INTRODUCCIÓN
En México, la selva tropical húmeda (selva alta y mediana perennifolia según Miranda y Hernández X., 1963; bosque tropical perennifolio según Rzedowski, 1978) llegó a ocupar la mayor parte del sur y sureste de México. Para 2007 se reporta que estas comunidades cubren 4.62% de la cobertura del territorio de la República (FRA, 2010), la cual se distribuye en numerosos fragmentos de lo que antes fuera una cobertura casi ininterrumpida (Challenger y Dirzo, 2009; Dirzo et al., 2009). Los trabajos sobre la estructura, diversidad, composición y el funcionamiento de la selva tropical húmeda han sido numerosos, entre ellos los de Bongers et al. (1988), Godínez-Ibarra y López-Mata (2002), De Walt y Chave (2004), Cortés-Castelán e Islebe (2005) y Martínez-Ramos y García-Orth (2007), por citar algunos. Sin embargo, estos estudios no diferencian las selvas que se presentan en condiciones de inundación en el sureste de México, como es el caso de la selva mediana perennifolia de canacoite (Bravaisia integerrima; SMPC; López-Mendoza, 1980). La SMPC se desarrolla sobre suelos arcillosos profundos con escaso drenaje, desde los 5 hasta los 140 m de altitud. Esta comunidad vegetal está constituida por diversas formas biológicas como hierbas, epifitas, enredaderas, arbustos y árboles. El dosel puede llegar hasta 25 m de altura con especies como zapote negro (Diospyros nigra), barí (Calophyllum brasiliense), chacahuanté (Simira salvadorensis) y tinco (Vatairea lundellii), con un sotobosque dominado por palmas espinosas como la palma chichón (Astrocaryum mexicanum), escoba (Cryosophila stauracantha) y el arbusto conocido como huesillo (Faramea occidentalis). Se distribuye sobre tierra firme inundable a lo largo de la vertiente del Pacífico desde Nayarit hasta Chiapas y en la del Atlántico como manchones puros o asociados a la selva alta perennifolia de pio (Licania platypus: Miranda y Hernández X., 1963; López-Mendoza, 1980; Pennington y Sarukhán, 2005). La pérdida de cobertura selvática se explica por los cambios de uso de suelo para la agricultura y ganadería, la extracción de madera, el crecimiento poblacional, el incremento de la infraestructura carretera y la actividad petrolera (Tudela, 1989; Salazar-Conde et al., 2004; Sánchez-Munguía, 2005; Guerra-Martínez y Ochoa-Gaona, 2008). En Tabasco la extensión original de SMPC se ha eliminado casi por completo y en la actualidad persisten solo escasos fragmentos de esta asociación vegetal. A pesar de conformar una comunidad ecológicamente relevante, en el estado ha sido poco estudiada teniendo como referencia los trabajos florísticos de Sol-Sánchez et al. (1999) y Maldonado-Sánchez y Maldonado-Mares (2010). El objetivo del presente trabajo fue generar información básica de la selva de canacoite para lo cual se describe su estructura, diversidad y composición arbórea, con el fin de resaltar su importancia en la cubierta vegetal del estado y sentar bases para su conservación y manejo a corto plazo.
MATERIALES Y MÉTODOS
Área de estudio.
Se estudiaron los dos fragmentos más grandes de selva mediana de canacoite en Tabasco. El primer sitio se ubica en el municipio de Cárdenas y pertenece al Parque Estatal La Chontalpa (PECH) con un rodal de selva de 191 ha, declarado Área Natural Protegida el 4 de junio de 1995 (Fig. 1A). Éste corresponde a la Subregión de La Chontalpa en la planicie fluvio-deltaica, que abarca la mayor parte del estado, la cual está formada por depósitos aluviales de carácter deltaico, con deficiente drenaje. Presenta suelos de texturas medias franco-arcillosas a arcillosas que corresponden al tipo Cambisol gleyico y Vertisol pélico (Palma y Cisneros, 1996; Inegi, 2000), mismos que se inundan durante la época de lluvias más intensas (septiembrenoviembre), por lo que están mal oxigenados. La vegetación predominante en la región fue de selva tropical húmeda inundable (López-Mendoza, 1980), asociada a amplias áreas cubiertas de vegetación de humedales emergentes de popal y tular principalmente. El clima en esta subregión es cálido húmedo (Am(f)w"(i')g), con temperatura media anual de 26 °C, la media máxima mensual en mayo es de 30.3 °C y la media mínima en diciembre y enero de 20 °C. La precipitación en promedio anual es de 2463 mm (Cardoso, 1979).

Fig. 1 Localización de los sitios de muestreo de selva mediana perennifolia de canacoite en Tabasco. Parque Estatal La Chontalpa = PECH, Yu-Balcah = YCAH.
El segundo sitio se ubica en la finca La Asunción en el ejido Ceibita del municipio de Tacotalpa. El lugar es un Área Natural Protegida de jurisdicción estatal denominada Reserva Ecológica Yu-Balcah (YCAH), declarada el 10 de junio del año 2000, con una superficie de 271 ha (Fig. 1B). Corresponde a la subregión de la Sierra que comprende parte de la unidad planicie fluvial interior del río La Sierra. Es de origen palustre con un nivel topográfico de alrededor de 50 m s.n.m., en una zona de transición regional sobre la cual se reconocen los escurrimientos que descienden de las montañas del norte de Chiapas. Las unidades de suelo más comunes son Fluvisoles, Gleysoles y Vertisoles, dominados por arcilla y el manto freático se encuentra entre 1 y 2 m (Palma y Cisneros, 1996). En esta subregión el clima es cálido-húmedo con lluvias todo el año (Af(m)w"(i)g), con una temperatura media anual de 26 °C. La precipitación anual es de 4014 mm con un promedio máximo mensual de 588 mm en el mes de octubre y un mínimo mensual de 132 mm en el mes de abril (Inegi, 2000).
Selección de sitios de muestreo.
Para conocer los antecedentes de distribución de Bravaisia integerrima en Tabasco se revisaron las colectas de los herbarios CH (El Colegio de la Frontera 79 Sur-San Cristóbal), UJAT (Universidad Juárez Autónoma de Tabasco), XAL (Instituto de Ecología, A.C.), CSAT (Colegio de Posgraduados-Tabasco Campus Tabasco), MEXU (Universidad Nacional Autónoma de México) y ENCB (Herbario de la Escuela Nacional de Ciencias Biológicas del Instituto Politécnico Nacional). Cada registro de herbario se georreferenció con base en la localidad anotada. Se realizaron recorridos para corroborar la presencia de la selva inundable de Bravaisia integerrima como elemento dominante, encontrando sólo tres fragmentos de la misma de canacoite en Tabasco los cuales no forman un continuo. Los dos mayores fueron los que se seleccionaron para el muestreo (YCAH y PECH).
Caracterización de la vegetación.
En cada sitio se calculó la altura del dosel mediante una pértiga telescópica graduada de 18 m y un clinómetro Suunto. El diámetro de los árboles se midió a 1.30 m de altura (DAP), para canacoite 1.30 m por arriba de las raíces adventicias. El estado de conservación del sitio se determinó utilizando el índice-multicriterio para la evaluación de selvas tropicales (Ochoa-Gaona et al., 2010) que valora la condición ecológica del bosque. Este índice toma en cuenta la estructura vertical y horizontal, la regeneración de las especies arbóreas, la cubierta vegetal, la riqueza de especies, y factores de perturbación como árboles talados, muertos en pie o caídos, indicios de incendios, rastros de ganado, presencia de brechas y macheteo de vegetación.
Se establecieron de manera aleatoria 10 unidades de muestreo (UM) para YCAH y 10 UM en PECH; las UM se separaron entre ellas al menos 50 m. Las UM tuvieron forma de círculos concéntricos, adaptados de la metodología usada para inventarios forestales (SARH, 1994; Bechtold y Scott, 2005; PMC, 2011). Se identificaron y registraron todos los árboles y se midió el DAP (diámetro a la altura del pecho) de la siguiente manera: en el círculo de 1000 m2 (radio = 17.84 m), de los de ≥20 cm de DAP; en el círculo intermedio de 500 m2 (r = 12.62 m) de los individuos de ≥10cm de DAP y en el círculo de 100m2 (r=5.64m)de los de≥5cm DAP. Se consideraron adultos todos los árboles de ≥5 cm DAP. En el círculo de 100 m también se contabilizaron los individuos de <5 cm DAP pero mayores de 1.30 m de altura (juveniles). Para el registro de brinzales y árboles juveniles tempranos de <1.30 m de altura, se establecieron cuatro cuadros de 1m2 por UM (Ochoa-Gaona et al., 2007). Se recolectaron muestras botánicas de cada especie arbórea registrada. La identificación se hizo mediante el corrimiento de claves y por comparación con ejemplares de herbario. Los especímenes herborizados fueron depositados en el herbario UJAT.
Análisis de datos.
El incremento de la riqueza en función del esfuerzo de muestreo se analizó por medio de un método no paramétrico utilizando los estimadores Chao 2, ICE, Jacknife 1, Jacknife 2 y Bootstrap que usan datos de presencia-ausencia de especies (Leigh, 1999). El análisis estructural del bosque se basó en el valor de importancia (IVI) de cada especie por sitio, empleando los valores relativos de la densidad, frecuencia y el área basal (IVI = (DR + FR + ABR)/3. La densidad (D; ind ha-1) es el número de individuos de la especie por unidad de superficie, para ello se tomó en cuenta el área estratificada en la que ésta fue muestreada la especie. La frecuencia (F) es el número de UM en las que se presenta una especie con relación a la cantidad total de UM. El área basal (AB; m2 ha-1) se obtuvo con la fórmula del área de un círculo con base en el DAP del tronco de cada individuo (Curtis y McIntosh 1951; Mueller-Dombois y Ellenberg 1974; Godínez-Ibarra y López-Mata 2002, Gallardo-Cruz et al. 2005, Levy et al., 2006; Zamora-Crescencio et al., 2008).
Diversidad y similitud.
Para contar con elementos de comparación y análisis de la diversidad alfa en la SMPC, en cada UM (0.1 ha) y por sitio de estudio (1 ha) se calcularon los índices de riqueza específica como la riqueza de especies (S) y el índice de Margalef (DMg ). Para lo estructural se usaron los índices de abundancia proporcional α de Fisher, Shannon-Wiener (H') base logaritmo natural y equidad de Pielou J. Además se determinaron los índices de dominancia Berger-Parker (d) y Simpson (D; Magurran, 1988). El cálculo de tales índices se realizó mediante el software libre Past 3.11 x Paleontological Statistics (Hammer, 1999-2015). Para efectos comparativos entre los dos sitios de estudio se utilizó el índice de diversidad Alfa de Fisher, obtenido mediante el software EstimateS (Colwell, 2013), que considera en su cálculo a la cantidad de especies (S) y al número total de individuos (N) de las UM, que al promediarse -siguiendo a López y Duque (2010) conforman un estimador de la diversidad por hectárea, lo que hace posible comparar las comunidades entre los dos fragmentos. Este índice, además, es menos sensible al tamaño de muestreo que H' y no requiere unidades contiguas o de igual tamaño o forma, por lo que es más robusto y extrapolable (Leigh, 1999; Godínez-Ibarra y López-Mata, 2002; Ledo et al., 2012). Para analizar la variación en la estructura y diversidad taxonómica entre las parcelas, se realizó un análisis de componentes principales (PCA) que incluyó variables de estructura (número de individuos, área basal, promedio del diámetro a la altura del pecho), de diversidad (índices de Simpson, Shannon y de α de Fisher), así como taxonómicos (número de familias, géneros y especies).
RESULTADOS
Riqueza y estructura. La curva de acumulación de especies en el sitio YCAH indica que es necesario un mayor esfuerzo de muestreo ya que se registró 61% (53 spp.) de la riqueza esperada (85 spp.) según el estimador de Chao 2 (Fig. 2A). Se contabilizaron allí 49 géneros y 24 familias. Las más representadas fueron Leguminosae con 10 especies, Moraceae y Rubiaceae con 5, y Malvaceae con 4. Se contaron 447 individuos, siendo más abundantes los de Astrocaryum mexicanum, Bravaisia integerrima, Cryosophila stauracantha y Guarea glabra. Los árboles con mayor frecuencia fueron Bravaisia integerrima, Guarea glabra, Cordia collococa, Spondias mombin y Licania platypus. El área basal promedio en YCAH fue de 37.2 m2ha-1. Con más altos valores de este parametro se registró a Bravaisia integerrima, Spondias mombin, Ceiba pentandra y Bursera simaruba. Las especies con mayor IVI en el sitio fueron Bravaisia integerrima, Astrocaryum mexicanum, Spondias mombin y Guarea glabra (Apéndice 1). YCAH presentó tres estratos arbóreos: el sotobosque con altura de hasta 10 m, una capa media entre 10 y 18 m y uno superior con más de 18 m. El sotobosque está dominado por palmas espinosas como Astrocaryum mexicanum, Cryosophila stauracantha y Bactris balanoidea. Otras especies acompañantes son Faramea occidentalis, Trichilia havanensis y Ampelocera hottlei. En el estrato medio Bravaisia integerrima es la dominante; con Cordia collococa, Andira inermis y Coccoloba barbadensis como acompañantes. El dosel alto presenta árboles de gran tamaño como Guarea glabra, Vatairea lundellii, Swietenia macrophylla, Ceiba pentandra, Calophyllum brasiliense, Dialium guianense y Diospyros nigra. Dentro de la selva se observaron claros de hasta 250 m2, principalmente en la zona de selva alta, producto de la caída natural de árboles. En ellos se registró reclutamiento (brinzales y plantas juveniles; Quinto-Mosquera et al., 2009) de especies de los tres estratos de la SMPC. En los claros se identificaron elementos de selva madura como Guatteria anomala, Guarea glabra, Vatairea lundellii y Diospyros nigra.

Fig. 2 Curvas de acumulación de especies en la SMPC de YCAH (A) y de PECH (B). En el eje X se muestra el esfuerzo de muestreo. El eje Y representa el número de especies observadas y estimadas para cada nivel de muestreo dado (Sn).
Para el sitio PECH en la curva de acumulación de especies se observó 79% (38 spp.) de la riqueza esperada (48 spp.) según el estimador de Chao 2 (Fig. 2B). Se inventariaron en el sitio 34 géneros y 24 familias. Las mejor representadas fueron Leguminosae con 10 especies, Moraceae con 5 y Rubiaceae con 3. En PECH se registraron 359 individuos; las especies más abundantes fueron Bravaisia integerrima, Faramea occidentalis, Tabernaemontana alba, Pleuranthodendron lindenii y Cordia collococa. Las más frecuentes eran Bravaisia integerrima, Cordia collococa, Pachira aquatica y Spondias mombin. El área basal promedio en PECH fue de 29.5 m2ha-1. Los árboles que aportaron mayor AB han sido Bravaisia integerrima, Ficus sp. 1, Spondias mombin y Guazuma ulmifolia. Las especies con mayor IVI en PECH fueron Bravaisia integerrima, Ficus sp. 1, Spondias mombin y Faramea occidentalis. El bosque de PECH presentó tres estratos. En el bajo, entre los 3 y 8 m las de mayor densidad fueron Pleuranthodendron lindenii, Trichilia havanensis y Faramea occidentalis. El estrato medio alcanzó los 15 m y está dominado por árboles de Bravaisia integerrima, acompañados por Zygia cognata y Guazuma ulmifolia; el superior de 15 a 20 m forma el dosel y presenta a Spondias mombin, Ficus sp. 1, Bursera simaruba y Calophyllum brasiliense (Apéndice 2).
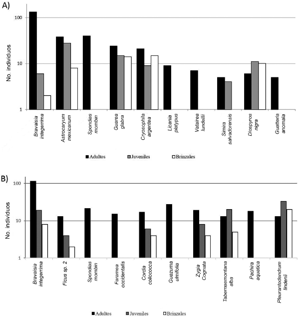
Las categorías diamétricas en los dos sitios obtuvieron una distribución de J invertida con numerosos individuos de clases pequeñas (Fig. 3). La mayoría de las especies están representadas por pocos árboles, mientras que algunas registran abundancias altas. De las diez especies con mayor valor de importancia (IVI) en YCAH, Bravaisia integerrima, Astrocaryum mexicanum, Guarea glabra, Cryosophila stauracantha y Diospyros nigra contaron con individuos en los tres estadios de desarrollo (adultos, plantas juveniles, brinzales), mientras que Spondias mombin, Licania platypus, Vatairea lundellii y Guatteria anomala solo registraron árboles adultos (Fig. 4A). En el bosque de PECH las especies con mayor IVI que estuvieron presentes en los tres estadios de desarrollo fueron Bravaisia integerrima, Ficus sp. 2, Cordia collococca, Tabernaemontana alba, Pleuranthodendron lindenii y Zygia cognata mientras que solo se registraron adultos de Spondias mombin, Faramea occidentalis, Guazuma ulmifolia y Pachira aquatica (Fig. 4B).

Fig. 3 Densidad de especies arbóreas de ≥5 cm DAP por categorías diamétricas de las selvas medianas perennifolias de canacoite en Tabasco.

Fig. 4 Repoblación para las diez especies con mayor valor de importancia (IVI) en YCAH (A) y Pech (B).
Diversidad.
La riqueza a nivel de especie en YCAH fue de 53 especies y en PECH de 38, el promedio para los índices α de Fisher y de Margalef, así como el de Berger-Parker para evaluar dominancia resultaron ser mayores en YCAH, mientras que los índices de Shannon, de equidad de Pielou y Simpson fueron más altos en PECH (Cuadro 1).
Cuadro 1 Valores de riqueza, índices de diversidad y dominancia calculados para los dos sitios de selva inundable de canacoite. UM = Unidades de muestreo, S = Riqueza específica, α = Alfa de Fisher, DMg = Margalef, H' = Shannon-Wiener, J = Pielou, d = Berger-Parker, D = Simpson. d.e. = desviación estándar.
Del total de especies registradas, 26% se comparten entre los dos sitios, las cuales en orden decreciente de IVI son: Bravaisia integerrima, Spondias mombin, Ficus sp. 1, Zygia cognata, Pachira aquatica, Tabernaemontana alba, Calophyllum brasiliense, Coccoloba barbadensis, Faramea occidentalis, Trophis racemosa, Licania platypus, Andira inermis, Casearia corymbosa, Cecropia obtusifolia y Tabebuia rosea.
Se encontró que el YCAH presenta mejor condición ecológica (valores más cercanos a 1) que PECH (Cuadro 2).
Cuadro 2 Valor de condición ecológica de los sitios remanentes de SMPC en Tabasco. Se mide de 0 a 1, siendo 1 el de mejor estado de conservación
En total se registraron seis especies catalogadas en alguna categoría de riesgo de la NOM-059-SEMARNAT-2010: Bravaisia integerrima (Spreng.) Standl, Calophyllum brasiliense Cambess., Cryosophila stauracantha (Heynh.) R.J. Evans, Guatteria anomala R.E. Fr., Ormosia macrocalyx Ducke, Vatairea lundellii (Standl.) Record, de las cuales cuatro se encuentran Amenazadas y dos en Peligro de Extinción (Semarnat, 2010). En YCAH se encontraron las seis especies y en PECH sólo tres de ellas (Apéndices 1 y 2).
El análisis multivariado indica que el eje 1 explica 55% de la variación de los datos, y el eje 2 21%. Las variables de diversidad y taxonómicas, así como área basal se relacionan significativamente con el componente 1 del PCA, mientras que el número de individuos, y el índice de dominancia de Simpson están asociados con el componente 2 (Cuadro 3). Las UM que se ubican hacia el lado inferior de la ordenación están principalmente relacionadas con el eje 1, las UM localizadas en la parte superior del cuadrante están relacionadas positivamente con el eje 2 (Fig. 5). Se observa que varias UM están compartidas hacia la zona media, y algunas UM de ambos sitios se ubican como extremas. Esas son las que causan la variación y reflejan el posible efecto de la perturbación que tiene cada fragmento.
Cuadro 3 Coeficientes de correlación de Spearman obtenidos mediante PCA tras relacionar los valores estructurales y de diversidad de la selva inundable de canacoite con los puntajes de cada uno de los ejes del análisis de componentes principales. n = 20; * = p ≤ 0.05. Porcentaje de varianza: por Eje 1 = 55% y Eje 2 = 21%.

Fig. 5 Análisis de componentes principales (PCA) de los atributos estructurales y de diversidad de la comunidad arbórea de la selva mediana perennifolia de canacoite. Número de individuos (NI), diámetro a la altura del pecho (DAP), área basal (AB), Simpson (D), Shannon (H'), α de Fisher (F), número de familias (NF), número de géneros (NG), número de especies (NE).
DISCUSIÓN
La selva mediana perennifolia de canacoite (SMPC) representa una de las comunidades vegetales más reducidas en extensión a nivel nacional con una distribución restringida a algunas zonas próximas a las costas del Pacífico y Golfo de México (Palacios, 2006), lo cual se corroboró con la revisión de herbario realizada en el presente estudio. Esta comunidad vegetal está limitada a áreas con suelos que se saturan de agua, lo cual es un requerimiento de Bravaisia integerrima que es su especie característica (Pennington y Sarukhán, 2005). La comunidad tiene gran importancia ecológica, ya que además de influir en el ciclo del agua, funciona como hábitat de fauna y contiene alta riqueza florística (De Grandi et al., 2000, Lou y Yurrita, 2005). Sin embargo, debido al acelerado proceso de deforestación, en el estado de Tabasco solo persisten tres remanentes con cierta condición original, los cuales en conjunto no alcanzan las 500 ha de superficie. La SMPC estudiada está dominada por Bravaisia integerrima (Amenazada, NOM-059-SEMARNAT-2010), árbol con grandes raíces adventicias y gran abundancia de palmas espinosas, lo que la define como una comunidad con condiciones biológico-ambientales particulares. A pesar de ello, ha recibido poca atención en su conocimiento, manejo y conservación, y actualmente estos remanentes están por desaparecer ya que se encuentran aislados y sometidos a gran presión antrópica (Ramos-Reyes et al., 2011).
Riqueza y estructura.
La cantidad de especies, al igual que de familias y géneros reportados en este trabajo, concuerdan con la encontrada en algunos bosques inundables de México (Díaz-Gallegos et al., 2002; Cortés-Castelan e Islebe, 2005; Zamora-Crescencio et al., 2008) y América tropical (Díaz y Rosales, 2006; Guerra y Pietrangeli, 2007; Díaz-Pérez et al., 2012). En lo local, Sol-Sánchez et al. (1999) y Maldonado-Sánchez y Maldonado-Mares (2010) registraron 83 y 51 especies de árboles respectivamente en selvas de las mismas características que la de este estudio, pero con diferencias metodológicas, como la inlcusión de individuos de DAP de >1 cm de los primeros autores y DAP de >5 cm usada por los segundos, ambos con superficie menor de muestreo que las del presente trabajo. Sin embargo, el medir individuos de ≥5 cm de DAP y muestrear 10 unidades de 0.1 ha en cada sitio, aún resultaron insuficientes por las características de heterogeneidad en el sistema.
El remanente de PECH presentó menor riqueza que YCAH, lo cual puede deberse al mayor disturbio humano tal como lo demuestra la evaluación mediante el índice de condición ecológica aplicado (Ochoa-Gaona et al. 2010). Esto mismo se corrobora con los bajos valores para el índice alfa de Fisher (<7) de nuestras parcelas, especialmente si se compara con la amplitud (11 a 211) que Godínez-Ibarra y López-Mata (2002) reportan para estudios realizados en diez selvas neotropicales de América.
La selva mediana perennifolia de canacoite estudiada contiene especies como Astrocaryum mexicanum, Bravaisia integerrima, Diospyros nigra, Calophyllum brasiliense, Faramea occidentalis, Simira salvadorensis, Vatairea lundellii y Licania platypus, las cuales han sido reportadas como características de selvas maduras perennifolias (Miranda y Hernández X., 1963; Bongers et al., 1987; López-Mendoza, 1980; Pennington y Sarukhán, 2005). Éstas, junto con Guarea glabra, han sido citadas en otros trabajos en selvas inundables (Pérez y Sarukhán, 1970; López-Mendoza, 1980; Ochoa-Gaona y Domínguez-Vázquez, 2000; Levy et al., 2006), lo cual nos indica que los sitios estudiados aún conservan elementos característicos y propios de bosques poco alterados, hecho que resalta la importancia de su conservación, en especial por el gran avance de deforestación en el estado.
Las especies con mayor valor de importancia en la SMPC fueron Bravaisia integerrima, Spondias mombin, Cordia collococa y Astrocaryum mexicanum; mismas que también fueron reportadas con alto IVI por López-Mendoza (1980); Bongers et al. (1988) y Sol-Sánchez et al. (1999).
En YCAH se observa una convivencia única en Tabasco, entre selva mediana perennifolia de Bravaisia integerrima con selva alta perennifolia de Licania platypus (López-Mendoza, 1980); aunque actualmente la dominancia de L. platypus ha sido sustituida por otros árboles como Spondias mombin y Simira salvadorensis. Este tipo de asociación, así como la distribución de sus especies, está determinada posiblemente por la existencia de áreas con suelos inundables y otras no inundables, así como por diferencias en la profundidad y el tipo de suelo (Sollins, 1998; Cortés-Castelán y Islebe, 2005). El fragmento de SMPC de YCAH presentó las mejores características de conservación según el índice de condición ecológica aplicado, lo cual se corrobora por la mayor diversidad de especies, por la presencia de adultos y brinzales de elementos de selva madura, y por sus características fisonómicas y estructurales bajo condición de inundación que caracteriza a esta comunidad. El sitio YCAH tiene mayor dificultad de acceso, menor cercanía a núcleos poblacionales y carreteras, bajo desarrollo de la actividad agrícola y ganadera circundante y no tanta actividad petrolera en la región; todo lo anterior se traduce en una menor intensidad de disturbio humano al interior de este fragmento, conservando una mejor condición ecológica. Por el contrario, los factores antes mencionados afectan al sitio PECH, lo que pone en riesgo la permanencia de este remanente de selva de canacoite en la Chontalpa. Por su parte, PECH presenta menor diversidad y condición ecológica más baja; esto puede deberse a la tala selectiva de maderas preciosas y útiles para la construcción por los pobladores de las zonas adyacentes a esta selva.
El promedio de individuos con DAP de ≥5 cm encontrados en la selva inundable de canacoite fue de 356 ind ha-1, con numerosos árboles de troncos de diámetros pequeños y pocos de tallos mayores de 50 cm o más de DAP, característicos de selvas tropicales del sureste de México (Tun-Dzul et al., 2008; Zarco-Espinoza et al., 2010; Vázquez-Negrín et al., 2011). La densidad de individuos arbóreos fue inferior a los 420 ind ha-1 reportados por Balslev et al. (1987) en Añangu, Ecuador y similar a lo registrado por Lieberman et al. (1985) y Johnston y Gillman (1995) en bosques inundables de tierras bajas en Costa Rica y Guyana (353 y 357 ind ha1 respectivamente). En los sitios estudiados se observó baja cantidad de árboles adultos de especies típicas de selva madura, lo que acrecienta el riesgo de que junto con la tala inmoderada y la pequeña área que ocupan los fragmentos de la selva inundable en Tabasco, se incrementen las posibilidades de extinción local de las especies (Finegan y Bouroncle, 2008). El área basal promedio encontrada en la selva de canacoite fue de 33.34 m2 ha-1, y es similar a lo encontrado en otros estudios realizados en selvas conservadas como las medianas de Tabasco, Veracruz y Chiapas (Pérez y Sarukhán, 1970; Sol-Sánchez et al., 1999; Godínez-Ibarra y López-Mata, 2002; Basáñez et al., 2008; Zarco-Espinoza et al. 2010), los bosques tropicales de Centroamérica (Cascante y Estrada, 2001; Chave et al., 2003; De Walt y Chave, 2004), en Malasia (Manokaran y LaFrankie, 1990), y de Camerún (van Gemerden et al., 2004), cuyos valores de área basal oscilan entre 21.2 y 45.3 m2 ha-1. En conclusión, los remanentes estudiados aún conservan las características estructurales propias de selvas maduras a pesar de la intensa fragmentación y de estar inmersos en medio de extensas áreas agropecuarias, así como por lo reducido del área que ocupan.
Diversidad de especies.
El valor de diversidad de Shannon-Wiener (H') obtenido para la SMPC y en particular en YCAH fue ≥2.0, el cual se considera alto con base en las categorías propuestas por Ramírez-González (2006), así como por los números reportados para selvas tropicales del sureste de México (Durán, 1995; Sol-Sánchez et al., 1999; Díaz-Gallegos et al., 2002; Godínez-Ibarra y López-Mata, 2002; Pérez et al., 2005). En este mismo sentido, el índice de diversidad de Margalef de las parcelas muestreadas y de los remanentes en su conjunto fue mayor a 2.0, que es considerado como de mediana a alta diversidad, e incluso la parcela YCAH-10 mostró un valor superior a 5.0, que es valorado como un indicador de muy elevada biodiversidad (Orellana-Lara, 2009). El área basal en los dos sitios estuvo dominada por Bravaisia integerrima; esto se puede explicar por la alta biomasa evidenciada por sus troncos más gruesos, así también por su alta abundancia en los sitios. En la SMPC se observó la presencia de diversas formas biológicas tales como hierbas y bejucos, las cuales no fueron muestreadas y que incrementarían los valores de riqueza y diversidad de las comunidades estudiadas.
El registro de seis especies vegetales catalogadas en la NOM-059SEMARNAT-2010, Bravaisia integerrima, Calophyllum brasiliense, Cryosophila stauracantha, Guatteria anomala, Ormosia macrocalyx y Vatairea lundellii, demuestra la importancia ecológica de los fragmentos aislados de SMPC remanentes. Las acciones de conservación legal de estos remanentes de SMPC han resultado en su mantenimiento; sin embargo, está lejos de ser la solución a la pérdida de diversidad genética de este tipo de comunidades. Para garantizar la conservación de los remanentes de SMPC en Tabasco, es importante revisar y actualizar su situación legal, sus planes de manejo y su aplicación, llevar a cabo alternativas de conservación que incluyan aspectos como investigación básica y aplicada referente a su biodiversidad y manejo, así como que se faciliten alternativas sociales y productivas a las poblaciones cercanas. Para lograrlo se requiere de la participación de actores como gobierno, sector académico, organizaciones no gubernamentales, particulares y sociedad en conjunto.









nueva página del texto (beta)




