., P, Daryono., N, Mohanmad, and K. Matsune. 2007. A stem taper equation compatible to volume equation for Paraserianthes falcataria in Pare, East Java, Indonesia: its implications for the plantation management. J. For. Res. 12: 473-478. [ Links ]
Larsen, J. B. 1995. Ecological stability of forests and sustainable silviculture. For. Ecol. Manage. 73: 57-96. [ Links ]
Parresol, B. R., J. E. Hotvedt, and Q. V. Cao. 1987. A volume and taper prediction system for bald cypress. Can. J. For. Res. 17: 250-259. [ Links ]
Pompa G., M., J. J. Corral R., M. A. Díaz V. y M. Martínez S. 2009. Función de ahusamiento y volumen compatible para Pinus arizonica Engelm. en el suroeste de Chihuahua. Rev. Cien. For. Méx. 34: 119-136. [ Links ]
Statistical Analysis Systems (SAS). 2008. SAS/STAT 9.2 User's Guide. SAS Institute Inc. Raleigh, NC. USA. s/p. [ Links ]
Torres R., J. M. y O. S. Magaña T. 2001. Evaluación de plantaciones forestales. Ed. Limusa. México, D. F. México. 472 p. [ Links ]
Zhang, Y., B. E. Borders, and R. L. Bailey. 2002. Derivation, fitting, and implication of a compatible stem taper-volume-weight system for intensively managed, fast growing loblolly pine. For.Sci. 48: 595-607. [ Links ]













