Servicios Personalizados
Revista
Articulo
Indicadores
Links relacionados
-
Similares en
SciELO
Compartir
Estudios sociales (Hermosillo, Son.)
versión impresa ISSN 0188-4557
Estud. soc vol.17 no.34 Hermosillo jul./dic. 2009
Artículos
Esquemas de innovación tecnológica y su transferencia en las agroempresas frutícolas del estado de Michoacán
José Alberto Zarazúa*, José Luis Solleiro**, Reyes Altamirano Cárdenas***, Rosario Castañón Ibarra**** y Roberto Rendón Medel*****
* Centro Interdisciplinario de Investigación para el Desarrollo Integral Regional (CIIDIR), Instituto Politécnico Nacional (IPN) unidad Michoacán. Correo electrónico: alberto.zarazua@gmail.com
** Centro de Ciencias Aplicadas y Desarrollo Tecnológico (CCADET), Universidad Nacional Autónoma de México (UNAM). Correo electrónico: solleiro@servidor.unam.mx
*** CIESTAAM, UACh. Correo electrónico: reyesalca@yahoo.com
**** CCADET, UNAM. Correo electrónico: rosarioc@servidor.unam.mx
***** Red Innova Consultores S. C. Correo electrónico: robertorendon_2000@yahoo.com
Fecha de recepción: junio, 2008.
Fecha de aceptación: julio, 2008.
Resumen
La presente investigación tuvo como objetivo caracterizar los esquemas de innovación tecnológica y su transferencia en las agroempresas frutícolas del estado de Michoacán; para ello se mapeó una red de 137 nodos del sistemaproducto guayaba de la región oriente de la entidad. Con el software Keyplayer 2, se calcularon los tres actores clave difusores y estructuradores, y con NetDraw se determinaron los actores conformantes de la red primaria, ello hizo un total de 33 nodos entrevistados. De éstos, se seleccionaron tres actores para efectuar el estudio de caso. Dichos actores fueron elegidos por su propensión a compartir información técnicoadministrativa, por su nivel del Índice de Adopción de Innovaciones (INAI), la Velocidad de Adopción de Innovaciones (VAI) y su relación beneficiocosto. Se encontró evidencia de que los agroempresarios son los principales actores en el proceso de difusión de innovaciones, un actor impacta a cinco y éstos en doce actores más en promedio, quienes además son los responsables de realizar funciones directamente atribuibles a organizaciones no gubernamentales e instituciones de gobierno. Se diseñó una estrategia de gestión de la innovación y transferencia tecnológicas, la cual contó con dos niveles bien definidos, el nivel táctico y operativo.
Palabras clave: redes sociales, guayaba, proceso de difusión de innovaciones, actores clave.
Abstract
This research had as objective to characterize the schemes of technological innovation and their transference in the fruit agroenterprises. They were identified 137 nodes of the guava systemproduct complex in the East Region of Mexico's Michoacán State. The three key diffuser and disrupter nodes were calculated with Keyplayer 2 software and the others actors integrating the primary network were identified using the NetDraw 2.055 software, with a total of 33 nodes interviewed. Three actors were selected to carry out detailed studies. These actors were chosen by their propensity to share economic and technical information, their level of Innovations Adoption Index (INAI), of Innovations Adoption Speed (VAI) and the benefitcost relationship. The results shown the farmers are the main actors in the process diffusion of innovations, with a ratio of 1 actor affecting to 5 and these to other 12 actors in average. These actors assume several functions directly attributable to government institutions and nongovernmental organizations. Subsequently the proposal consists to design a strategy of management of the technological innovation and its transference, which will have to count on two well defined levels, the tactical and operative level, after the strategic level.
Key words: Social networks, Psidium guajava, innovations diffusion process, keyplayers.
Introducción
El contexto actual en el que se encuentra la innovación tecnológica es de constante cambio. La generación, el acceso y la adaptación de conocimientos, aunados a la aparición y difusión acelerada de nuevas tecnologías, exigen adaptaciones permanentes, lo que sin duda constituye en un reto para la sociedad en su conjunto. El crecimiento económico y social, el mantenimiento del empleo y la competitividad, pasan inevitablemente por la innovación y la transferencia tecnológica. Sin embargo, la situación en el ámbito rural no es satisfactoria en cuanto a dicho proceso se refiere, hecho que puede analizarse en función de la situación actual del campo mexicano.
El ritmo de crecimiento del producto agropecuario ha sido la mitad del resto de la economía mexicana y menor también que el de otros países insertos en el proceso de apertura y liberalización económica (México tuvo 1.3% de 1982 a 2000, mientras que los Estados Unidos tuvieron 3.7%; Corea, 2.3%; China, 5.0%; Costa Rica, 3.6%; Vietnam, 4.6% y Chile, 3.3%, para ese mismo periodo); la ocupación rural se redujo en los últimos años en más de un millón de empleos (Ibarra, 2005:354398) y la migración en los últimos cinco años representó más de dos millones de personas (2.2 millones) y el ritmo se incrementa cada vez más (Zúñiga et al., 2005:20), y ha llegado a alcanzar para el año 2000, 8.8 millones de habitantes.
Una de las alternativas para mejorar esta situación lo representa el desarrollo del concepto de "competitividad estructural" empleado por la Organización para la Cooperación y Desarrollo Económico (OCDE), que plantea dar énfasis a la innovación como factor central del desarrollo económico; activar potencialidades de aprendizaje e innovación en todas las áreas y promover redes de colaboración orientadas a la innovación y apoyadas por las diversas instituciones y por un contexto institucional capaz de fomentar la innovación (Esser et al., 1996:3952).
Teniendo en cuenta que el proceso innovativo y la transferencia misma son procesos multidimensionales, que por su propia naturaleza conllevan una serie de interacciones, tanto al interior de las empresas rurales como entre éstas y entre organizaciones y/o grupos de agroempresarios en ámbitos tan diversos (como son lo económico, técnico y social), habría de esperarse que los "policymakers" mexicanos no las aborden desde una visión lineal, concibiendo al proceso innovativo (investigación básica, investigación aplicada, desarrollo tecnológico, marketing y comercialización) y la transferencia de tecnología (generación de tecnología, validación, transferencia y adopción) como espacios inflexibles y sumamente ordenados, que van del paso uno al paso cuatro. Esto repercute en que su éxito se explique en términos de un número limitado de factores, cuando en la realidad, se trata de un conjunto de ellos estrechamente interrelacionados, funcionando en conjunto para crear y reforzar el tipo de entorno que facilita el éxito de la innovación y de la transferencia tecnológica, situación únicamente perceptible y valorable desde la óptica de las Redes Sociales.
Tal perspectiva reconoce explícitamente que la innovación, producción y comercialización de un producto, no pueden ser llevadas a cabo por una única empresa, sino sólo en colaboración con otros agentes y como resultado de la interacción de los mismos (Koschatzky, 2002:15). Así, mediante el estudio de las redes, es posible reconocer las estructuras de poder (organizaciones, grupos de actores, etcétera), con lo que a partir de su identificación, análisis y gestión, es posible facilitar procesos de intervención para el desarrollo individual de los nodos (actores) y de la red en general; de allí la importancia de realizar estudios de caracterización de las redes de innovación.
No obstante este enfoque no es nuevo y sus orígenes se remontan al ámbito de la antropología y de la psicología social, pero en años recientes se ha aplicado en campos muy diversos como la política, medicina, economía, movilidad social (Domínguez, 2004) y por supuesto en estudios de gestión de la innovación agropecuaria. En este último ámbito, dos estudios pioneros contaron con el patrocinio de la Fundación Produce Michoacán A. C. (FPm), el primero de ellos en el Valle de Apatzingán en el año 2003 con el sistemaproducto limón mexicano (Muñoz et al., 2004); y el segundo, a nivel estado con doce sistemasproducto en el proyecto "gestión de redes de innovación para los sistemasproducto del estado de Michoacán" durante 20052006.
Posteriormente (20072008) la mencionada perspectiva es utilizada por la Secretaría de Agricultura, Ganadería, Desarrollo Rural, Pesca y Alimentación (SAGARPA), bajo la implementación de las Agencias para la Gestión de la Innovación (AGI)1 en diez entidades federativas (Chiapas, Chihuahua, Distrito Federal, Jalisco, Estado de México, Michoacán, Nayarit, Querétaro, Tabasco y Tlaxcala), abarca un total de veinte redes de valor en nueve cadenas agroalimentarias y giros (hortalizas en invernadero, ovinos, cacao orgánico y convencional, bovinos, palma de aceite, aguacate, ganado criollo para rodeo, turismo rural y pequeña agroindustria).
El objetivo del presente trabajo fue caracterizar los esquemas de innovación y transferencia tecnológicas en el sistemaproducto guayaba de la región oriente del estado de Michoacán, mediante la aplicación de la perspectiva de Redes Sociales. La conjetura hipotética que guía la investigación es la siguiente: "Considerando la naturaleza y el carácter informal de las redes sociales, los flujos de información y de innovaciones tecnológicas (apropiación y desarrollo) muestran niveles de articulación y difusión basados en información cualitativa relevante que determinan su desarrollo. Por tanto, el comportamiento innovativo de cada agroempresario en lo individual se encuentra influenciado por el comportamiento de la red agroempresarial e institucional en la que se encuentra inmerso".
Primero, se aborda el marco contextual, el escenario de las políticas de innovación que han sido aplicadas en el medio rural. Segundo, se aborda el marco teórico en el que se circunscribe el estudio. Tercero, se presenta el marco metodológico empleado, resaltando la aplicabilidad de la perspectiva de redes sociales en el sector rural como herramienta metodológica para la apreciación del statu quo de las redes de valor. Cuarto, los resultados obtenidos son socializados, con especial énfasis en el accionar de los actores involucrados en el proceso innovativo y de transferencia así como sus respectivas funciones.
I. Cambio institucional para el proceso innovativo y de transferencia tecnológica
El problema que ha arrastrado el sector agropecuario para mejorar su capacidad de competir en cualquier mercado es la deficiente claridad en cuanto a aplicar conocimiento para generar riqueza, es decir, implementar en todo lo que implica la innovación, que es todo cambio basado en conocimiento que genera riqueza (Muñoz et al., 2007:249). Por ejemplo, a partir de los noventa el gobierno mexicano reinició la reducción del aparato nacional de investigación científica y lo que se había ganado en favorecer la capacidad de generación endógena de tecnología para hacer frente a las incesantes necesidades del sector rural, se cayó, aunado a que descuidaron las otras fases de la innovación, por lo que no se ha logrado a cabalidad la innovación interna necesaria para responder a las carencias del sector rural especialmente. Hoy se promueve la asimilación de tecnología proveniente del extranjero, buscando que con ello que el aparato científico y tecnológico mexicanos generen las capacidades tecnológicas intrínsecas para su adopción y difusión, proporcionando así, mayor protagonismo a la iniciativa privada.
Así, se han desregulado los procedimientos para la importación de tecnología y existe una mayor apertura a la inversión extranjera en sectores prioritarios para la nación, con el argumento de que esta es la estrategia clave para incidir de manera óptima en la transferencia de tecnología. Por su parte, en el gran escenario empresarial, se modificó la legislación sobre la propiedad industrial para otorgar un mayor plazo de garantía a las empresas en la protección de las patentes, se eliminaron áreas de patentado restringido y el derecho del Estado para expropiar patentes. Adicionalmente, la inversión en ciencia y tecnología se ha mantenido constante y con tendencia a la baja con respecto al Producto Interno Bruto tanto para los sectores industrial y agropecuario; afianzando a México como un seguidor tecnológico. Sin embargo, simultáneamente se debilitó la capacidad del aparato nacional de investigación para la adopción y validación y, lo que es más grave, para continuar con la generación endógena.
Con lo anterior se ha roto el ciclo completo de la innovación, que comienza con la investigación o conocimiento tácito, tecnología, adopción, mercado, riqueza, lo que trae como consecuencia empleos e ingreso; si se interrumpe en alguna etapa, aunque se tengan excelentes investigaciones de frontera, se tendrán pobres resultados productivos y comerciales (Muñoz et al., 2007:250).
Al respecto Solleiro y Pérez (1996:146148) mencionan que en la agricultura, las grandes empresas e instituciones de países industrializados, son los principales actores de la innovación tecnológica; de tal manera que el acceso a las nuevas tecnologías para dicho sector, se encuentra en función del dominio sobre los procesos de transferencia y difusión de la tecnología, por encima de su generación. Es decir, que como buen seguidor tanto México como el sector agropecuario se ubican dentro de los sectores tradicionales y, por tanto, se caracterizan por la presencia de muchos innovadores, geográficamente dispersos y sin límites espaciales específicos para el conocimiento y existe un bajo grado de oportunidad, apropiación y acumulación del conocimiento a nivel de las empresas. Además, el conocimiento para las actividades de innovación es relativamente simple, genérico y en gran parte incorporado en equipo, materiales y procesos productivos.
En este contexto, no se favorece la creación de ventajas competitivas debido al bajo grado de oportunidad incentivos y mecanismos de protección de las innovaciones en la búsqueda de conocimiento que conduzca a la generación de innovaciones, ello ocasiona que la innovación en el sector no sea tan dinámica. Se da paso así al posicionamiento de la participación estatal en los procesos de investigación y transferencia tecnológica y se propicia la intervención de las organizaciones y las instituciones para reforzar la dinámica de la innovación (Solleiro et al., 1996:252).
En este escenario, la investigación agrícola del Instituto Nacional de Investigaciones Forestales, Agrícolas y Pecuarias (INIFAP), principal institución de investigación agropecuaria y forestal de nuestro país, se ha debilitado considerablemente. A partir de mediados de los años ochenta se ha restringido la contratación de investigadores y se ha reducido el personal. Se estima que tal reducción ha sido hasta de 40% en algunos de los centros de investigación, tan sólo en la década de los noventa. Igualmente, la política salarial no estimula una estrategia de retención y capacitación de investigadores. Se ha restringido gravemente el presupuesto de operación de los campos experimentales y modificado la forma de acceso a los recursos para financiar los proyectos de investigación, mediante el establecimiento de fondos concursables.
En la segunda mitad de la década de los ochenta, el INIFAP se ocupó de formar Patronatos Regionales de apoyo a la investigación en los que se involucra la participación de productores con financiamiento. Para 1995 se reporta la existencia de 56 patronatos para apoyar tanto la investigación agrícola como la pecuaria y forestal (Polanco, 1996:165). Sin embargo, bajo las nuevas orientaciones de involucrar más a la iniciativa privada en las actividades de planeación, financiamiento y evaluación de la investigación esos patronatos dieron pie a la formación de las Fundaciones Produce.
De esta manera, la necesidad de reformar las actividades públicas de investigación y extensión para alinearlas a las necesidades del sector productivo originó que en 1996 se crearan los Organismos Públicos No Gubernamentales (OPNG) gestionados directamente por productores con facultades para tomar decisiones de asignación de recursos para Investigación y Transferencia de Tecnología (I+TT). A estos OPNG se les denominó Fundaciones Produce (FP) y se creó una por cada entidad federativa. Su orientación fue la identificación y priorización de las demandas de I+TT y la canalización de recursos fiscales mediante fondos concursables asignados a una entidad pública o privada con la capacidad necesaria para atender la demanda en cuestión. Con este paradigma institucional donde la demanda rige las acciones de I+TT (demandpull) se buscó incrementar la participación de los agroempresarios en la definición y atención de prioridades. Sin embargo, a poco más de diez años de que las FP se encuentran vigentes, se continúa el proceso de mejora para que sus acciones incidan de manera significativa en la competitividad en los diversos sistemasproducto. Por otro lado, la Ley de Desarrollo Rural Sustentable considera la creación del Sistema Nacional de Investigación y Transferencia de Tecnología para el Desarrollo Rural Sustentable (SNITT). Ambos muestran participación en el proceso de I+TT nacional.
La presente investigación asume el hecho de que tanto las Fundaciones Produce como el SNITT, representan estructuras institucionales con amplia experiencia y elementos valiosos factibles de retomar para mejorar el impacto de los recursos públicos empleados. No obstante, se señalan como limitantes en las acciones realizadas por ambos organismos los siguientes: 1) el deficiente impulso al ciclo completo de la innovación, 2) la difusión de resultados de los proyectos de I+TT al grueso de la población objetivo, 3) la consideración de los espacios locales como medios de innovación y difusión y 4) la ausencia de definición de una estrategia de identificación de actores clave para mejorar substancialmente la difusión y la consideración del territorio como espacio de generación de innovación y valor.
Al respecto, hay que enfatizar que la tendencia de la competencia en los mercados globales se está dando actualmente entre sectores o cadenas completas, no entre unidades productivas aisladas (Diez de Sollano y Ayala, 2004:38). Por tanto, el estudio de las relaciones entre actores de sectores o cadenas se vuelve fundamental, al igual que la innovación. De hecho, se plantea que los elementos medulares del concepto de "competitividad estructural" empleado por la Organización para la Cooperación y Desarrollo Económico (OCDE) son: énfasis en la innovación como factor central del desarrollo económico; una organización agroempresarial en este caso capaz de activar potencialidades de aprendizaje e innovación en todas sus áreas operativas y, por último, redes de colaboración orientadas a la innovación y apoyadas por las diversas instituciones y por un contexto institucional capaz de fomentar la innovación (Esser et al., 1996:3952), temas que son objetivo de estudio del presente trabajo.
II. Enfoque teórico
Para estudiar la caracterización de los esquemas de innovación y transferencia tecnológicas en el sistemaproducto guayaba de la región oriente del estado de Michoacán, se tomaron como base los conceptos de perspectiva de redes sociales y aprendizaje tecnológico (conocimiento tácito y explícito). Así, la perspectiva de redes sociales se encuentra conformada por dos ámbitos complementarios: por un lado las Redes Sociales como método de intervención social con inicios fuertemente marcados por estudios antropológicos en sociedades tribales africanas de la década de los años cincuenta; por el otro, el Análisis de Redes Sociales como herramienta metodológica que comprende la faceta cuantitativa y cualitativa de las redes sociales y que es resultado de un sinfín de investigadores, entre ellos, físicos, matemáticos y demás especialistas (Zarazúa, 2007:84, 85).
Se habla de una "perspectiva" con la idea de aludir al conjunto de circunstancias que rodean al observador y que influyen en su percepción o en su juicio de las cosas, ya que desde el momento en que es posible visualizar gráficamente una red de actores, ya sea de un municipio, de una organización o de una institución por igual, es posible evaluar logros, analizar obstáculos, generar nuevas alternativas e implementar soluciones. Todo esto a través de un proceso transversal y horizontal de "saberes", que promueven la homogeneización del conocimiento y la complementariedad de talentos (modificado de Dabas y Perrone, 1999:3; modificado de Maya et al., 2001:1, 2), con una visión relacional, es decir, en la que el análisis no se construye a priori de las categorías sociales o atributos, sino por medio de los lazos o vínculos entre los actores involucrados e incluso no estando directamente relacionados y unidos como para constituir grupos (Granovetter, 1973:1360).
El aporte de la perspectiva de las redes sociales en el sector agropecuario y rural permitió profundizar el conocimiento de la estructura productiva en el oriente del estado de Michoacán bajo un enfoque sistémico. En él, los vínculos o relaciones presentes en la red de valor influencian el accionar de cada actor o nodo en lo individual; incide de esta forma en el proceso innovativo y su difusión con mecanismos de aprendizaje tecnológico muy concretos. Aquí, la naturaleza de las relaciones que se establece entre los actores (reconocimiento, conocimiento, colaboración, cooperación, asociación e inclusive la competencia), contribuyen a la transformación gradual de la actividad económica y la dinámica social de los habitantes de ese espacio geográfico (modificado de Rovere, 1999:24, 25; Wasserman y Faust, 1999:20).
Por tanto, el aprendizaje tecnológico se concibe como un proceso mediante el cual los agroempresarios crean conocimiento y adquieren capacidades tecnológicas (Bell, 1984:138156; Villavicencio y Arvanitis, 1994:257279) mediante el ir y venir en la famosa espiral de Nonaka y Takeuchi (conocimiento tácitoexplícito). Por su parte Teece et al. (1997: 509533), aseveran que el aprendizaje tecnológico es un proceso que envuelve repetición y experimentación, lo cual hace posible realizar de mejor manera las tareas e identificar nuevas oportunidades de producción. De esta forma, el aprendizaje es un proceso y el conocimiento un resultado del aprendizaje. En cuanto al lugar en donde éste ocurre, es variable y se puede llevar a cabo en los laboratorios formales de investigación y desarrollo como en el puesto de trabajo de los empleados, aunque no exclusivamente. Desde esta perspectiva, se han identificado diversas fuentes de cambio tecnológico, muchas de ellas endógenas al proceso agrícola en particular (Lara y DíazBerrio, 2003:936947).
Es conveniente insistir en que el aprendizaje tecnológico no es automático, es gradual y acumulativo por naturaleza, dado que se constituye como un proceso social, colectivo, local y con una dimensión tácita. Situación por la que Bell (1984:190) indica que es necesario invertir directamente en aprendizaje para acumular capacidades tecnológicas; más aún, la acumulación de capacidades y la asimilación de la transferencia tecnológica requieren de una estrategia deliberada de aprendizaje en función del tipo de conocimiento conocimiento tácito/explícito y del fin adquirir/transferir (Dahlman y Valadares, 1987:154182; Kim, 1998:506521).
El conocimiento explícito es aquel que se sabe, se posee y, por tanto, es el más fácil de compartir con los demás ya que se encuentra estructurado y muchas veces esquematizado para facilitar su difusión. Según Collison y Parcell (2003:33) está basado en datos concretos, los cuales pueden ser expresados en lenguaje formal, por lo que son codificables y transferibles, siempre y cuando el receptor posea las claves adecuadas para aprovecharlo, tales como fórmulas, ecuaciones, software, entre otras. La codificación es importante, pues con ella se reducen los costos de adquisición y difusión del conocimiento (Foray, 1997:6485), al igual que los costos imputables al aprendizaje tecnológico, por lo que suele hablarse de un tipo de conocimiento commodity.
El conocimiento tácito es aquel que permanece en un nivel "inconsciente", generalmente se encuentra desarticulado y se implementa y ejecuta de una manera mecánica, dado que se compone de ideas, habilidades y valores del individuo (Collison y Parcell, 2003: 33). Es adquirido por la experiencia y transferido por demostración (Foray, 1997:6485). Por su dificultad para ser codificado es más difícil de compartir y su validez se remite al ámbito en el que es generado. En este sentido, la única forma de transferir este conocimiento es a través de un tipo específico de interacción social entre quienes lo poseen y los que quieren acceder a él. No puede ser vendido y comprado en el mercado y su transferencia es extremadamente sensible al contexto social. De esta manera se fortalece el llamado de conocimiento público y privado, pues la interacción de las redes permite que lo público se fortalezca, con códigos que son propios a esas redes, y por ello su importancia (Lundvall y Johnson, 1994:2342).
Lundvall y Johnson (1994:2342) mencionan que bajo la predisposición actual a la codificación de todo tipo de conocimiento existen marcadas diferencias en función de éste a catalogar. Por ejemplo, lo más codificado comúnmente responde al knowwhy y knowwhat,2 debido a que ambos se vinculan con las capacidades tecnológicas, de esta manera, se codifica el conocimiento científico que no se está produciendo recientemente y por tanto donde no hay competencia por alcanzarlo. Mientras, los esfuerzos para codificar el knowhow son viables, la codificación del knowwho3 es más complicada debido a la vinculación con las capacidades tecnológicas operacionales. Esto quiere decir, aquellos conocimientos y experiencias necesarios para usar las tecnologías desarrolladas por otros de manera eficiente (al respecto consultar Lall, 2000:1368), con lo que para lograr dicha codificación, se requiere de las redes sociales como método de estudio de la interacción social.
Los conceptos teóricos, perspectiva de redes sociales y aprendizaje tecnológico, permitirán caracterizar los esquemas de innovación tecnológica y su transferencia en un sector tradicional como la agricultura.
III. Marco metodológico
El estudio realizado se enmarca desde un enfoque exploratoriodescriptivo, se auxilia de un estudio de caso realizado a tres actores del sistemaproducto guayaba de la región oriente del estado de Michoacán y de la perspectiva de las redes sociales, como herramienta de análisis y metodología de intervención.
Área de estudio
El estudio se realizó en los municipios de Jungapeo, Benito Juárez, Zitácuaro, Tuxpan, Susupuato y Tuzantla en la región oriente del estado de Michoacán, principal zona productora de guayaba del estado. La zona se caracteriza por ser relativamente nueva en la producción de guayaba. En 1990 representaba 1.4% de la superficie nacional cosechada; para 2006 ya participaba con 39.0% de dicha superficie. Sus rendimientos son ligeramente superiores a los de la media nacional (14.0 y 13.4 toneladas por hectárea, respectivamente), pero inferiores a Aguascalientes en casi dos toneladas por hectárea (SIACON, varios años). El presente trabajo se desarrolló en esta zona debido a la solicitud de las instituciones relacionadas.
Rumbo a la selección de los actores objeto de estudio de caso
Mapeo de Grandes Actores (MGA). Permitió dar inicio a la fase de campo e identificar a los actores clave difusores y estructuradores, para enseguida realizar con ellos el Mapeo Detallado de Actores y luego el estudio de caso. En la siguiente figura se indican las etapas seguidas para determinar los actores objeto del estudio de caso en cuestión.
El MGA inició a partir de veintiún agroempresarios reconocidos, es decir, con prestigio en la región oriente del estado por su forma de producir, mismos que fueron entrevistados. Proporcionaron información de sus vínculos o relaciones con otros agroempresarios, proveedores de insumos y equipo, actores de funciones múltiples, instituciones de enseñanza e investigación, instituciones de gobierno, organizaciones de productores, prestadores de servicios profesionales y despachos de consultoría, lo que permitió construir la red.
Los veintiún agroempresarios fueron categorizados de acuerdo a su perfil considerando los siguientes roles: a) aquellos que se constituyen como influyentes o líderes de opinión reconocidos, b) aquellos considerados de apoyo para la implementación de proyectos, introducción de innovaciones, etcétera, c) y aquellos reconocidos como de bloqueo, quienes son actores que eventualmente, y sin interés manifiesto, resultan en rivales ante una iniciativa de gestión de la innovación. El número total de actores "mapeados" fue de 137, entre los que se encontraron once comercializadores, 85 agroempresarios, diez actores de funciones múltiples, dos instituciones de enseñanza e investigación, ocho instituciones de gobierno, tres organizaciones de productores, once proveedores (de insumos, equipo, entre otros) y siete Prestadores de Servicios Profesionales (PSPs) y despachos de consultoría rural. Las entrevistas se llevaron a cabo del 4 al 16 de marzo de 2007.
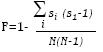
Mapeo Detallado de Actores (MDA). La identificación y selección de actores clave se realizó con el software keyplayer 2, mismo que se enfoca en la identificación de un grupo de nodos caracterizados por la habilidad de recibir todo tipo de información de la mayoría de los nodos de la red. Los difusores Diffuse son el grupo de nodos en la posición real de enviar información a la mayoría de los nodos. Otro tipo de actor clave son los estructuradores de la red Disrupt, es decir, aquellos nodos que en caso de desaparecer ocasionan que la red se vea fragmentada (Borgatti, 2006:2126). La expresión matemática del algoritmo Keyplayer 2 (Borgatti y Dreyfus, 2003) considera el número total de actores confortantes de la red (n), además del inverso de la distancia mínima existente de los miembros del key player set Kp set al nodo j
, la letra R se emplea como abreviatura de alcance reach en inglés (Borgatti, 2006:29). La letra F se emplea como abreviatura de fragmentación fragmentation en ingles y su cálculo corresponde a la siguiente
(Muñoz et al., 2007:7576).
Los actores clave calculados fueron ER21, FM01 e IG06 con una cobertura del 70.896% en una red de 137 nodos, lo que significa que los tres actores juntos y mediante los vínculos relacionales manifestados, pueden "acceder/ difundir" a 97 nodos de la red número sin redondear 97.12. Los actores clave estructuradores calculados fueron FM04, FM06 e IG06 que presentan un delta de fragmentación de 2.9%. Esto representaría que los tres nodos juntos, y mediante los vínculos relacionales manifestados, al removerlos "desestructuran" a tres nodos valor sin redondeo 2.9. Nótese que la terna de los actores clave difusores y estructuradores comparten un actor en común: IG06.
Con el software NetDraw se determinó la red primaria de los actores clave calculados (estructuradores y difusores), se hace de esta manera un total de 33 nodos entrevistados. Se les aplicaron dos tipos de instrumentos de colecta de información en función de su perfil: i) agroempresariosactores de funciones múltiples e ii) institucionesorganizaciones. Entre los nodos entrevistados se encontraron quince agroempresarios, cuatro actores de funciones múltiples, seis organizaciones de productores, tres Prestadores de Servicios Profesionales (PSPs), un comprador, dos instituciones de gobierno, un proveedor de equipo y un proveedor de insumos. Las entrevistas llevaron a cabo del 17 al 30 de marzo de 2007.
Estudio de caso. Tomando como referencia los 33 nodos del MDA, se seleccionaron tres actores para efectuar el estudio de caso, los cuales fueron los nodos de funciones múltiples FM01 y FM06 y el agroempresario ER06. Dichos actores fueron elegidos por su propensión a compartir información técnicoadministrativa, por su nivel del Índice de Adopción de Innovaciones (INAI), la Velocidad de Adopción de Innovaciones (VAI) y su relación beneficiocosto.
Diseño y formulación del instrumento de colecta de información
Los apartados considerados fueron: (i) datos generales, en donde se indica el tipo de sistema de producción, fecha, teléfono, nombre y apellidos completos, años como productor, entre otros, (ii) atributos, en donde se indica el municipio, localidad y superficie destinada a la producción de guayaba con que cuenta el entrevistado, (iii) dinámica de la actividad, que refiere al número de personas que trabajan en la UP, canal de comercialización de la guayaba por calidad, parámetros técnicoproductivos y más, (iv) tipos de vínculos con la red de actores y por tipo de éstas social, de innovación y de líderes de producción, (v) dinámica de la innovación, en donde a partir de un kit tecnológico se pregunta al entrevistado si práctica o no determinada innovación, en caso de que efectivamente practique dicha innovación se pregunta sobre el año de adopción y la fuente de aprendizaje.
Conformación y formulación del kit tecnológico. Agrupa un total de 58 innovaciones categorizadas por tipo de tecnología, distribuidas de la siguiente forma: (i) tecnología de producto, cinco innovaciones; (ii) tecnología de equipo, tres innovaciones; (iii) tecnología de proceso, diez innovaciones; (iv) tecnología de operación, 26 innovaciones; y (v) tecnología organizacional, con catorce innovaciones. Nótese que la distribución absoluta de las innovaciones por tecnología, no es del todo homogénea máxime en las tecnologías de producto y equipo, debido a las siguientes cuestiones:
a) La tecnología de producto se ve limitada, ya que a pesar de existir al menos cuatro empaques agroindustriales dos de los cuales se localizan en el municipio de Jungapeo, uno más en Zitácuaro y el cuarto en el municipio de Benito Juárez, Michoacán, éstos no operan como tales, sino más bien como centros de acopio de producto.
b) Considerando que los terrenos en donde se establecen las plantaciones son de difícil acceso por la pendiente que los mismos presentan, las innovaciones de esta tecnología se ven restringidas, especialmente en lo que respecta a la mecanización del proceso de trabajo agrícola.
Hay que señalar que a pesar de la descripción de la actividad, la mayoría de este conjunto de innovaciones son "genéricas", puesto que en los hechos cada una de ellas puede registrar tantas variaciones como agroempresarios guayaberos se encuentren. El proceso seguido para conformar y estructurar el kit tecnológico se especifica en la figura 2.

El proceso de conformación y estructuración del kit tecnológico alude a la importancia que guarda la vigilancia del entorno en el proceso de innovación y transferencia de tecnología, el cual por su misma naturaleza requirió el apoyo de un experto en materia del sistema en cuestión y, por supuesto, de la validación con los usuarios tecnológicos agroempresarios.
Captura de la información de campo
Dicho proceso se realizó en dos partes, la primera en Microsoft Office Excel 2003 y la segunda en Microsoft Bloc de Notas versión 5.1. Los apartados: (i) datos generales, (ii) atributos y (iii) dinámica de la actividad fueron capturados en una hoja de cálculo de Microsoft Office Excel 2003, nombrada: datos generales y atributos. La segunda hoja de cálculo concentró los costos directos de producción y los activos de los actores considerados para el estudio de caso. En la tercera hoja se capturó la percepción de los actores en cuestión con respecto a una serie de problemas identificados por ellos mismos, desde el punto de vista técnico, financiero y administrativo, entre otros. Se indicaron los problemas, las causas y las consecuencias. La cuarta hoja de cálculo sirvió para capturar el apartado (v), de la dinámica de la innovación, en donde las columnas presentes son el Id de los entrevistados, el nombre y apellidos completos, los años como productor y los años de practicar tal o cual innovación del kit tecnológico. En la quinta hoja de cálculo se capturó la información de las fuentes de aprendizaje de las innovaciones que actualmente se practican, considerando como columnas el código de identificación (Id), nombre y apellidos completos y las fuentes de aprendizaje de cada innovación contenida en el kit. Una vez que se completó la matriz fue necesario realizar un cuadro resumen, para lo cual se contabilizaron las "nominaciones" que cada fuente de aprendizaje observó entre los actores entrevistados y posteriormente se asignó la proporción correspondiente (%).
La segunda parte que comprende la información del apartado (iv), tipos de vínculos con la red de actores y por tipo de éstas social, de innovación y de líderes de producción, fue capturada en Microsoft Bloc de Notas versión 5.1, se empleó para ello el protocolo DL y el formato edgelist, no sin antes conformar el catálogo iniciado en el MGA con los actores nuevos que no han sido registrados en el anterior. Este formato edgelist también permite capturar vínculos relacionales entre actores de una red y el fichero generado en el bloc de notas puede ser abierto desde NetDraw 2.055 (Borgatti, 2002).
Indicadores utilizados
En el presente subapartado se abordan los indicadores que aportan elementos de interés para caracterizar tres perfiles de actores objeto del estudio de caso, mismos que se presentan en el cuadro 1.
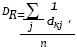
Cercanía recíproca de salida. Es la capacidad que tiene un nodo de acceder al resto de los actores de la red mediante la distancia geodésica; es decir, la distancia más corta entre dos nodos; claro que considerando el número de relaciones. La expresión de la cercanía es:
donde K es un nodo y Dgeodk es la suma de las distancias geodésicas del nodo K a todos los demás nodos conectados y n es el número de actores que conforman la red (Wasserman y Faust, 1999:184185).
Índice de Adopción de Innovaciones (INAI). Se calculó por tipo de tecnología acorde a lo planteado en el kit tecnológico y como es de suponerse el INAI "general" tomando como base los aportes de Muñoz et al. (2004:20), este indicador se refiere a la capacidad innovadora del productor. El INAIk es el Índice de Adopción de Innovaciones en la tecnología "K" y se calculó de la forma siguiente:INAIK=
X100 donde: Xi es la innovación "i" en la tecnología "K" y "n" es el número de innovaciones en la categoría "K". El INAI se calculó como sigue:INAI
donde INAIK es el Índice de Adopción de Innovaciones en la tecnología "K" y "K" es el número de tecnologías, que de acuerdo al kit tecnológico son cinco producto, equipo, proceso, operación y organizacional.
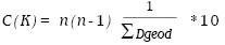
Velocidad de Adopción de Innovaciones (VAI). Su cálculo se especificó por tipo de tecnología y el general" tomando como base los aportes de Rendón et al. (2006:1617). El VAIk es la Velocidad de Adopción de Innovaciones en la tecnología "K" y se calculó de la forma siguiente:VAIK
X100; donde: Tagroj es el tiempo en años que el agroempresario "j" se desempeña como tal, Tadoplk es el tiempo de adopción en años de la innovación "l" en la tecnología "K" y "nk" es el número de innovaciones en la categoría "K". El VAI se calculó como sigue:VAI
X100donde donde: Tagroj es el tiempo en años que el agroempresario "j" se desempeña como tal, Tadopi es el tiempo de adopción en años de la innovación "i" y "n" es el número de total de innovaciones.
Resultados obtenidos
El actor ER06 es un difusor de innovaciones adecuadas y como es de esperarse, esto le representa altos costos internos, mismos que se ven reflejados en la utilidad por hectárea; por ejemplo, todos los agroempresarios y demás actores de funciones múltiples, exceptuando al nodo ER06, promedian diez innovaciones de un total de 58 de acuerdo al kit tecnológico.
El nodo ER06 realiza 40 innovaciones de entre las que sobresalen: (i) la prueba de variedades de alto rendimiento de guayaba, muchas de ellas son resultado de años de fitomejoramiento y otras más provenientes del extranjero principalmente de Cuba y Brasil, (ii) selección y clasificación en empaque agroindustrial con empaque diferenciado por calidad diferentes cajas de cajas de cartón, (iii) uso de sistemas de riego presurizado y (iv) la constante realización de análisis de agua y suelo e interpretación de resultados, mismos que son utilizados para elaborar el programa de fertilización y agroquímicos en general.
Este nodo también (v) establece sanitarios portátiles y/o letrinas en lugares cercanos a la unidad de producción e implementación de un programa de higiene, (vi) maneja adecuadamente los desechos de agroquímicos y (vii) encabeza un grupo de agroempresarios constituidos legalmente, que se encuentran realizar mejoras al empaque agroindustrial que poseen.
Con base en los resultados, se encontró evidencia que permite identificar tres perfiles de agroempresarios basados en la relación beneficiocosto; fue posible definirlos como: a) Bajo ER06, b) Medio FM04 y c) Alto FM01. Más allá de las diferencias en los perfiles, un aspecto crucial en la clasificación de dichos actores, es el precio de venta mismo que varía acorde al mercado. Asimismo, cuanto mayor sea la capacidad que tiene un nodo de entablar vínculos relacionales con los demás integrantes del sistemaproducto guayaba (cercanía recíproca de salida), mayor será el impacto en la relación beneficiocosto, se puede expresar dicha relación como directamente proporcional.
Nótense los siguientes aspectos: (i) existen diferencias en cuanto a la superficie, la edad de la plantación e indudablemente en el manejo del huerto, (ii) en general la escolaridad es de media a alta y la presencia de otros ingresos es nula en los tres casos, es decir, que dichos actores muestran una dedicación única al huerto, (iii) el nivel tecnológico mayor se encuentra en el actor ER06 algunas de las más sobresalientes son comentadas más adelante, (iv) el mercado principalmente proveído con la guayaba es el nacional y solamente FM01 produce bajo contrato y exporta, (v) precisamente este actor FM01 realiza entre dos y tres aplicaciones de fertilizante con un costo de $14,000.00 por hectárea, dicha actividad se realiza sin un análisis suelo, agua, hoja o fruto e interpretación técnica de respaldo.
También hay que mencionar que el (vi) el mayor rendimiento no recae entre quien tiene el mayor nivel tecnológico, ni en quien obtiene la máxima utilidad por hectárea. FM04 supera en 162.5% al nodo ER06 y en 200% a FM01. (vii) teniendo en cuenta la fragmentación de las unidades de producción (UP) que impera en la región, se requieren entre dos y cinco agroempresarios con una UP de cuatro hectáreas para reunir un volumen de veinte toneladas de calidad súper extra, lo cual por cierto, es bienvenida en los mercados de Canadá, Japón y Europa. El nodo FM01 es de los exportadores a Canadá, quien envía junto con otros actores su producción de calidad súper extra a dicho mercado, quien además produce bajo contrato; este hecho explica el logro del valor más alto de venta en calidad súper extra.
Partiendo de que buena parte del proceso de la introducción de las innovaciones en el sistemaproducto guayaba de la región oriente del estado de Michoacán es desempeñado por los mismos agroempresarios, nótese el efecto de la transferencia que desempeña el actor ER06, así como sus fuentes de verificación de decisiones y de información.
La red primaria de este actor se compone de cinco actores entrevistados; entre ellos se encuentra un comprador, el cual desempeña el papel de comunicador de algunas de las tendencias y necesidades del mercado consumidor. Los otros actores son un agroempresario y tres actores de funciones múltiples. A su vez, estos actores exceptuando al comprador tienen al menos una relación de innovación, social y/o liderazgo con un promedio de doce agroempresarios y demás actores más; claro eso sin considerar a las respectivas esposas e hijos, mismos que en ocasiones son también agroempresarios. En síntesis, el "contagio" se realiza 1:5 nodos en la red primaria considerando al comprador: 12 nodos en la red secundaria sin considerar los nodos relacionados con el comprador.
Conclusiones
Se caracterizaron los esquemas de innovación tecnológica y su transferencia en las agroempresas guayaberas del estado de Michoacán, donde se obtuvo la siguiente información.
Las evidencias encontradas sugieren que mediante la identificación de los actores clave del proceso innovativo y su transferencia, es posible emprender acciones concretas que impacten en los actores de una red de valor. Situación que inminentemente debiera de involucrar a instituciones como las Fundaciones Produce (FP), la Secretaría de Agricultura, Ganadería, Desarrollo Rural, Pesca y Alimentación (SAGARPA), el INIFAP y demás Instituciones de Enseñanza e Investigación (iei), Consejo Nacional de Ciencia y Tecnología (conacyt) y gobiernos estatales y municipales.
Se encontró que parte de la generación de conocimiento ocurre fuera del ámbito de la investigaciónenseñanza que caracteriza dos tipos de aprendizaje: learning by doing aprender haciendo y learning by using aprender usando. Este hecho sugiere que el tipo de conocimiento que sostiene al proceso innovativo y de difusión contiene un fuerte componente tácito, el cual permite identificar a tres tipos de agroempresarios con distintas capacidades tecnológicas asociadas a diversos patrones de producción léase inversión y requerimientos técnicos y distribución del conocimiento:
(i) agroempresarios con grandes posibilidades de generación y difusión del conocimiento tácito como el nodo ER06,
(ii) agroempresarios con capacidad de generar conocimiento, pero no poseen los atributos necesarios para difundirlo como el nodo FM04, y
(iii) agroempresarios con gran capacidad de difusión de conocimiento, pero de baja generación de éste como el nodo FM01. Considerando así, que el nodo ER06 es el actor con mayor nivel tecnológico de la red y con menor relación beneficiocosto, es un ejemplo de que no siempre el actor de mayor nivel tecnológico y más innovador es el que obtiene una mayor utilidad por hectárea. Esto es debido a los altos costos internos que representa la actividad innovativa. Convendría considerar al factor de expansión de 1:5:12 de este nodo, así como su contribución a la introducción de innovaciones en la red del sistemaproducto guayaba de la región oriente del estado, como susceptible de apoyo en el marco de programas de investigación y de transferencia de tecnología.
No obstante, y aludiendo a la visión relacional que provee la perspectiva de redes sociales, es necesario mencionar que detrás de esa fuente principal de innovación que constituyen los agroempresarios se encuentran consultores y en general prestadores de servicios profesionales y los nexos de éstos con alguna institución generadora de tecnología y/o conocimiento. Un ejemplo de esto es el Colegio de Posgraduados o el Instituto Nacional de Investigaciones Forestales y Agropecuarias (INIFAP), entre otras, quienes a su vez, pudieran relacionarse con diversas Fundaciones Produce, para efecto del acceso a financiamiento. Obviamente dicha visión no demerita el rol imprescindible que juegan la familia y el círculo de amistades.
El nodo ER06 da cuenta de la trascendencia que la valoración y sistematización del conocimiento local y su enriquecimiento con conocimientos científicos (nacionales y/o extranjeros), posibilita mediante una acción sinérgica entre los que integran las llamadas redes no formales (red nuclear, primaria y secundaria), la focalización de esfuerzos y el diseño de una estrategia de intervención que redunda en los siguientes beneficios: (i) para cada uno de los miembros de las diversas subredes se promueve la socialización de información que probablemente antes de trabajar de manera conjunta hubiera permanecido con la etiqueta "privada", (ii) al homogeneizar el grado de conocimiento entre sus miembros, se favorece la complementariedad de talentos, explotando las diversas habilidades de los actores, y por último (iii) en mayor o menor medida se percibe la noción del poder, expresado en este caso mediante el fortalecimiento del capital social; entendido como, el recurso de los usuarios tecnológicos o actores involucrados, los grupos y las organizaciones, que permite la acción colectiva expresada por relaciones sociales, técnicas, comerciales, entre otras.
La visión relacional que proporciona la perspectiva de redes sociales permite identificar la existencia de más de un perfil de usuario tecnológico, evidenciando con ello la idoneidad de la visión lineal que impera en los "policymakers" mexicanos cuando del proceso innovativo (investigación básica, investigación aplicada, desarrollo tecnológico, marketing y comercialización) y su transferencia (generación de tecnología, validación, transferencia y adopción) en el sector rural se trata. Con este estudio se redimensiona el accionar de los distintos actores en dicho proceso como los agroemprearios, más allá de sus generadores.
Así, cuando un agroempresario guayabero adopta y evalúa determinada innovación en términos de la ventaja relativa, compatibilidad, complejidad, ensayabilidad y observabilidad y ésta le ofrece buenos resultados, influye en promedio en 6.22 guayaberos, quienes luego de evaluar dicha propuesta deciden adoptar o no; en tanto que según los resultados obtenidos del estudio de caso, la relación que prevalece es un actor adoptando, impactando en cinco y estos a su vez en un promedio de doce actores más. Se corrobora así, la conjetura hipotética planteada inicialmente, en torno a que el comportamiento innovativo de cada agroempresario en lo individual se encuentra influenciado por el comportamiento de la red en la que se encuentra inmerso.
También ha de mencionarse que la evidencia encontrada sugiere que el cambio tecnológico en un sector tradicional como la agricultura se reconfigura continuamente, desde el momento en el que los agroempresarios imitan de manera creativa y, posteriormente, son capaces de introducir innovaciones o mejoras incrementales, mismas que tienen como base la naturaleza y el carácter informal de las redes sociales, los flujos de información y de innovaciones tecnológicas (apropiación y desarrollo) que muestran niveles de articulación y difusión basados en información cualitativa relevante que la caracteriza en su desarrollo.
Glosario de términos
Capacidades tecnológicas: se definen como la posesión de actitud, aptitud, habilidad, experiencia y conocimiento requeridos para generar y aplicar una tecnología o un conjunto de ellas, de manera planeada, sistemática e integral y con ello generar y fomentar las ventajas competitivas. Dichas capacidades son resultado de un proceso creativo e interactivo en el cual intervienen múltiples actores que al establecer vínculos dan lugar a un sistema de interrelación relativamente suelto, informal, implícito, de fácil descomposición y recombinación que se asemeja a una red o conjunto de actores (personas físicas y/o morales) relacionados en torno a una actividad o interés común, traducido en flujos de información y/o bienes tangibles (Fagerberg, 1990:355374; Waissbluth et al., 1990:171258; Edquist, 1997:9, 10, 16).
Innovación tecnológica: es el proceso dinámico de construcción social inherente a la actividad agrícola, integrado por un kit tecnológico tecnología de producto, tecnología de equipo, tecnología de proceso, tecnología de operación y tecnología organizacional, que permite desarrollar las capacidades tecnológicas necesarias para resolver un problema concreto o satisfacer una necesidad (Waissbluth et al., 1990: 189; Edquist, 1997: 910, 16).
Transferencia de tecnología: es el proceso activo inherente a la dinamización del Sistema de Innovación Tecnológica Agropecuaria, y en el que el arreglo e importancia de los componentes del sistema obedece a flujos de información al interior entre ellos, aunque también al apoyo recibido por el sector público gobierno, centros de investigación, universidades, entre otros y/o privado empresas. Los componentes de dicho proceso son la generación del cambio tecnológico (investigación básica), la validación investigación aplicada, la transferencia mediante la proveeduría de servicios profesionales y, finalmente, la adopción de tecnología material o tangible tecnologías de producto y equipo (Cadena et al., 1986:1725; Waissbluth et al., 1990:181182; OCDE, 2005:5864) y/o tecnología del conocimiento o intangible tecnologías de proceso, operación y organizacional (Cadena et al., 1986:1725; Waissbluth et al., 1990:181182; OCDE, 2005:5864) en el sector agropecuario nacional (OCDE, 1997:920; Peterson, 1997; Swanson, 1997; Berdegué, 2002:11, 17, 19).
Tecnología material o tangible: es aquella que se integra por la tecnología de producto y la tecnología de equipo.
Tecnología de producto: implica cambios significativos en las características de los bienes o servicios con la idea de introducir precisamente al mercado un bien o servicio diferenciado, de manera que se encuentra relacionada con las normas, las especificaciones y los requisitos generales del sistema de producción orgánico, hidropónico, etcétera, tipo de empacado, etcétera que debe de cumplir la guayaba para ser comercializada en un nicho de mercado determinado.
Tecnología de equipo: se refiere a los bienes de capital necesarios para producir un bien o servicio; por lo que de alguna manera, se considera que dicha tecnología contiene al llamado hardware agrícola, es decir aquellos implementos y equipos agrícolas necesarios para lograr la producción, como por ejemplo vehículos para el transporte de la cosecha, equipo para el control de enfermedades, etcétera.
Tecnología del conocimiento o intangible: es aquella integrada por las tecnologías de proceso, operación y organizacional.
Tecnología de proceso: es la que involucra cambios significativos en las condiciones, procedimientos y formas de organización necesarios para combinar insumos y bienes de capital de manera adecuada para producir un bien o servicio, como la realización de análisis de suelo, agua y frutos a fin de determinar las deficiencias nutrimentales a suplir; uso de hormonas para inducir y/o retrasar la producción (producción forzada), entre otras.
Tecnología de operación: se refiere a las normas y procedimientos aplicables a las tecnologías de producto, de equipo y de proceso, y que son necesarios para asegurar la calidad, la confiabilidad, la seguridad física y la durabilidad de la unidad de producción y la vida de anaquel de la cosecha generada; por tanto, se avoca al aprovechamiento de los conocimientos de los agroempresarios y contiene en buena medida el knowhow o el software agrícola del sector, como por ejemplo la identificación y el control de plagas y enfermedades, la desinfección de herramientas y equipo, etcétera.
Tecnología organizacional: se refiere a la puesta en práctica de nuevos métodos de administración, organización y comercialización en la agroempresa, en la organización y/o en el sistemaproducto. Por tanto se consideran parte de esta tecnología contabilización de costos directos de producción, compra de insumos por volumen, integración comercial al sector detallista, etcétera.
Referencias
Bell, M. (1984) "Learning and the Accumulation of Industrial Technological Capacity in Developing Countries" en Fransman, Martin y King, Kenneth (eds.), Technological Capability in the Third World. London, Macmillan Press, pp. 138156, 190. [ Links ]
Berdegué, J. A. (2002) Las reformas de los sistemas de extensión en América Latina a partir de la década de los ochenta. Santiago de Chile, Centro Latinoamericano para el Desarrollo Rural (RIMISP), pp. 11, 17, 19. [ Links ]
Borgatti, S. P. (2006) "Identifying Sets of Keyplayers in a Network" en Computational, Mathematical and Organizational Theory. Vol. 12, número 1, pp. 2134. [ Links ]
(2002) NetDraw: Graph Visualization Software. Lexington, KY, Harvard, Analytic Technologies. [ Links ]
Borgatti, S. P. y Dreyfus, D. (2003) Keyplayer: Naval Research Software. Lexington, KY, Harvard, Analytic Technologies. [ Links ]
Cadena, G.; Castaños, A.; Machado, F.; Solleiro, J. L. y Waissbluth, M. (1986) Administración de proyectos de innovación tecnológica. México D. F., Centro para la Innovación Tecnológica, Universidad Nacional Autónoma de México (UNAM) y Ediciones Gernika S.A., pp. 1725. [ Links ]
Collison, Ch. y Parcell, G.(2003) La gestión del conocimiento. Lecciones prácticas de una empresa líder. Barcelona, Paidós Empresa, pp. 33. [ Links ]
Dabas, E. y Perrone, N. (1999) Redes en salud. Córdoba, Argentina, Escuela de negocios FUNCER, Universidad Nacional de Córdoba, pp. 3. [ Links ]
Dahlman, C. y Valadares, F. (1987) "From Technological Dependence to Technological Development; The Case of the usiminas Steel Plant in Brazil" en Katz, Jorge (ed.), Technology Generation in Latin American Manufacturing Industries. London, Macmillan Press, pp. 154182. [ Links ]
Diez de Sollano, R. y Ayala, J. de J. (2004) Desarrollo de la competitividad en cadenas agroalimentarias. México, D.F., Secretaría de Agricultura, Ganadería, Desarrollo Rural, Pesca y Alimentación (SAGARPA), Serie Análisis de políticas agropecuarias y rurales, pp. 38. [ Links ]
Domínguez, S. (2004) "Estrategias de movilidad social: el desarrollo de redes para el progreso personal" en REDES: Revista Hispana para el Análisis de Redes Sociales. Vol. 7, número 1, octubrenoviembre, pp. 146. [ Links ]
Edquist, Ch. (1997) "System of Innovation Approaches: Their Emergence and characteristics" en Edquist, Charles (ed.) Systems of Innovation: Technologies, Institutions and Organizations. London, Pinter/Cassel, pp. 9, 10, 16. [ Links ]
Esser, K.; Hillebrand, W.; Messner, D. y MeyerStamer, J. (1996) "Competitividad sistémica: nuevo desafío para las empresas y la política" en Revista CEPAL. Número 59, agosto, pp. 3952. [ Links ]
Fagerberg, J. (1988) "International Competitiveness" en Economic Journal. Vol. 98, número 391, pp. 355374. [ Links ]
Foray, D. (1997) "Generation and Distribution of Technological Knowledge: Incentives, Norms, and Institutions" en Edquist, Charles (ed.) Systems of Innovation: Technologies, Institutions and Organizations. London, Pinter/Cassel, pp. 6485. [ Links ]
Granovetter, M. (1973) "The Strength of Weak Ties" en American Journal of Sociology. Vol. 78, número 6, pp. 13601380. [ Links ]
Ibarra, D. (2005) "El dilema campesino" en Ensayos sobre economía mexicana. México D.F., Fondo de Cultura Económica, pp. 354398. [ Links ]
Kim, L. (1998) "Crisis Construction and Organizational Learning: Capability Building in Catchingup at Hyundai Motor" en Organization Science. Vol. 9, número 4, pp. 506521. [ Links ]
Koschatzky, K. (2002) "Fundamentos de la economía de redes: especial enfoque a la innovación" en Economía Industrial. Vol. IV, número 346, pp. 1526. [ Links ]
Lara, A. y DíazBerrio, A. (2003) "Cambio tecnológico y socialización del conocimiento tácito" en Comercio Exterior. Vol. 53, número 10, pp. 936947. [ Links ]
Lundvall, B.A. y Johnson, B. (1994) "The Learning Economy" en Journal of Industry Studies. Vol. 1, número 2, pp. 2342. [ Links ]
Maya, I.; Teves, L. y Simonovich, J. (2001) "Encuentro de redes sociales en Argentina" en Redes Revista Hispana para el análisis de redes sociales. Vol. 2, número 2, pp. 110. [ Links ]
Muñoz, M.; Rendón, R.; Aguilar, J.; García, J. G. y Altamirano, J. R. (2004) Redes de innovación: un acercamiento a su identificación, análisis y gestión para el desarrollo rural. Texcoco, Estado de México, Universidad Autónoma Chapingo y Fundación Produce Michoacán A. C., pp. 20. [ Links ]
Muñoz, M.; Rendón, R.; Aguilar, J.; Altamirano, J. R. y Zarazúa, J. A. (2007) Metodología para la gestión de redes territoriales de innovación: aplicaciones en el ámbito rural. Texcoco, Estado de México, Fundación Produce Michoacán A. C. y Universidad Autónoma Chapingo, pp. 75, 76, 250. [ Links ]
OCDE (2005) Manual de Oslo. Guía para la recogida e interpretación de datos sobre innovación. Madrid, OCDE y Oficina de Estadísticas de las Comunidades Europeas (EUROSTAT), Tercera edición, pp. 5864. [ Links ]
(1997) National Innovation Systems. París, OCDE, pp. 920. [ Links ]
Peterson, W. (1997) "The Context of Extension in Agricultural and Rural Development (Chapter 3)" en Swanson, Burton; Bentz, Robert y Sofranko, Andrew (eds.), Improving Agricultural Extension: A Reference Manual. Rome, Food and Agriculture Organization of the United Nations. (Revisado: 14/04/2007). Disponible en: www.fao.org/docrep/W5830E/w5830e05.htm#chaptercontext%20of%20extension%2in%20agricultural%20and%20rural%20development [ Links ]
Polanco, J. (1996) "Los retos institucionales de la innovación tecnológica" en Solleiro, José Luis; Del Valle, María del Carmen y Moreno, Ernesto (coords.), Posibilidades para el desarrollo tecnológico del campo mexicano. México D.F., Instituto de Investigaciones Económicas (IIEc), Universidad Nacional Autónoma de México (UNAM) y Fundación Cambio XXI, Tomo I, pp. 165. [ Links ]
Rendón, R.; Aguilar, J.; Zarazúa, J. A.; Albarrán, I. y Ruíz, F. (2006) Informe final del proyecto "Seguimiento y evaluación de la agenda técnica de la guayaba con la metodología de Redes". Morelia, Michoacán, Fundación Produce Michoacán A. C. y Red Innova Consultores S. C., pp. 1617. [ Links ]
Rovere, M. (1999) Redes en salud: un nuevo paradigma para el abordaje de las organizaciones y la comunidad. Rosario, República Argentina, Ed. Secretaría de Salud Pública/AMR, Instituto Lazarte, pp. 24, 25. [ Links ]
SIACON, Sistema de Información Agroalimentaria de Consulta (varios años). (Revisado: 23/05/2007). Disponible en: http://www.campomexicano.gob.mx/portal_siap/PublicaDinamica/SisInformacion/Siacon_2007/siacon19802007wv.html [ Links ]
Solleiro, J. L. y Pérez, G. (1996) "Investigación, desarrollo y difusión de la tecnología en la agricultura y la agroindustria en México" en Del Valle, María del Carmen y Solleiro, José Luis (eds.), El Cambio tecnológico en la agricultura y las agroindustrias en México. México D.F., Instituto de Investigaciones Económicas (IIEc), Universidad Nacional Autónoma de México (UNAM) y Siglo XXI Editores, pp. 146148. [ Links ]
Solleiro, J. L.; Del Valle, M. del C. y Pérez, G. (1996) "Modernización de la agricultura mexicana: nuevos retos para el sistema de investigación" en Solleiro, José Luis; Del Valle, María del Carmen y Moreno, Ernesto (coords.), Posibilidades para el desarrollo tecnológico del campo mexicano. México D.F., Instituto de Investigaciones Económicas (IIEc), Universidad Nacional Autónoma de México (UNAM), Tomo II, pp. 252. [ Links ]
Swanson, B. (1997) "Strengthening Researchextensionfarmer Linkages (Chapter 19)" en Swanson, Burton; Bentz, Robert y Sofranko, Andrew (eds.), Improving Agricultural Extension: A Reference Manual. Rome, Food and Agriculture Organization of the United Nations. (Revisado:15/05/2007). Disponible en: www.fao.org/docrep/W5830E/w5830e01.htm#chapter%2019%20%20%20strengthening%20research%20extension%20farmer%20linkages [ Links ]
Teece, D.; Pisano, G. y Shuen, A. (1997) "Dynamic Capabilities and Strategic Management", en Strategic Management Journal. Vol. 18, número 7, pp. 509533. [ Links ]
Villavicencio, D. y Arvanitis, R. (1994) "Transferencia de tecnología y aprendizaje tecnológico: reflexiones basadas en trabajos empíricos" en El Trimestre Económico. Vol. 61, número 2, pp. 257279. [ Links ]
Waissbluth, M.; Cadena, G.; Solleiro, J. L.; Machado, F. y Castaños, A. (1990) "Administración de proyectos" en Waissbluth, Mario; Cadena, Gustavo; Solleiro, José Luis; Machado, Fernando y Castaños, Arturo (eds.), Conceptos generales de gestión tecnológica. Santiago de Chile, Centro Interuniversitario de Desarrollo (CINDA) y Banco Interamericano de Desarrollo (BID), Colección Ciencia y Tecnología, número 26, pp. 171258. [ Links ]
Wasserman, S. y Faust, K. (1999) "Social Network Analysis in the Social and Behavioral Sciences" en Wasserman, Stanley y Faust, Katherine (eds.), Social Network Analysis: Methods and Applications: Structural Analysis in the Social Sciences. Número 8. New York, Cambridge University Press, pp. 184, 185. [ Links ]
Zarazúa, J. A. (2007) "Esquemas de innovación tecnológica y su transferencia en las agroempresas frutícolas del estado de Michoacán: una perspectiva desde las redes sociales". Tesis doctoral, Texcoco, Estado de México, Centro de Investigaciones Económicas, Sociales y Tecnológicas de la Agroindustria y la Agricultura Mundial (CIESTAAM), Universidad Autónoma Chapingo, pp. 84, 85. [ Links ]
Zúñiga, E.; Leite, P. y Acevedo, L. (2005) Migración MéxicoEstados Unidos: panorama regional y estatal. México D.F., Consejo Nacional de Población, pp. 20. [ Links ]
1 Esta estrategia surge a partir del limitado impacto del Subprograma de Investigación y Transferencia de Tecnología de la Alianza para el Campo (Programa de la SAGARPA que enmarca los principales instrumentos de política agrícola en México). Las Agencias para la Gestión de la Innovación son conformadas por un conjunto de profesionistas, que preferentemente no sean menos de tres ni más de siete integrantes, con solvencia moral y competencias laborales complementarias que les permitan diseñar, operar y evaluar impactos de estrategias de intervención encaminadas a gestionar la innovación en cadenas agroalimentarias, bajo la perspectiva de las Redes Sociales.
2 El Knowwhat es definido por dichos autores como el saber qué (conocimiento de qué o cuál) refiriéndose al conocimiento acerca de los hechos, es decir, la información. Por su parte, el Knowwhy, es el saber por qué (conocimiento del porqué) y se refiere a los conocimientos científicos, los principios y leyes de movimiento en la naturaleza, en la humanidad, en la sociedad, en el ámbito productivo y reproductivo, por lo que para acceder a él se requiere que las firmas interactúen entre ellas.
3 El Knowhow es el saber cómo (conocimiento del cómo), es la capacidad de hacer algo. En tanto que el Knowwho es el saber quién (conocimiento del quién) se refiere a la mezcla de diferentes tipos de calificación, incluyendo lo que puede ser caracterizado como la calificación social. Involucra la información acerca de quién sabe qué y quien conoce cómo hacer qué. Dada la naturaleza de este tipo de conocimiento, involucra la formación y consolidación de relaciones sociales con los expertos a fin de acceder al mismo.













