Servicios Personalizados
Revista
Articulo
Indicadores
-
Citado por SciELO -
Accesos
Links relacionados
-
Similares en
SciELO
Compartir
Madera y bosques
versión On-line ISSN 2448-7597versión impresa ISSN 1405-0471
Madera bosques vol.16 no.1 Xalapa ene. 2010
Artículos de investigación
Valoración económica de los servicios ambientales hidrológicos en El Salto, Pueblo Nuevo, Durango
Economic valuation of the hydrological environmental services in El Salto, Pueblo Nuevo, Durango
Ramón SilvaFlores1, Gustavo PérezVerdín2 y José de Jesús NávarCháidez3
1 Consultor, Prestadores de Servicios Técnicos Forestales. Durango, Durango, México.
2,3 CIIDIRIPN Unidad Durango. Sigma No 119. Fracc. 20 de Noviembre II. Durango, México. 34220. jnavar@ipn.mx.
Manuscrito recibido el 16 de junio de 2008
Aceptado el 30 de julio de 2009
RESUMEN
En este trabajo se estimó la disponibilidad a pagar (DAP) para preservar las fuentes de aprovisionamiento de agua y la disponibilidad a aceptar el pago (DAA) por los dueños de los terrenos que proveen el servicio ambiental hidrológico (SAH) en El Salto, Pueblo Nuevo, Durango. Se aplicaron encuestas tanto a usuarios del servicio de agua potable, para estimar la DAP, como a los propietarios de los terrenos donde se encuentra la fuente principal de provisión del agua, para estimar la DAA. Se calculó el costo total de producción del servicio, usando los métodos de valoración de captación y recuperación, y se comparó con los resultados de la DAP y DAA. También se cuantificaron los costos de las actividades de protección y abastecimiento del agua; además de la producción de agua en la cuenca por medio de un balance de masas. Los resultados muestran que la microcuenca produce en promedio 2,10 Mm3/año. El 90% de los usuarios está dispuesto a realizar un pago por el SAH de $17,18 por mes. Asimismo, los propietarios del terreno están dispuestos a aceptar un pago de $320,00 por mes ($5,26/ha/año) como compensación por favorecer la captación y almacenamiento del agua en la microcuenca. Las diferencias entre DAP y DAA coinciden con la mayoría de los estudios, donde la DAP es por lo general menor a la DAA. El costo promedio total de producción de agua es de $2,49/m3 de agua para el año inicial y de $2,09/m3 para los nueve años siguientes. El valor total de la DAP, basada en el número de viviendas en la población de El Salto, no es suficiente para cubrir los costos. Programas externos de apoyo, como pago por captura de carbono, subsidios por los gobiernos, etc., pueden ayudar a reducir las diferencias entre la DAP y los costos de producción.
Palabras clave: Costos de producción, método de valoración contingente, microcuenca La Rosilla, servicios ambientales, valoración hidrológica.
ABSTRACT
This research explored willingness to pay (WTP) and willingness to accept (WTA) payment for conserving water supplies in El Salto, Pueblo Nuevo, Durango. Personal interviews were applied to both El Salto water users to estimate WTP and land resource owners to estimate WTA. Production costs were estimated at the watershed "La Rosilla" near El Salto. The production costs included storage, protection, restoration and water supply to El Salto residents. In addition, production of water was estimated using a mass balance approach. The results showed that the watershed produces on the average 2,10 Mm3/year. About 90% of the water users surveyed in the study were willing to pay for the environmental hydrological service an average of $17,18 for month. Likewise, resource owners were willing to accept about $320,00 for month ($5,26/ha/year) as a compensation to forgo forest harvest and stimulate water production. Differences between WTP and WTA coincide with many other studies that indicate WTA is larger than WTP. Average production cost was estimated at $2,49/m3 of water for the first year and $2,09/m3 for the remaining years over a 10year planning period. The cumulative WTP, based on the number of households of El Salto, would not be enough to pay for all production costs. Other external programs such as carbon sequestration and government subsidies, etc., are necessary to reduce the gap between estimated WTP and production costs.
Keywords: Production costs, contingent valuation, La Rosilla watershed, environmental services, hydrologic valuation.
INTRODUCCIÓN
La sociedad ha estado preocupada por la regularidad en el servicio del agua en la mayoría de las ciudades del mundo árido y semiárido, por el manejo que se le da a las principales fuentes de abastecimiento y por el manejo de los embalses, entre otros aspectos relacionados con este compuesto vital. A pesar de estas preocupaciones, no existen muchos trabajos para entender la problemática de la producción de agua ni la valoración cuantitativa del servicio ambiental.
A partir de la Cumbre de Río de Janeiro se han iniciado diversos estudios relacionados con el desarrollo sustentable. La valoración económica y la generación de mercados para los servicios ambientales son unas de las estrategias para alcanzar la sustentabilidad. El mercado de servicios ambientales ofrecidos por el bosque está creciendo rápidamente, en muchos casos fomentado por políticas nacionales y regionales, y en otros por convenios y tratados internacionales (FAO, 2005). Rosa et al. (2004), señalan que en México se encuentran condiciones favorables para el desarrollo de iniciativas que busquen valorar los servicios ambientales y beneficien a las comunidades rurales. Mencionan como un gran potencial en el país, la captura del carbono, la diversidad genética, los grandes escenarios o atractivos naturales y el servicio ambiental hídrico.
En el 2003, el gobierno mexicano abrió las puertas para el pago de servicios ambientales hidrológicos (SAH) en áreas con importancia hídrica estratégica. El objetivo principal fue el de proveer incentivos económicos para reducir la deforestación en áreas con problemas severos de abasto de agua causados por el cambio de uso del suelo (MuñozPiña et al., 2008). Este programa, que consiste en pagos directos a los propietarios de terrenos forestales con cubierta vegetal arbórea, se ha venido aplicando en varias regiones del país con resultados modestos en cuanto al mercadeo de este servicio. Debido a que el gobierno actúa como intermediario entre los proveedores o propietarios del bosque (productores) y el público en general (consumidores), el mercado para estos bienes no sigue los fundamentos de la economía clásica. El gobierno, como único comprador de los servicios ambientales y al mismo tiempo gestor del manejo forestal, hace que estos servicios sean centralizados y manejados en un ambiente monopsónico (MuñozPiña et al., 2008). El gobierno tiene un control especial sobre el precio de los productos y los proveedores del servicio tienen que adaptarse de alguna forma a las exigencias del gobierno en materia de precio y cantidad. Otras formas de negociación son entonces necesarias para corregir esta falla del mercado y dejar a los propios actores reconocer el problema de abasto del agua, valorar el recurso y, en su caso, compensar a los proveedores. Un ejemplo es la participación de la sociedad, que como usuaria y consumidora principal de estos recursos debe considerar la situación de escasez del agua y contribuir activamente en el uso racional de ese recurso. Ejemplo de ello es la participación de los residentes de El Salto, P.N., Durango, donde sociedad y gobierno han iniciado una serie de procedimientos para remediar el problema de abasto del agua que por muchos años ha experimentado esta población situada en la Sierra Madre Occidental.
Los residentes de El Salto se abastecen de agua de la microcuenca La Rosilla, ubicada en terrenos forestales del ejido La Victoria. En el año 2000 a iniciativa de la presidencia municipal se construyó la presa La Rosilla II para almacenar el agua que serviría para abastecer a los habitantes de El Salto. Actualmente los resultados no son los deseables en cuanto a la regularidad y a la calidad en el servicio de abasto de agua, debido en buena parte a la falta de control en el almacén de agua de la presa y a la deficiente infraestructura para su distribución. Desde la construcción de la presa, el servicio de agua a la población de El Salto se ha visto comprometido por la falta de agua, por el mal manejo de los servicios de distribución y, en muchos casos, por una falta de concientización o educación en el correcto uso del agua.
En esta investigación también se estimó, a través del balance hidrológico, el almacén de agua de la presa La Rosilla II y la valoración económica de la oferta de agua de la microcuenca. Se calculó el almacén del embalse de la presa La Rosilla II para valorar económicamente el SAH y se evaluó la percepción y disponibilidad de los consumidores para compensar a los dueños de los terrenos donde se capta el agua que abastece a la población de El Salto.
OBJETIVOS
Los objetivos específicos son: a) estimar la oferta de agua de la microcuenca La Rosilla, b) estimar la disponibilidad de pago por parte de los consumidores en la población de El Salto y c) estimar la disponibilidad de aceptar el pago por parte de los proveedores del servicio ambiental hidrológico.
METODOLOGÍA
Descripción del área de estudio
En el ejido La Victoria se asienta una parte importante de la localidad El Salto, cuya población que se beneficia del SAH asciende a 21 793 habitantes (INEGI, 2005). La superficie de la microcuenca es de 944 ha y se ubica aproximadamente a 6 km de El Salto (Figura 1). El ejido es un núcleo agrario dotado por resolución presidencial el 18 de mayo de 1961 conformado por 98 ejidatarios. Se ubica en la región hidrológica núm. 11 (PresidioSan Pedro) en la vertiente del Pacífico, en la parte alta de la cuenca del río Presidio. La presa La Rosilla II construida sobre el cauce del arroyo La Rosilla se ubica a su vez en la microcuenca RH11Dc04028. Esta corriente de agua, después de cruzar El Salto, recibe el nombre de quebrada El Salto, para posteriormente convertirse en el río Presidio (CFE, 1998).
La vegetación en la mayor parte del ejido está formada por bosques de pinoencino. Las principales especies de pino son Pinus cooperi, P. durangensis, P. engelmannii, P. teocote, P. herrerae, P. leiophylla y P. ayacahuite. Las especies más representativas de encinos son Quercus sideroxyla, Q. durifolia, Q. rugosa y Q. candicans. Existen otras coníferas como Juniperus spp., Cupressus spp., Pseudotsuga spp. y Abies spp. Dentro de las latifoliadas se encuentran especies de los géneros Arbutus y Alnus. En el estrato inferior de los bosques, la manzanita (Arctostaphylos pungens) y la encinilla (Quercus striatula) se distribuyen con diferentes densidades combinadas con varias especies de gramíneas y herbáceas (Silva, 2006).
Valoración económica y cuantitativa de la oferta de agua de la microcuenca La Rosilla1
La valoración de la oferta de agua en la microcuenca La Rosilla considera dos rubros: a) el costo de captación y b) el costo de recuperación (Barrantes y Castro, 1999). El costo de captación es el valor asignado a almacenar el agua en la presa en función de otros usos en la cuenca. El modelo empleado para calcular el valor de captación (VC) es el siguiente:

Donde VC es el valor de captación hídrica del bosque ($/m3), αi, es la importancia relativa del bosque en la cuenca i en función del recurso hídrico (%), Bi es el costo de oportunidad de la ganadería versus bosque en la cuenca i ($/ha/año), Abi es el área con bosque aprovechable en la cuenca i, Oci es el volumen de agua captada por bosques de la cuenca (m3/ha/año) y βi es la valoración de la calidad del agua de escorrentía captada por el bosque (%).
El valor de recuperación (VR) se relaciona con los costos en que se incurre para desarrollar actividades de fomento como la reforestación. Está dado por la siguiente expresión:

Donde VR es el valor de recuperación de las cuencas hidrográficas ($/m3), αi, es la importancia relativa del bosque en la cuenca i en función del recurso hídrico (%), Cij son los costos para la actividad j destinada a la recuperación de la cuenca i ($/ha/año), Ari es el área a recuperar en la cuenca i (ha), Oci es el volumen de agua captada por los bosques de la cuenca i (m3/ha/año). La metodología de Barrantes y Castro (1999) considera un intervalo de tiempo de cinco años para el establecimiento y manejo inicial de las plantaciones forestales. Para este estudio se consideró un horizonte de 10 años, incluido su establecimiento. El costo total de esta actividad es de $13 350 por ha de acuerdo con los costos establecidos por la Comisión Nacional Forestal (DOF, 2007), con un egreso en el primer año del 70% equivalente a $9 345/ha, en los años consecuentes la inversión se reduce con un monto fijo de $1 011,25/ha, asociado al mantenimiento y protección de la plantación.
El costo de oportunidad por la producción de agua se compara con las tres principales actividades productivas de los ejidatarios: silvicultura, ganadería y agricultura. En el primer caso, de acuerdo con el volumen de corta autorizado para el ejido en su programa de manejo forestal (Hernández, 2007) se tiene una posibilidad de 4,16 m3 rollo de pino verde por hectárea por año y 0,81 m3 rollo de encino por hectárea por año con un valor en el mercado de $700 y $360/m3 rollo, respectivamente; lo que arroja un valor de $3 203,60/ha/año. La superficie forestal arbolada de la microcuenca es de 730 ha. En el caso de la ganadería se consideró la carga actual que tiene el ejido, con 10 hectáreas por cada unidad animal, es decir, la microcuenca estaría sujeta a soportar 90 cabezas de ganado vacuno, a un costo promedio en el mercado de $3 500 cada una. En la agricultura los cultivos que más se producen son el maíz y la avena, tomando esta última como base para hacer el cálculo de la utilidad, se tiene que una hectárea genera $10 500/año. La superficie agrícola estimada en la microcuenca es de 24 hectáreas.
Además de los costos de captación y recuperación, el estudio también incluyó el valor de protección y el costo de abastecimiento. El costo de protección considera actividades complementarias como el cercado de áreas con regeneración o reforestaciones, acordonamiento de materiales muertos, construcción de presas filtrantes, control de cárcavas a través de su cabeceo y suavización de taludes, conservación de caminos de acceso, construcción de brechas cortafuego y contratación de un encargado de realizar recorridos de vigilancia (Barzev, 2002; 2003; 2004; Barrantes y Castro, 1999). Los costos unitarios para las actividades señaladas se obtuvieron del Manual de obras y prácticas de protección, restauración y conservación de suelos forestales (Conafor, 2007), y las metas en función de los compromisos que el ejido asume en su programa de manejo forestal (Hernández, 2007).
El costo de abastecimiento ($/m3) incluye los costos asociados con el almacenamiento, potabilización, conducción, entrega y, en muchos casos, pérdidas encontradas en la distribución del líquido. Para conocer este costo se realizó una entrevista con el director y el subdirector del Sistema Descentralizado de Agua Potable, Alcantarillado y Saneamiento (Sideapas) de El Salto, solicitando información sobre los costos en que se incurre por estas actividades. En forma complementaria a la entrevista, se solicitó dar respuesta a un cuestionario con una serie de preguntas relacionadas con la calidad y regularidad en el servicio de abasto, los volúmenes de agua extraídos de la presa, proceso de distribución, costos, etc.
Disposición a pagar (DAP) y disposición a aceptar (DAA)
La DAP y DAA son medidas que permiten conocer el valor económico de la demanda de muchos bienes y servicios ambientales que difícilmente pueden evaluarse a través de métodos convencionales de mercado (Amigues et al., 2002). La DAP y DAA se estiman evaluando las preferencias de los usuarios y/o consumidores con respecto a un bien o servicio y se dice que son declaradas porque se basan en una serie de preguntas en las que los usuarios seleccionan, jerarquizan o estiman un valor económico, generalmente cuantitativo, del bien o servicio (Champ et al., 2003). Las preguntas forman parte de una encuesta en donde también se recaba información de la situación social y económica del usuario.
El método más comúnmente usado en la estimación de la DAP es la valoración contingente (Mogas et al., 2006). Este método puede evaluar la DAP o DAA y determinar los factores más importantes que motivan al usuario a pagar o aceptar cierta compensación por un incremento en la calidad del servicio (Mitchell y Carson, 1989). La diferencia entre estas dos medidas está en la forma de evaluar cómo un individuo responde, por un lado, a las ganancias y por otro, a las pérdidas (Brown y Gregory, 1999). Otra diferencia importante es la manera de redactar las preguntas. En este estudio, a los usuarios (i.e., pobladores de El Salto) se les preguntó la cantidad de dinero que estarían dispuestos a sacrificar de sus ingresos para obtener un mejoramiento en la calidad/cantidad de agua que actualmente reciben. Al proveedor del servicio (i.e., ejidatarios) se le preguntó la cantidad de dinero que estaría dispuesto a aceptar en compensación para proteger el área de captación de la microcuenca y favorecer la producción de agua para consumo doméstico. La versión exacta de las preguntas en cada caso se presenta en la tabla 1.
Los resultados que se obtienen de la DAP y DAA son también diferentes. En muchos trabajos de investigación, la cantidad ofrecida como DAA ha sido más alta que la cantidad ofrecida como DAP (Mitchell y Carson, 1989; Brown y Gregory, 1999; Amigues et al., 2002; Champ et al., 2003). El hecho de que la DAP sea menor que la DAA puede deberse a que en principio el individuo tiende a aceptar altas cantidades de DAA porque rechaza el derecho de propiedad implícito en el formato de DAP (Mitchell y Carson, 1989). Muchos individuos estarían de acuerdo en proteger un recurso siempre y cuando la compensación que reciban sea significativamente alta, en comparación con los dividendos que se obtendrían por no protegerlo. Además, cuando los individuos se desenvuelven en un ambiente de precaución, riesgo, incertidumbre y no cuentan con el tiempo suficiente para tomar una decisión ofrecen niveles bajos de DAP (alta DAA) comparados con una alta DAP (baja DAA) cuando estos factores no están presentes (Mitchell y Carson, 1989). Estas controversias han propiciado que muchos estudios abandonen la idea de estimar ambas medidas y se concentren en determinar únicamente la DAP (Amigues et al., 2002). En este estudio, considerando las diferencias en los derechos de propiedad entre usuarios y proveedores del recurso, se determinó utilizar ambas medidas.
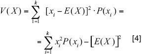
La DAP y DAA fueron calculadas usando el promedio o valor esperado E(X) de la distribución de probabilidad observada. En este caso,

Donde xi es la cantidad a pagar o aceptar, P(xi) la proporción de personas que estarían dispuestas a pagar/aceptar xi, y k es el número de categorías para la variable x. La varianza fue calculada con la expresión:

Tamaño de muestra
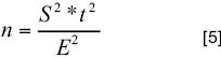
Para estimar la disposición a pagar (DAP) y la disposición a aceptar (DAA) se aplicaron varias encuestas a los usuarios del agua (público en general) y a los proveedores del SAH, respectivamente. El tamaño de muestra para los usuarios se determinó por medio de la ecuación convencional siguiente.

Donde n es el número de personas; S2 es la varianza de la variable de interés, t es el valor en tablas de la distribución t de Student (α= 0,05) y E es el error expresado en porcentaje (±6%). El tamaño de muestra encontrado fue de 242 encuestas. Los usuarios fueron seleccionados al azar usando un mapa de la ciudad y tratando de cubrir un rango amplio de diversos sectores de la población. Las preguntas principales de la encuesta se clasificaron en tres grandes grupos: a) la disponibilidad a pagar o los escenarios hipotéticos, b) información sobre las fuentes de abastecimiento y la importancia de los bosques en la producción del agua y c) los aspectos socioeconómicos de los entrevistados. De igual manera para los proveedores del servicio del agua que consta de 99 ejidatarios, se determinó una muestra de 21 personas.
RESULTADOS
La tabla 2 presenta un resumen de las características de los encuestados. Los factores demográficos más contrastantes entre usuarios y ejidatarios son el ingreso familiar y el porcentaje de mujeres que participó en las encuestas. El ingreso de los ejidatarios es el doble del ingreso percibido en promedio por los encuestados de la DAP. Además, el coeficiente Gini, una medida de la desigualdad económica, es más bajo para la muestra DAA que la DAP. Bajos coeficientes Gini sugieren que hay menos desigualdad económica y mejor distribución de la riqueza. Una posible explicación del alto porcentaje de mujeres en la encuesta DAP es que 41% de la muestra reportó la ocupación como "ama de casa", actividad mayoritariamente realizada por las mujeres en el hogar y las encuestas fueron hechas directamente en la vivienda. En contraste, sólo 14,3% de los encuestados de la DAA fueron mujeres. Los derechos de ejidatario se otorgan a los jefes de familia que generalmente son hombres. Estas características demográficas fueron comparadas con los datos del INEGI para la población de El Salto, P.N., encontrándose diferencias y similitudes en las variables. De manera general, los datos de estas encuestas se consideran aceptables dados los niveles de confiabilidad (95%) y error de muestreo (±6%) usados en la estimación del tamaño de muestra.
El volumen de escorrentía promedio, estimado por el balance hidrológico de masas propuesto por Návar (2008), para el periodo de 1945 a 2007 fue de 2 383 millones de metros cúbicos de agua por año (Mm3/año), con una desviación estándar de 1 289 y un intervalo de confianza (α= 0,05) de ±0,326. Es decir, utilizando la desviación estándar y suponiendo que los volúmenes escurridos se distribuyen normalmente, en 70 de 100 años, los volúmenes escurridos oscilan de 1 094 Mm3/año a 3 672 Mm3/año. Solamente en 15 de 100 años, los volúmenes son menores que 1 094 Mm3/año y en los 15 de 100 años restantes los volúmenes sobrepasan los 3 672 Mm3/año.
El volumen anual extraído de la presa La Rosilla II para suministrar de agua potable a la ciudad de El Salto es de 1,3 Mm3/año (Sideapas, 2007). Esta cantidad de agua no es suficiente para satisfacer la demanda total de agua de la ciudad. Considerando el promedio per cápita de uso del agua estimado por la Comisión Nacional del Agua (CNA) para regiones como El Salto en México de 195 litros por habitante por día (CNA, 1994), se requiere de un volumen anual de 1,55 M m3/año para abastecer a El Salto. Por esta razón existe un número importante de unidades habitacionales que no cuentan con el servicio de agua potable y, en otra parte importante de la ciudad, se raciona el agua en tiempo para poder administrar los recursos hidrológicos del embalse. Considerando el promedio de volumen de agua captado en la microcuenca durante los últimos 60 años (2 383 Mm3/año, desviación estándar de 1 289 Mm3/año), la satisfacción de la demanda (1,55 Mm3/año) se obtendría en el 70% de los años. Para que esto se cumpla, el manejo de la escorrentía de la microcuenca debe de administrarse adecuadamente en el embalse de La Rosilla II. Es decir, no debe haber pérdidas, sobre todo en los periodos en los cuales se presentan los caudales máximos.
Valoración económica de la oferta de agua
a) Valor de captación. Se calculó el costo de oportunidad para cada una de las actividades productivas en la microcuenca. Las utilidades que se dejan de percibir cada año (costo de oportunidad) por no realizar el aprovechamiento del pino y encino en las 730 ha arboladas de la microcuenca son del orden de los $2 338 784,00 lo cual representa $3 203,60/ha/año. Respecto a la ganadería, aunque se considera una amenaza para los bosques, en forma ordenada puede ser compatible con la silvicultura. Su costo de oportunidad en la microcuenca considerando su práctica dentro de la superficie arbolada, se estimó en $431,50/ha/año. Por último la agricultura se puede llevar a cabo en una superficie de 24 ha dentro de la microcuenca, con una utilidad de $10 500,00 /ha/año. Se ponderó la importancia que los usuarios del SAH atribuyen al bosque para la presencia del recurso agua, así como la valoración de la calidad del agua de la microcuenca por parte de los usuarios. Esta información se obtuvo mediante la encuesta de la DAP, obteniendo un valor ponderado de 63% para el primer caso y de 68% para el segundo.
La ecuación [1] se aplicó sólo para la microcuenca La Rosilla, por lo que el signo de sumatoria para dos o más cuencas fue ignorado. También se adecuó el volumen de agua captado por los bosques, la fórmula original considera el volumen en m3/ha/año, encontrando una posible incongruencia en el valor numérico del estudio de Barrantes y Castro (1999). La adecuación consistió en modificar el valor de Oci a un valor que considerara el volumen de escorrentía promedio anual de la microcuenca (en este caso de 2,3 Mm3/año) ajustado por un factor que se obtiene al dividir la superficie forestal entre la superficie de la microcuenca (730/944= 0,773) que resulta en el denominador de la ecuación [1]. Otra variante que se realizó en este trabajo para el cálculo del valor de captación fue el de incluir no sólo la actividad ganadera, sino también la silvicultura y la agricultura. Con los datos y variantes mencionados, se obtuvieron los siguientes resultados:

El valor de captación del agua en la microcuenca La Rosilla, tomando en cuenta las tres actividades mencionadas, es de $1 729 por metro cúbico de agua producida. Este valor de captación comprende la productividad del bosque en términos de las principales actividades económicas primarias que se deben de eliminar de la microcuenca con el objetivo único de manejarla para la producción de agua.
b) Valor de recuperación. Aplicando las mismas modificaciones realizadas al significado de la variable Oci en el modelo [2], en el cálculo del valor de recuperación se consideró el volumen de agua de escorrentía anual ajustado por la superficie arbolada entre la superficie total de la microcuenca La Rosilla; el valor ponderado de 63% que los usuarios del SAH asignan a la importancia del bosque para la existencia del agua y el número de hectáreas a reforestar, aproximadamente 10% de la microcuenca, es decir 94 ha. Al aplicar estos datos en el modelo [2] se obtiene un valor de recuperación de $0,311 por metro cúbico de agua para el primer año (VR1) y de $0,033 por metro cúbico de agua para los años siguientes (VR210) como se puede observar a continuación:

El VR corresponde al costo en que se debe incurrir para el establecimiento y mantenimiento de las plantaciones forestales en la microcuenca La Rosilla. Varía en el año uno de los años siguientes (dos al 10) debido a la reducción del costo relacionado únicamente con el mantenimiento de la plantación. La suma de los valores de captación y de recuperación resulta en un monto total de $2,04 por metro cúbico de agua para el primer año y de $1,76 por metro cúbico de agua para los años posteriores (2 al 10).
c) Costo de protección. Los costos de protección se basaron en el programa de manejo forestal para el ejido La Victoria (Hernández, 2007). En ese documento se especifican las actividades y metas a realizar para proteger especialmente la regeneración y el suelo. El costo total para el año inicial fue estimado en $330 285 y $106 935 para los años 2 al 10 (Tabla 3).
d) Costo de abastecimiento. De acuerdo con la información proporcionada por Sideapas (2007), el costo en que incurre este organismo para brindar el servicio de bombeo, almacenamiento, cloración, distribución, control de fugas y administración es de $350 270,00/año, es decir, $29 189,00/mes. El volumen mensual de extracción de agua de la presa La Rosilla II es de 108 500 m3, por lo que el costo unitario es de $0,27 por metro cúbico de agua. Estos costos no incluyen administración, mantenimiento del suministro, ni las nuevas inversiones en el establecimiento de redes de agua potable y alcantarillado. Cabe señalar que dicho organismo desconcentrado estima pérdidas de agua en el proceso de abastecimiento de hasta 30% del volumen que se extrae de la presa.
La suma de todos los costos incluyendo los valores de captación y recuperación se encuentran en la tabla 4. El costo total estimado del periodo es $35,58 millones con cerca de 13% a aplicarse en el primer año. El costo unitario de producción de agua está estimado en $2,49 por metro cúbico para el primer año y $2,09 por metro cúbico para los años restantes.
Escenario hipotético de la DAP
El resultado de la aplicación de la encuesta de la DAP indica que 90% de los entrevistados está dispuesto a realizar un pago por el servicio ambiental hidrológico. El restante 10% manifiesta que no realizaría ningún pago argumentando que es obligación del gobierno proporcionar el servicio de abasto del agua, así como que el agua es de todos y no se puede negar el derecho de usarla a nadie. Quienes sí están dispuestos a hacer un pago por el servicio ambiental hidrológico, preferirían hacerlo a través de SideapasPresidencia Municipal (46%), 31% desearía pagar a través de una Organización No Gubernamental, pues opina que le daría más transparencia y uso correcto a los recursos, a 10% le gustaría pagar directamente al ejido, 10% no contestó a la pregunta y 3% preferiría pagar a otro organismo diferente como podría ser una comisión de ejidatarios. Respecto a la forma de recolección del pago 41,3% opina que debe hacerse a través del mismo recibo del organismo operador del servicio hidráulico y casi el mismo porcentaje (40,5%) considera que debe hacerse en un recibo adicional. El 7,6% opinó que el pago debe hacerse directamente al ejido y 10,7% se reservó la respuesta.
Es notable que en buena medida la población tiene confianza en la empresa paraestatal que maneja los servicios del agua (Sideapas) para depositar el pago. En un trabajo similar realizado por Herrador y Dimas (2001) en El Salvador 49% de los encuestados prefiere hacer los pagos a una ONG y sólo 17% al organismo operador del sistema de aguas en el área metropolitana de San Salvador. Ante una segunda pregunta de si desearían pagar más de la cantidad que inicialmente contestaron, la respuesta afirmativa se redujo a 40%, contra 60% que manifestó que no pagaría más de lo indicado en la primera pregunta.
Utilizando las ecuaciones (3 y 4), la cantidad monetaria de la DAP de los usuarios del SAH en primera instancia, es decir, en la respuesta a la primera ocasión que se les preguntó fue en promedio de $27,54/mes, con una desviación estándar de 26,73 y un intervalo de confianza de ±3,573 (Figura 2). A la pregunta de si estaría dispuesto a pagar más, la cantidad se incrementó a $50,35 por mes pero la DAP se redujo a 40% de la muestra, en este caso la desviación estándar fue de 43,32 y el intervalo de confianza de ±8,712. Al observar la tendencia de la curva, se apreció que ésta no tiene una distribución normal, por lo que dichas ecuaciones no estimarían correctamente la DAP. Para compensar la tendencia exponencial de la curva, se estimó la mediana, una medida más robusta a distribuciones probabilísticas no normales (Mogas et al., 2006). En este caso, la mediana de la DAP se calculó en $17,18/mes.

Escenario hipotético de la DAA
Cien por ciento de los entrevistados manifestó estar dispuesto a recibir o aceptar un pago compensatorio por la prestación del SAH para abastecer de agua a El Salto, P.N., Durango. En la primera ocasión que se les preguntó sobre la DAA, a la cual todos respondieron en forma positiva (Figura 3), el monto promedio ponderado que aceptarían como pago es $7,14/ha /año (desviación estándar igual a 7,22), que multiplicado por la superficie forestal de la cuenca (730 ha) equivale a $434,35/mes. Al preguntarles si estarían dispuestos a aceptar una cantidad menor a la que contestaron inicialmente, sólo cinco personas (5,1% de la población) aceptarían recibir en promedio ponderado $6,29/ha/año. Al igual que la DAP, la tendencia de la curva no tiene una distribución normal por lo que se usó la mediana para tener un mejor estimador. La mediana de la DAA fue de $5,26/ha/ año o $320,00/mes.
Se percibió que aún sin mucho conocimiento científico en el tema, los ejidatarios están convencidos que el bosque juega un papel muy importante en el ciclo hidrológico y en la producción de agua. Esta apreciación se ve fortalecida con los resultados obtenidos en una de las preguntas de la encuesta de la DAA, en la cual se plantea una serie de tratamientos silviculturales al bosque y se les cuestiona sobre cuáles serían más convenientes de aplicar para la producción de agua. Las respuestas señalan que los tratamientos no adecuados, es decir que no se deben aplicar, son las cortas a matarrasa, las cortas de regeneración, los aclareos y las cortas de selección. Coincidentemente, el orden en que se presentan es el mismo orden que guardan las intensidades de corta que generalmente se prescriben en estos tratamientos silvícolas dentro de los programas de manejo forestal. En contraparte, los tratamientos que se consideran muy adecuados o adecuados son la no corta y la reforestación, esto último coincide con lo señalado en la importancia que dan los ejidatarios de La Victoria a la presencia de los bosques para la producción de agua en la microcuenca.
De ser factible el pago por parte de los usuarios por la prestación del SAH en la microcuenca La Rosilla, se preguntó a los ejidatarios a través de quién les gustaría recibir el pago, obteniendo como respuesta: Comisariado ejidal 43%, comisión integrada por ejidatarios 19% y Sideapas 38%. En cuanto a la forma de recibir el pago, preferirían hacerlo en primera instancia a través de un pago directo al ejido (42,8%) y en segundo término mediante depósito en cuenta bancaria del ejido (28,6%) y a través de Sideapas (28,6%). A diferencia de los usuarios del servicio, los ejidatarios prefieren en primera instancia aunque por poco margen, que los recursos se paguen a su comisariado ejidal y en segundo término a Sideapas.
DISCUSIÓN
En la comparación de los resultados de la DAP con otros estudios se observan ciertas diferencias. Por un lado, Herrador y Dimas (2001) estimaron la DAP en el área metropolitana de San Salvador en 3,89 dólares por mes, la cual a una tasa de cambio de $11 por dólar (abril 2008) y tasa de descuento de 6%, equivale a $64,3/mes, muy por encima de la cantidad mencionada en este trabajo que fue de $17,18/mes. Por otro lado, LópezPaniagua et al. (2007), encontraron que la DAP en la región de Tapalpa, Jalisco fue en promedio $2,48/mes ($29,86/año), una cantidad que ellos mismos señalan como insuficiente para contrarrestar los efectos de cambio de uso del suelo. Con estas dos referencias es prácticamente imposible hacer una comparación realista, lo cual llama a la necesidad de estimular este tipo de investigaciones en México. De acuerdo a los rangos de variación, la DAP en la región de El Salto se ubica en un punto medio.
Es interesante observar que la distribución probabilística de la DAP sigue un comportamiento similar a una distribución tipo exponencial con pendiente negativa (Mitchell y Carson, 1989). La distribución de la DAA es un poco diferente pero sigue teniendo la misma tendencia que la DAP (Figura 4). La curva de la DAA indica que la mayoría de los ejidatarios encuestados aceptó una compensación relativamente baja en lugar de aceptar compensaciones altas. Esto puede deberse a varias razones: la primera es que el tamaño de muestra para el cálculo de la DAA fue relativamente bajo para poder aspirar a los niveles de distribución encontrados en otros estudios. La segunda es que pudo haberse presentado una de las fallas de mercado, esto es, un conocimiento imperfecto del valor real de los servicios hídricos en el que no existe una información homogénea de los beneficios tangibles e intangibles que este bien trae a la sociedad para hacer su valoración. Una tercera razón, es que la información pudo haber reflejado un problema muy frecuente en estudios que utilizan la valoración contingente: la presencia de errores hipotéticos que se acentúan con muestras pequeñas. Este tipo de errores se atribuye, a su vez, a la presencia de valores de uso pasivos, como por ejemplo la importancia del recurso agua para generaciones futuras, y a la falta de conocimiento de este tipo de usos e inconsistencias en la información captada (Schläpfer, 2008). Los encuestados responden a las preguntas con la información que cuentan en ese momento pero carecen del significado y valor real de los valores de uso pasivo. Una última explicación tiene que ver con el carácter dual de los ejidatarios, en que muchos de ellos son también usuarios directos del servicio. Esta situación se puede traducir en un ambiente de confusión sobre los derechos de propiedad adquiridos como usuario y proveedor del servicio al mismo tiempo. Algunos ejidatarios aceptaron una compensación relativamente baja por el hecho de que tarde o temprano ellos mismos podrían verse en una situación de tener que pagarla.
A pesar de la tendencia de la curva de la distribución probabilística de la DAA, los resultados indican que en promedio ésta fue más alta que la DAP. La DAA fue estimada en $320,00 por mes mientras que la DAP en $17,18/mes. Los resultados coinciden con la mayoría de los estudios de valoración contingente en donde la DAP es menor que la DAA (Mitchell y Carson, 1989). En este caso, los ejidatarios tienden a exigir una mayor compensación por el no aprovechamiento de sus recursos forestales y favorecer la captación y almacenamiento de agua en la presa "La Rosilla", mientras que los usuarios a pagar menos por un potencial incremento en la calidad/cantidad en el servicio. Sin embargo, al generalizar los valores para su población respectiva, la DAP fue obviamente más alta que la DAA. La DAP total para la población de El Salto, considerando un total de 5 689 viviendas (INEGI, 2005), se estimó en $1,17 millones por año con un rango de variación (basado en el coeficiente de error estándar) de $1,11 a $1,32 millones por año, mientras que la DAA total para el ejido La Victoria, considerando un total de 98 ejidatarios, se estimó en $376,000/ año variando entre $280,000/año y $472,000/año.
La suma total de los costos de producción resultaron en una cantidad de $4,46 millones en el primer año y $3,46 millones en los años restantes (Tabla 4). Estos costos incluyen el valor de captación, valor de recuperación, costos de protección y costos de abastecimiento o entrega del agua al usuario. Los resultados indican que la cuota económica obtenida en la DAP de los usuarios del servicio ambiental hidrológico no es suficiente para cubrir los costos totales de producción de agua en la microcuenca. En este caso, otras alternativas se deben buscar para cubrir la diferencia que haga posible mejorar la calidad del servicio sin comprometer la integridad del ecosistema de la microcuenca. Aquí se incluyen programas de servicios ambientales como captura de carbono o producción de agua del programa ProÁrbol o incluso a través de subsidios gubernamentales. Otras acciones podrían ser el desarrollo de talleres, cursos u otros mecanismos de concientización entre la población que ayuden a elevar la eficiencia en el uso del agua. También se incluye la renovación de equipo y material de extracción y distribución, porque según el personal de Sideapas, existen pérdidas de hasta 30% del volumen de agua que se extrae de la presa.
CONCLUSIONES
El objetivo de este trabajo fue generar conocimiento en la valoración de servicios ambientales hidrológicos en la región de El Salto, P.N., Durango. En la valoración de mercado, se estimaron costos de captación, recuperación, restauración, protección y abasto de agua a los residentes de El Salto. En promedio, los costos totales de producción fueron de $2,49 por metro cúbico de agua para el año inicial y de $2,09 por metro cúbico de agua para los años posteriores. Estos costos no consideran gastos de administración, mantenimiento, apertura, operación ni tampoco tratamiento de aguas residuales, por lo que es probable que al final se eleven significativamente. Las formas de implementar este costo es un tema de investigación adicional.
Noventa por ciento de los usuarios encuestados está dispuesto a pagar alguna cantidad por conservar las fuentes de abastecimiento de agua. A su vez, 100% de los ejidatarios estaría dispuesto a aceptar un pago por proveer el servicio hidrológico ambiental, aunque la distribución probabilística indica que los ejidatarios estarían dispuestos a aceptar una cuota de compensación baja. Los resultados sugieren que ambos sectores de la población están dispuestos a participar en el mejoramiento del servicio de calidad/cantidad del agua. También se apreció que 46% de los participantes estaría dispuesto a dar el pago al organismo municipal Sideapas, encargado de administrar el recurso.
Al igual que muchos otros estudios, los resultados de este trabajo indican que a nivel individual la DAP es menor que la DAA. El beneficio unitario de la DAP es igual a $0,003/L/día/persona mientras que la DAA es igual a $0,054/L/día/ persona. Esto tiene mucha significancia en la planeación y manejo de SAH dado que los usuarios tienden a subvalorar el servicio mientras que los proveedores a sobrevaluarlo. Las diferencias entre estas dos medidas del bienestar social han ocasionado que la DAA frecuentemente se ignore en muchos estudios, dejando a la DAP como la base fundamental en la valoración de servicios ambientales. A nivel población, los resultados de la DAP indican que los beneficios esperados son menores que los costos de producción, por lo que un potencial incremento en la calidad del servicio del agua en esta región requiere otras fuentes de financiamiento. Aquí se incluye a organismos gubernamentales, no gubernamentales y desde luego la misma sociedad.
AGRADECIMIENTOS
Se agradece a los directivos y ejidatarios de La Victoria por permitir realizar este estudio, a Sideapas por la información facilitada y a las personas entrevistadas por aceptar y contestar las encuestas. Nuestro reconocimiento también a la Comisión Nacional Forestal y al Centro Interdisciplinario de Investigación para el Desarrollo Integral Regional (CIIDIR) Unidad Durango del Instituto Politécnico Nacional, por la voluntad y disposición de apoyar técnica y económicamente este estudio.
REFERENCIAS
Amigues, J.P., C. Boulatoff, B. Desaigues, C. Gauthier, y J.E. Keith. 2002. The benefits and costs of riparian analysis habitat preservation: a willingness to accept/willingness to pay contingent valuation approach. Ecological Economics 43:1731. [ Links ]
Barrantes, G. y E. Castro. 1999. Implementación de un esquema de cobro y pago por servicio ambiental hídrico: el caso de la empresa de servicios públicos de Heredia, S.A. Costa Rica. [ Links ]
Barzev, R. 2002. Guía metodológica de valoración económica de bienes, servicios e impactos ambientales. Proyecto para la consolidación del corredor biológico mesoamericano. Serie técnica núm. 4. Managua, Nicaragua. 149 p. [ Links ]
Barzev, R. 2003. Estudio de valoración económica de la oferta y demanda hídrica del bosque en que nace la fuente del río Chiquito (finca El Cacao, Achuapa). Implementación de mecanismos de pagos por servicios hídricos. http://www.fao.org/Regional/LAmerica/Foro/psa/pdf/estudio.pdf. (último acceso 14 de octubre de 2008). [ Links ]
Barzev, R. 2004. Guía metodológica de valoración económica de los recursos hídricos. Estudio de caso cuenca del río Humuya, Honduras. Borrador. 66 p. [ Links ]
Brown, T.C. y R. Gregory. 1999. Why the WTAWTP disparity matters. Ecological Economics 28:323335. [ Links ]
Champ, P.A., K.J. Boyle y T.C. Brown. 2003. A primer on nonmarket valuation. Norwell, MA. Kluwer Academic Publishers. [ Links ]
CFE (Comisión Federal de Electricidad). 1998. Manifiesto de impacto ambiental modalidad general de la presa La Rosilla II. Elaborado en convenio con CNA. Durango, México. [ Links ]
CNA (Comisión Nacional del Agua). 1994. Lineamientos técnicos para la elaboración de estudios y proyectos de agua potable y alcantarillado sanitario, CNA. México, D.F. [ Links ]
CNA (Comisión Nacional del Agua). 2005. Estadísticas del agua en México. Sistema Unificado de Información Básica del Agua. CNA. México, D.F. [ Links ]
CNA (Comisión Nacional del Agua). 2007. Estadísticas del agua en México. Sistema Unificado de Información Básica del Agua. CNA. México, D.F. [ Links ]
Conafor (Comisión Nacional Forestal). 2007. Protección, restauración y conservación de suelos forestales. Manual de obras y prácticas. Gerencia de suelos forestales. 3a. edición. México, D.F. 300 p. [ Links ]
DOF (Diario Oficial de la Federación). 2007. Acuerdo por el que se publican las reglas de operación del Programa Proárbol de la Comisión Nacional Forestal. Segunda sección. México, D.F. [ Links ]
FAO (Food and Agriculture Organization). 2005. Situación de los bosques del mundo. Dirección de información de la FAO. 6a. edición. Roma, Italia. [ Links ]
García, E. 1987. Modificaciones al sistema de clasificación climática de Köppen (adaptación a la República Mexicana). 4a. edición. México, D.F. 130 p. [ Links ]
Hernández, F.J. 2007. Programa de manejo forestal 20072017 nivel avanzado del ejido La Victoria, Pueblo Nuevo, Durango, México. [ Links ]
Herrador, D. y L. Dimas. 2001. Valoración económica del agua para el área metropolitana de San Salvador. Prisma. San Salvador. [ Links ]
INEGI (Instituto Nacional de Estadística, Geografía e Informática). 2005. II Conteo de población y vivienda por localidad. Disco compacto. México. [ Links ]
Manzano, C.M., J. Návar, M. Pando y A. Martínez. 2000. Overgrazing and desertification in Mexico: Highlights on the northeastern region. Annals of Arid Zone 39:285304. [ Links ]
Mogas, J., P. Riera y J. Bennett. 2006. A comparison of contingent valuation and choice modelling with secondorder interactions. Journal of Forest Economics 12:530. [ Links ]
Mitchell, R.C. y R.T. Carson. 1989. Using surveys to value public goods: the contingent valuation method. Washington, D.C. Resources for the future. [ Links ]
MuñozPiña, C., A. Guevara, J.M. Torres y J. Braña. 2008. Paying for the hydrological services of Mexico's forests: Analysis, negotiations and results. Ecological Economics 65(4):725736. [ Links ]
Návar, J. 2008. Métodos y modelos para proyectos sustentables en ecosistemas forestales. CIIDIRIPN. Durango. Inédito. [ Links ]
Rosa, H., S. Kandel y L. Dimas. 2004. Compensación por servicios ambientales y comunidades rurales. Lecciones de las Américas y temas críticos para fortalecer estrategias comunitarias. Editado por Programa Salvadoreño de Investigación sobre Desarrollo y Medio Ambiente (Prisma); Instituto Nacional de Ecología (INESemarnat); Consejo Civil Mexicano para la Silvicultura Sostenible, A.C. (CCMSS). México, D.F. 125 p. [ Links ]
Semarnat (Secretaría de Medio Ambiente y Recursos Naturales). 2005. Ley general de desarrollo forestal sustentable y su reglamento. Comisión nacional forestal. México, D.F. 267 p. [ Links ]
Schläpfer, F. 2008. Contingent valuation: a new perspective. Ecological Economics 64:729740. [ Links ]
Sideapas (Sistema Descentralizado de Agua Potable, Alcantarillado y Saneamiento de El Salto). 2007. Entrevista personal con el director y el subdirector del Sideapas de El Salto. H. Ayuntamiento de Pueblo Nuevo, Durango. [ Links ]
Silva, F.R. 2006. Estudio para el fortalecimiento de las actividades productivas en la empresa forestal ejidal "La Victoria", municipio Pueblo Nuevo, Durango. Informe final. ConaforProcymaf II. Durango, México. 29 p. [ Links ]
1 Todos los costos y precios de productos en este estudio son en pesos mexicanos y representados por el símbolo $
Este documento se debe citar como: SilvaFlores, R., G. PérezVerdín y J.J. NávarCháidez. 2010. Valoración económica de los servicios ambientales hidrológicos en El Salto, Pueblo Nuevo, Durango. Madera y Bosques 16(1):3149.













