Servicios Personalizados
Revista
Articulo
Indicadores
-
Citado por SciELO -
Accesos
Links relacionados
-
Similares en
SciELO
Compartir
Agrociencia
versión On-line ISSN 2521-9766versión impresa ISSN 1405-3195
Agrociencia vol.48 no.4 Texcoco jun. 2014
Fitociencia
Acondicionamiento pre-siembra: una opción para incrementar la germinación de semillas de chile habanero (Capsicum chinense Jacq.)
Pre-sowing treatments: an option to increase germination of habanero pepper seeds (Capsicum chinense Jacq.)
René Garruña-Hernández1'2* , Luis Latournerie-Moreno1, Oscar Ayala-Garay3, Jorge M. Santamaría2 , Luis Pinzón-López1
1 Instituto Tecnológico de Conkal, Yucatán. Km. 16.3 Antigua carretera Mérida-Motul.
2 Centro de Investigación Científica de Yucatán. Calle 43 No. 130, Col. Chuburná de Hidalgo, Mérida, Yucatán, México. *Autor responsable
3 Colegio de Postgraduados, Campus Montecillo. Km. 35.3 carretera México-Texcoco, Texcoco Estado de México. (renegh10@hotmail.com).
Recibido: julio, 2013.
Aprobado: mayo, 2014.
Resumen
Las semillas de chile habanero (Capsicum chinense Jacq.) disminuyen su germinación después de periodos de almacenamiento superiores a los 100 d. Los tratamientos de acondicionamiento revigorizan, aceleran y uniforman la germinación de las semillas del género Capsicum. En este estudio se acondicionaron semillas de chile habanero durante 144 h con aireación constante en agua destilada y soluciones acuosas (tratamientos) de: KNO3 al 3 %, polietilen glicol (PEG) a 0.5 MPa, ácido abscísico (ABA) a 10-5 M, y ácido giberélico (AG3) a 400 ppm. Después del acondicionamiento las semillas germinaron en cajas petri y charolas (el testigo fue sembrado sin acondicionar). El diseño experimental fue completamente al azar, con los datos se realizó un ANDEVA y las medias se compararon con la prueba de Tukey (p≤0.05). Los resultados mostraron que las semillas acondicionadas con ABA (13.22 % de semillas germinadas d-1) aumentaron la velocidad de germinación con respecto al testigo (6.38 % de semillas germinadas d-1) y todos los tratamientos de acondicionamiento aumentaron el porcentaje de germinación (%G), pero no todos mantuvieron ese aumento durante la emergencia. En el porcentaje de emergencia (%E) sólo los tratamientos con PEG y KNO3 (osmóticos) fueron estadísticamente diferentes al testigo superándolo en 36 y 21 %. Los tratamientos osmóticos evitaron la protrusión durante el acondicionamiento y su %E fue similar al %G. El acondicionamiento de las semillas es óptimo si aumenta la germinación y la emergencia; por lo tanto el acondicionamiento de las semillas de chile habanero con KNO3, PEG y ABA es más adecuado para aumentar el establecimiento de las plántulas.
Palabras clave: Ácido abscísico, ácido giberélico, Capsicum chinense, emergencia, nitrato de potasio, polietilen glicol.
Abstract
Habanero pepper (Capsicum chinense Jacq.) seeds decrease their germination after storage periods exceeding 100 d. Pre-sowing treatments, reinvigorate, accelerate and uniform seed germination of the genus Capsicum. In this study habanero pepper seeds were pre-treated during 144 h with constant aeration in distilled water and aqueous solutions (treatments) of: KNO3 at 3 %, polyethylene glycol (PEG) at 0.5 MPa, abscisic acid (ABA) at 10-5 M and gibberellic acid (GA3) at 400 ppm. After pre-sowing treatments, seeds were germinated in petri dishes and trays (the control was sown without pre-treatment). The experimental design was a completely randomized, the data were used to perform ANOVA and means were compared using Tukey test (p≤0.05). Results showed that seeds treated with ABA (13.22 % of germinated seeds d-1) increased germination rate compared with the control (6.38 % of germinated seeds d-1) and all pre-sowing treatments increased the germination percentage (%G), but not all of them maintained that increase during emergence. In emergence percentage (%E) only PEG and KNO3 treatments (osmotic) were statistically different from the control surpassing it at 36 and 21 %. Osmotic treatments avoided protrusion during the pre-sowing treatment and their %E was similar to %G. The pre-sowing treatment of seeds is optimal if germination and emergence is increased; therefore the pre-sowing treatment of habanero pepper seeds with KNO3, PEG and ABA is more appropriate to increase seedling establishment.
Key words: Abscisic acid, gibberellic acid, Capsicum chinense, emergence, potassium nitrate, polyethylene glycol.
INTRODUCCIÓN
El interés por los factores (físicos, morfológicos, fisiológicos y moleculares) afectados durante la germinación de las semillas aumenta junto con el número de investigaciones en este campo (Powell, 2010). La mayoría de éstas se enfoca al incremento, la uniformidad de la germinación y la emergencia de la plántula.
El acondicionamiento de las semillas revigoriza acelera y uniforma la germinación en condiciones óptimas y adversas (Hacisalihoglu y Ross, 2010); sus efectos se conocen como revigorización y robustecimiento de semillas (Sánchez et al., 2001). Esta técnica es usada para reducir el tiempo entre la imbibición y la emergencia de la plántula. Los métodos de acondicionamiento de semillas se agrupan en dos categorías esto depende si el suministro de agua es controlado o no (Taylor et al., 1998). Las técnicas que controlan el suministro de agua a las semillas (acondicionamiento osmótico) usan soluciones osmóticas como polietilen glicol (PEG) y KNO3 (Heydecker et al., 1973); en los métodos que no controlan el agua ésta permanece disponible para las semillas (Artola et al., 2010; Mavi et al., 2010). Los reguladores de crecimiento usados en los tratamientos de acondicionamiento también aumentan y aceleran la germinación. Sosa-Coronel y Motes (1982) observaron que las semillas de Capsicum annuum en 400 ppm de ácido giberélico (AG3) durante 144 h de incubación en oscuridad aumentaron la velocidad de emergencia y el crecimiento de plántulas. Watkins y Cantliffe (1983) aceleraron la tasa de germinación de las semillas al acondicionarlas con 500 ppm de AG3.
En chile habanero (Capsicum chinense Jacq.), después de almacenar las semillas por más de tres meses, la velocidad y el porcentaje final de la germinación disminuye considerablemente (comunicación personal con productores de plántulas). Sin embargo, aunque la pérdida de viabilidad de las semillas es uno de los principales problemas en este cultivo, no hay estudios para resolverlo. En el presente estudio se evaluó el acondicionamiento hídrico (agua destilada), osmótico (KNO3, PEG), y hormonal (ABA, AG3) con el objetivo de aumentar y uniformar la germinación de semillas y la emergencia de las plántulas de chile habanero.
MATERIALES Y MÉTODOS
Las semillas de chile habanero provenientes de una bolsa (1 Lb) sellada y envasada con alto vacío (semillas Seminis, Zapopan, México) fueron almacenadas 10 meses a 22 °C, en la oscuridad y con 60 % de HR. La germinación de las semillas almacenadas (25 de ellas, con cuatro repeticiones) se evaluó cada 30 d en toallas de papel humectadas con agua destilada, en bolsas plásticas, en la oscuridad a 22 °C, y durante 20 d se contabilizó la germinación. La semilla se consideró germinada cuando se observó la protrusión radicular. La viabilidad de las semillas se evaluó con la prueba topográfica de cloruro 2, 3, 5 trifenil tetrazolio (Sigma-Aldrich) (Moreno, 1996).
Para los tratamientos de acondicionamiento se usaron probetas de 500 mL, cada una con 3 g de semillas (4 meses de edad) y 300 mL de solución acondicionadora y conectadas a una bomba Elite-799 (Hagen, Mansfield, EE.UU.) (capacidad 52.8 mL L-1), para proveer aireación constante, por 144 h (tiempo seleccionado de resultados obtenidos en un estudio previo; datos no mostrados). Estos tratamientos se incubaron en oscuridad a 22±1 °C. Las soluciones (tratamientos experimentales) fueron: agua destilada (AD); KNO3(Sigma-Aldrich) al 3 %; polietilen glicol 8000 (PEG; Sigma-Aldrich) a 0.5 MPa; ácido abscísico (ABA; Sigma-Aldrich) 10-5 M; y ácido giberélico (AG3; Giberplus, Velsimex) en 400 ppm. Hubo tres repeticiones por solución acondicionadora. Para cuantificar las variables de la germinación, 25 semillas de cada tratamiento después de 144 h de acondicionamiento se colocaron en una caja petri (9 cm de diámetro con doble papel filtro Whatman, saturadas con 8 mL de agua destilada), con 12 repeticiones. Para calcular las variables de la emergencia, otra parte de las semillas acondicionadas (150 semillas por tratamiento) se sembraron en charolas de poliestireno de 200 cavidades con sustrato peat-moss, a una profundidad de 5 mm. Además, en cajas petri y en charola, se sembraron semillas sin acondicionar como testigo. Durante 15 d se registró el número de semillas germinadas y durante 20 d el número de plántulas emergidas.
El porcentaje de germinación (%G) y el porcentaje de recuperación (%R) fueron calculados; este último con la ecuación (Zia y Khan, 2004):

donde a es el número total de semillas germinadas después del acondicionamiento, b el número total de semillas germinadas durante el acondicionamiento, y c es el número total de semillas.
Las tasas de germinación (TG) y recuperación (TR) se calcularon con el índice de Timson modificado para la velocidad de germinación (Khan y Ungar, 1984):

donde G es el porcentaje de semillas germinadas en intervalos de 24 h y t es el período total de germinación.
La escala de Timson calcula el porcentaje de semillas germinadas por lapso (24 h). Las mismas variables también fueron calculadas durante la emergencia de las plántulas. Además se evaluó el diámetro de tallo, la altura y la biomasa (masa seca) de las plántula a los 12, 19, 26 y 33 d después de la siembra, para calcular la tasa de crecimiento relativa (TCR) de acuerdo con Hunt et al. (2002).
Para medir la imbibición de las semillas, se pesaron 15 semillas sin acondicionar (tiempo 0; T0), se colocaron en una caja petri, se agregaron 8 mL de la solución acondicionadora respectiva (AD, KNO3, PEG, ABA o AG3), y las semillas se pesaron individualmente a las 12 (T1), 24 (T2), 36 (T3), 48 (T4), 60 (T5) y 72 (T6) h. Con la diferencia del peso entre los muestreos se calculó la imbibición con las unidades de peso transformadas a unidades de volumen (1 mg de peso aumentado = 1 μL imbibido). El volumen parcial se obtuvo con la diferencia de los tiempos (e.g., volumen parcial imbibido a las 12 h= T1-T0, a las 24= T2-T1), mientras que el volumen total imbibido se obtuvo sumando el valor de todos los tiempos (e.g., volumen total imbibido= T1+T2+T3+T4+T5+T6). Hubo tres repeticiones por tratamiento.
El diseño experimental fue completamente al azar; para ajustar la normalidad de los datos los porcentajes fueron transformados a su valor de arcoseno. Con los datos se realizó un ANDEVA y las medias se compararon con la prueba de Tukey (p≤0.05). Estos análisis se realizaron en Statistica 7 (Statsoft, Tulsa, Ok, USA).
RESULTADOS Y DISCUSIÓN
La germinación de las semillas al inicio del estudio fue 95 %. Después de 4 y 8 meses la germinación disminuyó a 70 y 0 % (Figura 1). Estos resultados confirmaron la disminución acelerada de la viabilidad de las semillas con el tiempo de almacenamiento. El análisis de varianza mostró diferencias significativas (p≤0.001) con el acondicionamiento en todas las variables evaluadas.
Las semillas tratadas con AD, ABA y AG3 presentaron protrusión al concluir las 144 h del acondicionamiento (30, 35 y 50 %, respectivamente), es decir esas soluciones aceleraron la germinación aunque las semillas no estuvieran en las cajas petri. En contraste, con KNO3 y PEG no hubo protrusión durante el acondicionamiento, debido a que el acondicionamiento osmótico de semillas mantiene la disponibilidad de agua en un nivel sub-óptimo y si el proceso germinativo se inicia es detenido en alguna de las etapas.
El %G promedio de las semillas acondicionadas fue estadísticamente superior al del testigo (81) (Figura 2A). La TG (como % de semillas germinadas d-1), de las semillas acondicionadas con ABA (13.22), AD (11.23), AG3 (10.29), KNO3 (10.20) y PEG (8.20) fue mayor que la del testigo (6.38) (Figura 2B).
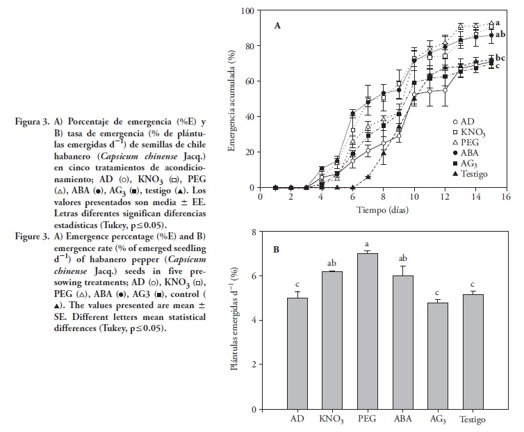
Las semillas tratadas con PEG y KNO3 presentaron el %E de plántulas mayor (93 y 91), seguidas por las tratadas con ABA (86), AD (71) y AG3 (70); los dos tratamientos últimos no fueron diferentes al testigo (72) (Figura 3A).
La TE de las plántulas después del acondicionamiento de las semillas con PEG y KNO3 fue mayor (36 y 21 %) que la del testigo el cual no fue diferente a la TE de las tratadas con AD y AG3 (Figura 3B). Así, es probable que la germinación durante el acondicionamiento en los tratamientos no osmóticos haya ocasionado algún daño mecánico en los tejidos radiculares e inhibido su desarrollo en el sustrato, lo cual fue evaluado como caída de la velocidad en la emergencia o inhibición completa.
En %RG no hubo diferencias significativas entre los tratamientos con ABA, (95), KNO3 (94), PEG (93) y AD (90). La TRG de las semillas fue significativamente diferente en todos los tratamientos; con ABA fue la más veloz (14 % d-1) y la de AD (7 % d-1) la más lenta (Cuadro 1). El ABA es un inhibidor de la germinación (Kucera et al., 2005); en semillas de tabaco la aplicación exógena de ABA (10-5 M) retrasó la inducción de β-1,-3 glucanasa, enzima relacionada con la ruptura del endospermo en la germinación (Leubner-Metzger et al., 1996). Sin embargo, los resultados del presente estudio mostraron que el ABA (10-5 M) aceleró la germinación de semillas del chile habanero y la emergencia de las plántulas, respecto a los otros tratamientos; además, aumentó el %G al máximo. Estos resultados coinciden con los de Finch-Savage y Mcquistan (1989), ya que con una solución de ABA 10-4 M ellos aumentaron 62 % la germinación de semillas de zanahoria. Estos resultados indican que es probable que la estimulación con el ABA exógeno las respuestas enzimáticas antes de la germinación se regulen de manera diferente entre las especies. En este sentido, Schopfer y Plachy (1984) sugirieron que el sistema que controla la absorción de agua y la germinación del embrión no puede discriminar entre los efectos principales del ABA y el estrés osmótico; de ser así, los efectos del ABA serán similares al de los agentes osmóticos y ambas cadenas de transducción de señales coincidirán en algún punto común que controla el estado hídrico del embrión.

El %RE mayor de la emergencia (92 y 91) correspondió a las semillas acondicionadas con las soluciones osmóticas PEG y KNO3, y las tratadas con AG3 tuvieron el valor menor. La TRE mayor fue para las semillas acondicionadas en KNO3 y ABA (7 % d-1 en ambos casos) y contrastó con la más lenta, la de las semillas en AD y AG3 (3 % d-1 en ambos casos) (Cuadro 1). Las semillas de los dos tratamientos osmóticos no germinaron durante el acondicionamiento, pero su %RE fue más alto, y a pesar de no ser las más veloces en la germinación, sí lo fueron en la emergencia. Los beneficios del acondicionamiento osmótico en este estudio coincidieron con los reportados por otros autores. Demir y Oztokat (2003) observaron aumento de 11 % de la germinación de semillas de melón con KNO3, y Sundstrom y Edwards (1989) aumentaron 45 % la germinación de C. frutescens. Yaklich y Orzolek (1977) aumentaron 10 % la emergencia de C. annuum con PEG, y Sánchez et al. (1997) 19 % la germinación en pepino.
En el volumen parcial imbibido a las 12, 36 y 60 h no hubo diferencias significativas, pero a las 24, 48 y 72 h sí las hubo. Así, la imbibición en los dos tratamientos con reguladores de crecimiento ABA (43.9 μL) y AG3 (44.7 μL) a las 24 h fue superior al tratamiento con AD (34.6 μL), a las 48 y 72 h (50.9 y 27 μL, respectivamente); sólo las semillas en AG3 mostraron diferencias significativas comparadas con las de AD (43.2 y 16.1 μL, respectivamente) (Figura 4A). Esto permite sugerir que hay lapsos en que los eventos celulares tienen ritmos establecidos de absorción y uso de agua (Bewley, 1997). En el volumen total imbibido durante el experimento, hubo diferencias desde las 24 h; fue el caso de las soluciones hormonales que contrastaron con las osmóticas, junto con el tratamiento hídrico (Figura 4B). Esto indica que el tipo de solución acondicionadora tiene una función importante en la toma de agua por la semilla y por tanto en el control de la protrusión.
En la TCR no hubo diferencias significativas en la altura de plántulas entre los tratamientos. Sin embargo, en el diámetro de tallo (53 %) y en la biomasa (16 %), las plántulas del tratamiento con ABA fueron significativamente superiores a las del testigo (Cuadro 2).

CONCLUSIONES
Las semillas de chile habanero pueden presentar latencia en periodos relativamente cortos de almacenamiento. El acondicionamiento rompió la latencia, por lo que tiene impacto positivo en la germinación y aumenta su capacidad germinativa. El ABA acelera la germinación y la emergencia. Las soluciones osmóticas de KNO3 y PEG impiden la germinación durante el acondicionamiento y causan aumento de la emergencia. Las soluciones acondicionadoras de KNO3, PEG y ABA son las más adecuadas para obtener plántulas de chile habanero listas para el trasplante.
AGRADECIMIENTOS
Los autores agradecen al Consejo Nacional de Ciencia y Tecnología (CONACYT) por la beca otorgada a René Garruña Hernández para realizar estudios de posgrado, a José Luis Sima y Roberth Us por su asistencia técnica, así como a los Editores y Arbitros anónimos por sus valiosas sugerencias sobre este artículo.
LITERATURA CITADA
Artola, A., G. Carrillo-Castañeda, and G. de los Santos. 2010. Hydropriming: a strategy to increase Lotus corniculatus L. seed vigor. Seed Sci. Technol. 31: 455-463. [ Links ]
Bewley, J. D. 1997. Seed germination and dormancy. Plant Cell 9: 1055-1066. [ Links ]
Demir, I., and C. Oztokat. 2003. Effect of salt priming on germination and seedling growth at low temperatures in watermelon seeds during development. Seed Sci. Technol. 31: 765-770. [ Links ]
Finch-Savage, W. E., and C. I. Mcquistan. 1989. The use of abscisic acid to synchronize carrot seed germination prior to fluid drilling. Ann. Bot. 63: 195-199. [ Links ]
Hacisalihoglu, G., and Z. Ross. 2010. The influence of priming on germination and soil emergence of non-aged and aged annual ryegrass seeds. Seed Sci. Technol. 38: 214-217. [ Links ]
Heydecker, W., J. Higgins, and R. L. Gulliver. 1973. Accelerated germination by osmotic seed treatment. Nature 246: 42-44. [ Links ]
Hunt, R., D. R. Causton, B. Shipley, and A. P. Askew. 2002. A modern tool for classical plant growth analysis. Ann. Bot. 90: 485-488. [ Links ]
Khan, M. A., and I. A. Ungar. 1984. Effects of salinity and temperature on the germination and growth of Atriplex triangularis Willd. Am. J. Bot. 71: 481-489. [ Links ]
Kucera, B., M. C. Alan, and G. Leubner-Metzger. 2005. Plant hormone interactions during seed dormancy release and germination. Seed Sci. Res. 15: 281-307. [ Links ]
Leubner-Metzger, G., C. Frundt, and F. Meins. 1996. Effects of gibberellins, darkness and osmotica on endosperm rupture and class 1 β-1,3-glucanase induction in tobacco seed germination. Planta 199: 282-288. [ Links ]
Mavi, K., M. E. Light, I. Demir, V. Staden, and F. Yasar. 2010. Positive effect of smoke-derived butenolide priming on melon seedling emergence and growth. New Zeal. J. Crop Hort. 38: 147-155. [ Links ]
Moreno M. E. 1996. Análisis Físico y Biológico de Semillas Agrícolas. UNAM. México, México, 383 p. [ Links ]
Powell, A. A. 2010. Morphological and physiological characteristics of seeds and their capacity to germinate and survive. Ann. Bot. 105: 975-976. [ Links ]
Sánchez A. J., E. Calvo, R. Orta, y B. Muñoz. 1997. Tratamientos pregerminativos de hidratación-deshidratación para semillas de pepino (Cucumis sativus L.). Act. Bot. Mex. 38: 13-20. [ Links ]
Sánchez A. J., R. Orta, y B. Muñoz. 2001. Tratamientos pregerminativos de hidratación-deshidratación de las semillas y sus efectos en plantas de interés agrícola. Agr. Cost. 25: 67-92. [ Links ]
Sosa-Coronel, J., and J. E. Motes. 1982. Effect of gibberellic acid and seed rates on pepper seed germination in aerated water columns. J. Am. Soc. Hort. Sci. 107: 290-295. [ Links ]
Sundstrom, F. J., and R. L. Edwards. 1989. Pepper seed respiration, germination, and seedling development following seed. Hortscience 24: 343-345. [ Links ]
Taylor, A. G., P. S. Allen, M. A. Bennett, K. J. Bradford, J. S. Burris, and M. K. Misra. 1998. Seed enhancements. Seed Sci. Res. 8: 245-256. [ Links ]
Watkins, J. T., and D. J. Cantliffe. 1983. Hormonal control of pepper seed germination. Hortscience 18: 342-343. [ Links ]
Yaklich, R. W., and M. D. Orzolek. 1977. Effect of polyethylene glycol 6000 on pepper seed. Hortscience 12: 263-264. [ Links ]
Zia, S., and M. A. Khan. 2004. Effect of light, salinity, and temperature on seed germination of Limonium stocksii. Can. J. Bot. 82: 151-157. [ Links ]













