Servicios Personalizados
Revista
Articulo
Indicadores
-
Citado por SciELO -
Accesos
Links relacionados
-
Similares en
SciELO
Compartir
Agricultura técnica en México
versión impresa ISSN 0568-2517
Agric. Téc. Méx vol.34 no.2 México abr./jun. 2008
Artículos
El cedro rojo (Cedrela odorata L.) como alternativa de reconversión de terrenos agrícolas en el sur de Tamaulipas*
Red cedar (Cedrela odorata L.) as reconversion alternative of agricultural lands in the south of Tamaulipas
Celene RamírezGarcía1, Gil VeraCastillo2, Fernando CarrilloAnzures3§ y Octavio Salvador MagañaTorres3
1 Gerencia Estatal de Tamaulipas, Comisión Nacional Forestal, SEMARNAT.
2 División de Ciencia Forestales, Universidad Autónoma Chapingo.
3 Área Forestal, Campo Experimental Valle de México, INIFAP.
§Autor para correspondencia:
fcarrill@colpos.mx
* Recibido: Julio de 2006
Aceptado: Enero de 2008
RESUMEN
La reconversión productiva implica modificar el patrón de producción tradicional, mediante el establecimiento de cultivos alternativos con mayor alternativa agronómica, rentabilidad económica y viabilidad social. Una opción de reconversión es el establecimiento de plantaciones forestales. El objetivo de este trabajo fue determinar la factibilidad de convertir terrenos agrícolas abandonados en plantaciones forestales comerciales, el estudio fue conducido de 20002003. Esta factibilidad se determinó mediante la evaluación de la supervivencia, el crecimiento, estado de sanidad y vigor de una plantación de cedro rojo (Cedrela odorata L.) ubicada en el Ejido Doroteo Arango, Tamaulipas. Los resultados del muestreo señalaron que, a tres años de establecida la plantación, se tiene una supervivencia de 93%, un crecimiento promedio en diámetro de 1.72 cm y 1.46 m en altura. Aún cuando se tuvo ataque de Hypsipyla grandella (Zeller), la proporción de árboles sanos es de 90.3% y la proporción de árboles vigorosos de 84.36%. Los valores obtenidos de supervivencia, crecimiento, sanidad y vigor muestran que el cedro rojo tiene una buena adaptación y crecimiento; lo que permite afirmar que el establecimiento de plantaciones forestales comerciales de cedro en el sur de Tamaulipas es una opción viable para reconvertir terrenos agrícolas abandonados.
Palabras clave: Cedrela odorata L., crecimiento, plantaciones forestales comerciales, reconversión productiva.
ABSTRACT
The productive reconversion implies to modify the pattern of traditional production, through the establishment of alternative crops with higher agronomic viability, economic profitability and social viability. A reconversion option is the establishment of forest plantations. The objective of this work was to determine the feasibility of converting abandoned agricultural lands in commercial forest plantations, the study was conduced from 20002003. This feasibility was determined through the assessment of the survival, growth, health and vigour of a plantation of red cedar (Cedrela odorata L.) located in the Ejido Doroteo Arango, Tamaulipas. At three years of established the plantation, a survival of 93%, a growth diameter average of 1.72 cm and 1.46 m in height was found. Although attack of Hypsipyla grandella, 90.3% were healthy trees and the proportion of vigorous trees was 84.36%. The obtained values of survival, growth, sanity and vigour of the assessed plantation show that the red cedar has a good adaptation and growth; this allow to affirm that the establishment of commercial forest plantations of cedar in the south of Tamaulipas is a good option for abandoned agricultural lands.
Key words: Cedrela odorata L., reconversion alternative, forest comercial plantations, growth.
INTRODUCCIÓN
El marco normativo de la Ley de Desarrollo Rural Sustentable (LDRS) considera que las diferentes instituciones deberán coordinarse de una manera integral en los programas dirigidos al desarrollo rural. De tal manera, que estos contemplen un mejoramiento sostenido de las condiciones de vida de la población rural, además de procurar el uso óptimo, conservación y mejoramiento de los recursos naturales, orientándose a la diversificación de las actividades del sector primario (SAGARPA, 2001).
La mencionada ley constituye la base legal del Programa Integral de Agricultura Sostenible y Reconversión Productiva en Zonas de Sequía Recurrente (PIASRE), el cual dirige sus acciones a contrarrestar las causas recurrentes de siniestralidad y la degradación de las tierras frágiles que están expuestas a fenómenos adversos que padecen algunas regiones de nuestro país (SAGARPA, 2003).
Así, la reconversión productiva representa un instrumento hacia donde puede avanzar la producción agropecuaria y forestal en el corto, mediano y largo plazo. Con ello, se pretende lograr un mayor nivel de participación de la comunidad, para decidir el rumbo del desarrollo agrícola regional, de acuerdo con su potencialidad. La reconversión productiva implica modificar el patrón de producción tradicional, mediante el establecimiento de cultivos alternativos con mayor viabilidad agronómica, social y rentabilidad económica. De esta forma, se puede cambiar un cultivo anual establecido por otro del mismo ciclo. Otra variante consiste, en el cambio de cultivos anuales por perennes, como sucede cuando se modifica de cultivos anuales de temporal por pastizales o por plantaciones forestales.
Las plantaciones forestales comerciales en México han adquirido gran importancia en los últimos años. En el sur del estado de Tamaulipas, en terrenos agrícolas abandonados en donde se solían cultivar hortalizas o cereales, se presentan condiciones edafológicas y climatológicas deseables para el establecimiento de este tipo de plantaciones; además, de que se cuenta con mano de obra abundante y mercado nacional e internacional para los productos forestales.
Dentro de las opciones más atractivas que se tienen para el establecimiento de plantaciones forestales están las orientadas a obtener celulosa para papel o productos forestales maderables. Para climas templados se recomienda el uso de especies de coníferas, principalmente los pinos; mientras que para climas tropicales las especies preciosas. Dos de las especies preciosas del trópico mexicano más importantes son el cedro rojo (Cedrela odorata L.) y la caoba (Swietenia macrophylla King), ambas de gran demanda comercial por sus excelentes características maderables y alto valor comercial (Bertoni, 1978). La madera de cedro rojo es de características excelentes, el uso futuro más indicado para esta especie, por el bello jaspeado de su madera, es la fabricación de chapas y madera terciada con fines de exportación (Pennington y Sarukhán, 1998). Además, a nivel nacional las maderas preciosas siempre han tenido buena aceptación y un precio elevado en comparación de otras especies, teniendo un déficit de producción nacional que a la fecha ha provocado una demanda insatisfecha (Rojas, 1995).
Las plantaciones forestales comerciales ofrecen diversas ventajas para los inversionistas (SEMARNAT, 2001):
• Diversificación del portafolio de inversiones
• Tasa de retorno competitiva a largo plazo
• Predictibilidad del ingreso si el manejo está bajo control y el mercado para la madera producida está asegurado
• Las previsiones de demandaoferta a nivel internacional son positivas
• La competitividad de la madera de las plantaciones es generalmente mejor, que la del bosque natural (homogeneidad del producto, acceso y condiciones de extracción más fáciles, etc.)
• Imagen positiva por la inversión "verde".
El objetivo de este trabajo fue determinar la factibilidad de convertir terrenos agrícolas abandonados en plantaciones forestales comerciales. Esta factibilidad se determinará mediante la evaluación de la supervivencia y el crecimiento de una plantación forestal comercial de cedro rojo (Cedrela odorata L.) ubicada en el Ejido Doroteo Arango, Tamaulipas.
MATERIALES Y MÉTODOS
Localización geográfica
La plantación de cedro rojo evaluada está localizada a 7 km de la presa Ramiro Caballero, el terreno pertenece al Ejido Doroteo Arango, municipio de González, estado de Tamaulipas, con coordenadas 22° 36' 04.4" latitud norte y 98° 34' 55.0" longitud oeste. El predio se ubica a una altura de 321 msnm.
Clima
Según la clasificación de Köppen, modificado por García (2004), el clima que predomina en la región es el (A) Ca (wo) (e) w" semicálido subhúmedo, en el cual se agrupan los subtipos de humedad media, siendo la precipitación en el mes más seco menor de 60 mm; la oscilación térmica anual es extremosa. La temperatura media anual es de 24.5 °C y las temperaturas máximas se registran en mayo, julio y agosto, la precipitación promedio es de 737.4 mm (INEGI, 2001).
Suelos
En la región se encuentran suelos de tipo Vertisol pélico de textura fina, con un horizonte A con una profundidad de 0 a 25 cm, textura arcillosa y consistencia muy dura en seco, presenta facetas de fricciónpresión. Son suelos muy arcillosos que descansan sobre aluviones profundos, tienden agrietarse considerablemente en época de secas y contienen porcentajes muy elevados de arcilla en todo su perfil.
Establecimiento de la plantación
Preparación del sitio. Se realizó una quema controlada antes de iniciar el establecimiento de la plantación comercial en una superficie de 14 ha, ya que tratándose de áreas agrícolas se tenía el rastrojo de los vegetales que anteriormente se cultivaban y este material fue eliminado mediante una quema controlada. Se realizaron labores de nivelación y bordeo con maquinaria agrícolas a fin de facilitar riegos, captar y conservar la humedad y mejorar el drenaje del terreno. Se realizaron trabajos de subsoleo para permitir un amplio y profundo desarrollo radicular, factor clave en el caso del cultivo de árboles.
Diseño y establecimiento de la plantación. El diseño de plantación fue en marco real, distribuyendo las plantas a una distancia de 4 m entre hileras y 3 m entre planta y planta. Se utilizó el sistema cepa común, con dimensiones de 40 x 40 x 40 cm. La época de apertura de cepas se realizó en el mes de agosto con la finalidad de permitir la aereación e intemperización del material dentro de la cepa.
La plantación se estableció en septiembre de 2000, en una superficie de 14 ha, con una densidad de 833 plantas por ha, lo que representa un área de crecimiento de 12 m2 por árbol, esto con el fin de garantizar una distribución adecuada de los recursos del sitio (agua, suelo, luz) entre los árboles.
Manejo de la plantación
Fertilización. Las especies forestales requieren de ciertos elementos nutritivos del suelo, de manera que si algunos son escasos deben ser agregados, por lo cual en la plantación se realizó una fertilización orgánica al momento de la plantación y tres fertilizaciones inorgánicas después de plantados los árboles cada 6 meses.
La primera fertilización se realizó utilizando gallinaza en el mes de octubre. La cual presenta un contenido nutricional, en gr kg1, siguiente: nitrógeno 17; fósforo 0.8; potasio 5.7; calcio 1.12; magnesio 0.7 y azufre 2. El abono se aplicó en el fondo de la cepa asegurándose de cubrirlo con tierra. La cantidad aplicada fue de 1.5 t ha1.
Las siguientes fertilizaciones se realizaron con abono inorgánico comercial conocido como Triple 17® con una dosis de 100 kg ha1. La aplicación del Triple 17® se realizó manualmente en cada uno de los brinzales. La cantidad aplicada para cada brinzal fue de 120 g.
Control de malezas. Este control fue una de las primeras labores de mantenimiento con el objeto de eliminar plantas de otras especies que compitan por espacio, humedad y elementos nutritivos con los cedros, manteniéndolos en condiciones óptimas de crecimiento. La plantación de cedro rojo se estableció bajo un sistema de manejo con deshierbes cada tres meses. La maleza fue controlada en forma química aplicando el herbicida Faena® cada tres meses. La proporción fue de 0.5 g L1 ha1, respectivamente, esto se realizó en los meses de octubre, enero, abril y junio. Además se limpió la parcela mecánicamente dos veces al año, con una chaponeadora.
Control de plagas. La principal plaga del cedro rojo es el llamado barrenador del cedro (Hypsiphylla grandella). La larva de este insecto barrena los brotes apicales aún no lignificados de los árboles jóvenes y consume la médula de arriba hacia abajo. El brote de la yema principal muere, provocando posteriormente su ramificación y achaparramiento.
El barrenador se presentó en una superficie aproximada de media hectárea, sin embargo, no causó grandes estragos en la población. Para el combate de la plaga se aplicó por aspersión los insecticidas Reyen® y Rimón®, con una avioneta Marca Cessna TXR y un equipo de aspersión compuesto por boquillas con espreas de calibre TK 0.5 y 7.5 y lías de conducción de aproximadamente 10 m. La aplicación se realizó cada cuatro meses, a partir de los meses de abril mayo, que es cuando las temperaturas son elevadas y es la época de mayor actividad de la plaga. La dosis aplicada fue de 1.5 L ha1.
Podas. Se realizó una poda por año en la plantación, a partir de un año de edad, para lograr un tronco recto y un crecimiento mayor en altura. La poda se llevó a cabo en los meses de junio a septiembre. Se puso especial cuidado en los arbolitos que fueron dañados por el barrenador de la yema ya que éstos tendieron a producir una gran cantidad de ramillas, las cuales se eliminaron, dejando solamente la más recta.
La poda se ejecutó antes de que los árboles tuvieran diámetros mayores de 10 cm y las ramillas de 4 a 5 cm, sellando los corte s con pintura para prevenir la pudrición por hongos. El corte de la poda fue liso, sin perturbar el tallo, pero sin dejar ningún pedazo en él.
Protección de la plantación. La plantación fue cercada con alambre de púas en 1 500 m a lo largo del predio. Para la prevención de incendios forestales se realizó el patrullaje por una brigada. Los patrullajes se realizan todo el año pero se intensifican los recorridos durante la época crítica (marzojunio). Sin embargo desde el momento de la plantación hasta la actualidad no se han presentado ese tipo de siniestros.
Variables evaluadas
La metodología de evaluación que se llevó a cabo es la establecida en el Manual de Verificaciones del Programa para el Establecimiento de Plantaciones Forestales Comerciales (PRODEPLAN), elaborado por la Comisión Nacional Forestal (CONAFOR, 2003). Las variables evaluadas fueron: supervivencia, crecimiento, vigor y sanidad. La evaluación se realizó por medio de un muestreo por conglomerados (Scheaffer et al., 1987).
Distribución de los sitios de muestreo. Para realizar una distribución sistemática de los sitios, se empleó una retícula, donde se ubicaron el número de puntos, representando cada uno a un sitio, correspondiendo a una determinada intensidad de muestreo. Las distancias entre líneas de muestreo y entre sitios fueron iguales. La intensidad de muestreo utilizada fue de 1.2% con sitios de muestreo de 100 m2, con una equidistancia de 140 m; con esta intensidad de muestreo se tiene una precisión de 5% con una confi abilidad de 95% (CONAFOR, 2003).
Forma y tamaño de los sitios de muestreo. En evaluaciones recientes de supervivencia de arbolado menor de 3 m de altura y densidades de plantación de 1 000 a 1 400 árboles ha1 se han empleado parcelas de 100 m2, de forma circular (5.64 m de radio) por lo que e s el tamaño y forma de los sitios de muestreo que se utilizaron en esta evaluación, haciendo la selección sistemática.
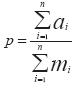
Estimación de la supervivencia
La evaluación de la supervivencia permite obtener una medida cuantitativa del éxito de la plantación bajo la influencia de los factores del sitio. El valor que se obtiene es la proporción de árboles que están vivos en relación a los árboles efectivamente plantados, esto se puede calcular mediante la siguiente ecuación:

donde:
p= proporción estimada de árboles vivos
ai = número de plantas vivas en el sitio de muestreo i
mi= número de plantas vivas y muertas en el sitio de muestreo i.
Para obtener la sobrevivencia de la plantación se extrapolan los datos de la superficie de muestreo a la totalidad de la plantación.
Estimación de crecimiento en diámetro y altura
La evaluación del crecimiento se realizó tomando los datos alcanzados para cada uno de los árboles que se ubican dentro del sitio de muestreo, a la edad de 12, 24 y 36 meses de establecida la plantación. Los datos que se consideraron fueron el diámetro normal (una altura aproximada a 1.3 m) y la altura total de la planta en m.
De forma adicional se calculó el área basal, la cual es un indicador del volumen de madera por hectárea. El área basal se calculó mediante la siguiente expresión:
AB= 0.7854 D2
donde:
AB= área basal en m2
D= diámetro normal medido a la altura de 1.30 m sobre el nivel del suelo.
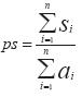
Evaluación del estado sanitario
Esta evaluación permite conocer la proporción de árboles sanos respecto de los árboles vivos en la plantación. Se considera que un individuo está sano cuando no presenta daños por plagas o síntomas de enfermedades en cualquiera de sus estructuras. La ecuación que se utilizó para calcular la sanidad es la siguiente:

donde:
ps= proporción estimada de árboles sanos
si= número de árboles sanos en el sitio de muestreo i
ai = número de árboles vivos en el sitio de muestreo i.
Registro de datos. La toma de datos en los sitios de muestreo se realizó a los doce meses (noviembre de 2001), 24 meses (noviembre de 2002) y 36 meses (noviembre de 2003) después del inicio de la plantación. Los datos colectados en campo fueron: número de sitio, número de árbol, vivo o muerto, diámetro normal (cm), altura total (m), longitud de copa (m), diámetro promedio de la copa (m), vigor, estado sanitario y agente causal.
Estimación del vigor de la plantación
El vigor de una plantación se describe como la proporción de organismos vigorosos del total de los árboles vivos. El vigor se clasificó de la siguiente forma: bueno, cuando la planta presentaba un follaje denso, color verde intenso y tenía amplia cobertura de copa; regular, cuando el árbol mostraba una follaje menos denso, color de verde seco a amarillento y follaje medio; malo, cuando la planta tenía el follaje amarillento, follaje ralo y hojas débiles. La fórmula para el cálculo del vigor de la plantación se muestra a continuación:

donde:
pv= proporción estimada de árboles vigorosos
vi = número de árboles vigorosos en el sitio de muestreo i
ai = número de árboles vivos en el sitio de muestreo i.
RESULTADOS Y DISCUSIÓN
Supervivencia
La Figura 1 presenta el número de árboles vivos que se encontraron en cada una de las mediciones por sitio de muestreo. Con base en el distanciamiento utilizado en la plantación, el número máximo de individuos en un sitio de 100 m2 es de 9. En la Figura 1 destaca que en los sitios 1, 2, 3, 4, 7, 9 y 10 la sobrevivencia fue del 100%; mientras que en los sitios 5, 6, 8, 11 y 12 tuvieron variaciones en las tres tomas de datos.

La primera evaluación de la supervivencia mostró que de la totalidad de árboles plantados, 93.5% estaban vivos. Si bien se realizó una reposición de las plantas muertas, con el fin de aprovechar la totalidad de la superficie de plantación, la evaluación realizada en el segundo año de vida de la plantación reveló un porcentaje de supervivencia de 94.4%. Por segunda y última vez se volvió a reponer las plantas muertas. En la tercer evaluación se obtuvo una supervivencia de 93.5 %.
Estos resultados son muy buenos si se considera que Arteaga e Izaguirre (2004) realizaron la evaluación de la supervivencia de una plantación de varias especies tropicales bajo tres sistemas de plantación en el municipio Othón P. Blanco, Quintana Roo. Para el caso específico de cedro rojo determinaron un porcentaje de supervivencia de 72.30% usando el sistema Taungya, 48.50% en brechas bajo dosel protector y 62.76% mediante el enriquecimiento en fajas. Por otro lado, el Programa Nacional de Plantaciones Forestales Comerciales (PRODEPLAN) exige un mínimo de 90% de sobrevivencia durante el primer año de plantación, que es el período en que se presenta la mayor mortalidad en la plantaciones forestales (CONAFOR, 2003), por lo que obtener 93% al tercer año de establecida la plantación es un buen resultado para esta variable.
Crecimiento en diámetro y altura
La Figura 2 muestra el diámetro normal promedio en los doce sitios de muestreo de las tres evaluaciones realizadas. Para la primer evaluación, el sitio cuatro tuvo el mayor incremento promedio en diámetro (4.69 cm); mientras que los sitios 10, 11 y 12 fueron los que presentaron los diámetros menores; estos sitios están ubicados en la parte sur de la plantación y presentan un estado sanitario regular, así como un vigor menor al promedio de la plantación.

Así, el diámetro promedio para la plantación a los 12 meses fue de 2.28 cm, a los 24 meses de 3.33 cm y a los 36 meses de 5.17 cm; esto implica un crecimiento en diámetro de 1.72 cm por año.
Por otro lado, la Figura 3 muestra los resultados promedio de las mediciones, por sitio, relacionadas con la variable altura (m). Al tercer año de establecida la plantación se tiene un máximo de 6.3 m de altura promedio de los árboles presentes en los sitios 1 y 3; en contraste, el sitio con menor crecimiento fue el 12, donde la altura de los árboles presentes no rebasa los 3 m en promedio.

La altura promedio de los árboles a un año fue de 2.11 m; a los 2 años, de 3.14 cm y al tercer año 36 meses de 4.40 cm. Así, el crecimiento anual promedio en altura es de 1.46 m.
Estos resultados son comparables a los observados por Cintron (1990), quien señala que una vez superada la etapa vulnerable de brinzal, el cedro es un árbol de crecimiento muy rápido, añadiendo 2.5 cm o más en diámetro y 2 m de altura al año bajo buenas condiciones. Juárez (1988) reportó un crecimiento promedio anual de 0.43 cm en diámetro y 0.78 m en altura en los primeros cinco años de una plantación que se realizó en diferentes tipos de suelos y que se evaluó durante 20 años. Rojas (1995) realizó una evaluación dasométrica de una plantación de cedro rojo combinada con maíz en los Tuxtlas, Veracruz y encontró un crecimiento anual promedio en altura de 1.72 m y 4.7 cm en diámetro. Además reportó que en una plantación de 21 meses de edad se tiene una altura de 4.17 m y 9.5 cm de diámetro bajo condiciones climáticas favorables.
Una vez obtenidos los diámetros se calculó el área basal de los sitios y se obtuvo una media por año que indica que del primer al segundo año se obtuvo un incremento de 0.4117 m2 ha1 y del segundo al tercer año un aumento de 1.265 m2 ha1, lo cual es un alto incremento en volumen para la plantación por unidad de superficie (Figura 4).

Estado fitosanitario
En algunas partes de la plantación se detectó el ataque del barrenador de yemas de las meliáceas (Hypsipyla grandella), el cual demeritó la calidad de varios árboles ya que al perder la yema principal tendieron a bifurcarse. Este insecto se detectó en los sitios 5, 8 y 11.
En los sitios 5, 8 y 11 se presentó daño por el barrenador de yemas del cedro rojo, el cual si bien no los mató, demeritó mucho la calidad de los árboles y se refleja en un estado sanitario regular de dichos sitios.
La estimación de la proporción de árboles sanos en la plantación es 90.3%, con un error de estimación de 0.0721. Por ello, la sanidad de la plantación se puede considerar buena, sobre todo al tomar en cuenta que una vez que los árboles alcanzan dos metros de altura difícilmente serán atacados por esta plaga.
Parraguirre ( 1993) supone que el estado de susceptibilidad de la plaga al barrenador de las meliáceas está asociado con el tamaño y vigor de las plantas, ya que el ataque del insecto persiste en plantas pequeñas de 0.25 a 2.0 m de altura y la reacción de las plantas se produce más rápidamente en los sitios más favorables para el crecimiento en laderas y pie de las colinas, mientras que en los suelos arenosos esta recuperación es más lenta por las condiciones desfavorables para el desarrollo de las plantas. De igual forma, Vega (1974) reporta que en Surinam, los brinzales, con una alta demanda de luz, escapan del ataque del barrenador después de 3 ó 4 años si son robustos y el crecimiento subsecuente es rápido en los sitios favorables.
Vigor
Dentro de las condiciones físicas en que se desarrollan los árboles de la plantación, se observó que el factor que agrupa a la mayoría de los sitios con mejor desarrollo son aquellos que tienen suelo de tipo Vertisol pélico de textura fina con mayor presencia de materia orgánica.
Los sitios 1, 7 y 9 mantuvieron un vigor bueno durante los tres años de medición, caso contrario los de vigor más deficiente fueron los sitios 3 y 6 para el 1° y 2° año de plantados (Figura 5).

Con los datos se calculó una estimación de la proporción de árboles vigorosos de 84.36%, con un error de estimación de 0.0914.
Como pudo observarse, hay factores que se mantuvieron constantes para toda la plantación, como es el caso de la disponibilidad de luz, agua, densidad de plantación, fertilización, control de malezas, podas y protección de la plantación; las variaciones en la supervivencia, crecimiento en diámetro y altura y vigor se deben al ataque del barrenador de Meliáceas, así como la variación en el contenido de arcilla del suelo.
CONCLUSIÓN
Los valores obtenidos de supervivencia, crecimiento en altura y diámetro, sanidad y vigor de la plantación evaluada en este estudio muestra que el cedro rojo tiene una buena adaptación y crecimiento; lo que permite afirmar que el establecimiento de plantaciones forestales comerciales de cedro en el sur de Tamaulipas es una opción viable para reconvertir terrenos agrícolas abandonados.
LITERATURA CITADA
Arteaga, M. B. e Izaguirre, R. C. 2004. Comportamiento de especies tropicales bajo tres sistemas de plantación. Foresta Veracruzana 6(1):4551. [ Links ]
Bertoni, V. R. 1978. Trabajos realizados sobre plantaciones forestales, en el Campo Experimental Forestal Tropical "El Tormento". In: Reunión Nacional de Plantaciones Forestales. INIF. Pub. Esp. N° 13. México, D. F. p. 287291. [ Links ]
Cintron, B. B. 1990. Cedrela odorata L. Cedro hembra, Spanish cedar. In: Burns, Russell M.; Honkala, Barbara H., eds. Silvics of North America: 2. Hardwoods. Agric. Handb. 654. U.S. Department of Agriculture. Forest Service .Washington, D C. p. 250257. [ Links ]
Comisión Nacional Forestal (CONAFOR). 2003. Manual para la verificación de la propuesta técnica, forestal y ambiental de los beneficiarios del PRODEPLAN (Aspectos Técnicos). Coordinación General de Producción y Productividad. Gerencia de Plantaciones Forestales Comerciales. Programa para el Desarrollo y Establecimiento de Plantaciones Forestales Comerciales. Zapopan, Jalisco. 26 p. [ Links ]
García, E. 2004. Modificaciones al sistema de clasificación climática de Köeppen. Quinta Edición. Ed. UNAM, Instituto de geografía. México, D. F. 90 p. [ Links ]
Instituto Nacional de Estadística, Geografía e Informática (INEGI) 2001. Mapa temático de climas del Estado de Tamaulipas. Escala 1: 1 000 000. [ Links ]
Juárez, B. C. 1988. Análisis del incremento periódico de Swietenia macrophylla King y Cedrela odorata L. en un relicto de selva en el Estado de Campeche. Tesis profesional. Universidad Autónoma Chapingo. División de Ciencias Forestales. México. 87 p. [ Links ]
Parraguirre, L. C. 1993. Métodos de enriquecimiento de las selvas de Quintana Roo. Ciencia Forestal en México. 18(74):6579. [ Links ]
Pennington, T. D. y Sarukhán, J. 1998. Árboles tropicales de México. Manual para la identificación de las principales especies. 2a. ed. Universidad nacional Autónoma de México y Fondo de Cultura Económica. México, D. F. 498 p. [ Links ]
Rojas, M. G. 1995. Experiencias de plantación forestal comercial de Cedrela odorata L. en sistemas agroforestales en la región de Los Tuxtlas, Veracruz. Memoria de experiencia profesional. Universidad Autónoma Chapingo. Chapingo, Estado de México. 85 p. [ Links ]
Scheaffer, R. L.; Mendenhall, W. y Ott, L. 1987. Elementos de muestreo. Trad. Rendón, S. G. y Gómez, AJ. R. Grupo Editorial Iberoamérica, México, D. F. 321 p. [ Links ]
Secretaría de Agricultura, Ganadería, Desarrollo Rural, Pesca y Alimentación (SAGARPA). 2001. Ley de Desarrollo Rural Sustentable. Diario Oficial de la Federación 7 de Diciembre de 2001 (Segunda sección). México. p. 4180. [ Links ]
Secretaría de Agricultura, Ganadería, Desarrollo Rural, Pesca y Alimentación (SAGARPA). 2003. Reglas de Operación del Programa Integral de Agricultura Sostenible y Reconversión Productiva en Zonas de Siniestralidad Recurrente (PIASRE). Diario Oficial de la Federación 20 de junio de 2003. México. p. 2738. [ Links ]
Secretaría de Medio Ambiente y Recursos Naturales (SEMARNAT). 2001. Programa estratégico forestal para México 2025. México, D. F. p 157. [ Links ]
Vega, L. 1974. Influencia de la silvicultura sobre el comportamiento de Cedrela en Surinam. Mérida, Venezuela. Instituto Forestal Latinoamericano de Investigación y Capacitación. Bol. 4648. p. 10. [ Links ]













