Introducción
Una hipótesis bien establecida dentro de la literatura económica sostiene que el capital humano formado a partir de la inversión en educación formal, del entrenamiento y de la experiencia en el trabajo, se asocia con mejores ingresos en el caso de los trabajadores, con mayor productividad y eficiencia en el caso de las empresas y con una mayor prosperidad en el caso de los países. En el terreno empírico, la relación entre capital humano y desempeño a nivel macroeconómico ha sido ampliamente aceptada, particularmente en los estudios de crecimiento económico. En el ámbito microeconómico, el sustento empírico de esta hipótesis ha sido construido a partir de una diversidad de estudios bajo diferentes niveles de agregación que han relacionado el capital humano con algunas variables de desempeño tales como la eficiencia asignativa, el éxito o permanencia de los negocios y la productividad. El análisis empírico de la hipótesis del capital humano a nivel de establecimientos en México, particularmente en el ámbito de las microempresas, ha sido poco abordado, por lo que trabajos en este sentido pueden abonar no sólo a la literatura sobre el capital humano en el país, sino también al estudio de un segmento empresarial que ha adquirido gran relevancia en las discusiones de desarrollo social a nivel internacional.
Este trabajo busca extender el enfoque del capital humano al análisis de microempresas de bajo valor agregado, con el fin de encontrar elementos que permitan evaluar su contribución. Se analiza el impacto de la escolaridad formal y la experiencia en la administración del negocio sobre la dinámica productiva en un grupo de microempresas, bajo la hipótesis de que los diferenciales en la acumulación de capital humano en las empresas se asocian con diferenciales en términos de productividad. Un aspecto que resulta novedoso para la literatura económica en México, además de la utilización de información con tal nivel de desagregación, es el tratamiento conjunto de los aprendizajes formales adquiridos en instituciones educativas y los aprendizajes informales por experiencia, ya que los estudios de este tipo suelen considerar únicamente los primeros. Partiendo de trabajos previos, la relación entre capital humano y productividad se determina a través de funciones de producción que incorporan variables binarias para representar distintos niveles de educación formal y experiencia en el trabajo. La contribución del capital humano es medida a través de los diferenciales en el índice de productividad total de los factores entre los grupos de microempresas de acuerdo con su perfil de capital humano.
Los resultados presentan evidencia a favor de la hipótesis del capital humano, en el sentido de que la escolaridad formal y la experiencia en la administración del negocio favorecen la productividad de las microempresas, aunque con impactos diferenciados donde predomina el impacto de la segunda, lo que permite asociarla con la permanencia de las empresas en el largo plazo. Los rendimientos de la educación se materializan particularmente para la educación técnica, siendo inferiores a los reportados para la experiencia. Los resultados muestran los beneficios potenciales que pueden tener los programas de asistencia que favorezcan la transferencia de aprendizajes a este tipo de negocios en el marco de restricción de recursos en que se desenvuelven.
La emergencia de las pequeñas empresas y su contribución en México
La percepción internacional acerca de la pequeña empresa se ha modificado desde los ochenta como consecuencia de los grandes problemas de inestabilidad económica, recesión y desempleo. En este contexto, la gran empresa experimentó problemas para mantener sus economías de escala, canalizando procesos a pequeñas empresas bajo esquemas de subcontratación (Mungaray, 1997) con el objetivo de aprovechar su eficiencia colectiva, su potencial de innovación, su flexibilidad productiva y la capacidad de explotar redes o encadenamientos (Pratten, 1991). Los cambios tecnológicos a favor de la pequeña escala se han hecho evidentes al observar tendencias recientes de la estructura empresarial y del empleo en países como Estados Unidos que muestran incremento de la participación de las empresas pequeñas (Acs y Audretsch, 1989). Otro hecho importante ha sido el desplazamiento de personal altamente calificado de empresas grandes que han emprendido negocios tecnológicos de escala reducida y se constituyen como agentes de cambio en la economía debido a sus actividades de innovación (Acs, 1992; Carree y Thurik, 1998).
En México, el sector empresarial se divide en cuatro grandes grupos con base en el número de empleados y sector de actividad económica donde operan según la clasificación oficial. Estos grupos se conforman en micro, pequeñas, medianas y grandes empresas, tal como se ilustra en el Cuadro 1.
Las cifras indican que en México existen 2.9 millones de unidades económicas en los sectores manufacturero, comercial y de servicios (INEGI, 2004). El proceso de reformas estructurales y la estrategia macroeconómica de estabilización, ha configurado un país con grandes desigualdades económicas, regionales, sectoriales y sociales (Ocegueda y Mungaray, 2002). Si bien estos desequilibrios no son de origen reciente, ni pueden atribuirse a las nuevas condiciones económicas, el proceso de cambio estructural ha contribuido a una polarización de estos desequilibrios (Dussel, 1997). En el sector empresarial ello da lugar a dos segmentos de empresas con características contrastantes. En un extremo se encuentra 1.3% de la estructura empresarial que se distribuye en medianas y grandes empresas, caracterizado por poseer capacidades tecnológicas y de alta generación de valor agregado que les ha permitido incursionar en mercados dinámicos (Mungaray, et al., 2002).
En el otro extremo se encuentran las micro y pequeñas empresas orientadas principalmente al mercado interno satisfaciendo algunos nichos de mercado, que operan con tecnologías tradicionales, generan bajos niveles de valor agregado y, por tanto, ofrecen empleos de baja remuneración. Estas empresas alcanzan una participación en las empresas totales de 98.7% en 2003, según el censo más reciente (INEGI, 2004), si bien el grupo de microempresas que de acuerdo con la clasificación oficial cuenta con hasta diez empleados, alcanza una proporción de 95% sobre el total, cifra que de igual forma es menor a la de 97.5% registrada en 1993. El predominio de estas empresas dentro de la estructura empresarial se reproduce en los distintos sectores económicos con 98.2% en las manufacturas, 99.9% en el comercio y 99.7% en los servicios, proporciones que prácticamente no han variado desde 1993. Dentro de este mismo segmento de microempresas, las empresas entre uno y cinco trabajadores representan 93% en el comercio, 88% en los servicios y 83% en la manufactura, proveyendo 53, 33 y 14 por ciento de los empleos sectoriales respectivos, lo cual convierte a estas unidades económicas en la empresa típica del país.
De acuerdo con diversos autores, las microempresas siguen lógicas y comportamientos distintos al resto de las empresas, inclusive al de las pequeñas unidades. Esto implica la existencia de diferenciales importantes dentro del seno de las medianas y pequeñas empresas (MyPES) a pesar de que a menudo se les trata de forma indistinta. El Banco Interamericano de Desarrollo (1997) considera a la microempresa como una unidad de producción de subsistencia que en muchos casos se encuentra al margen del marco regulatorio, cuyo propietario es quien lleva a cabo la mayoría de las actividades del negocio, sus empleados suelen provenir del seno familiar y no hacen una separación entre lo de la familia y lo de la empresa. En la misma línea que destaca el carácter unipersonal y familiar, informal y de subsistencia de este tipo de negocios, se encuentran tipificaciones de otros autores como Mungaray, et al. (2005), Carpintero (1998) y Ruiz (1995). Aun cuando su contribución productiva en términos de valor agregado es limitada, las cifras de su participación en establecimientos, empleo y autoempleo en América Latina y en los países en desarrollo, ubican a este segmento empresarial como verdaderas opciones de desarrollo basadas en el mercado, para millones de familias que se encuentran en la línea de pobreza. Carlsson (1999), Bianchi (1999), Acs (1992), Harper (1984) y Yamamoto (1959) destacan que la emergencia competitiva de estas empresas puede mitigar los efectos de los ciclos económicos, favorecer una mejor distribución del ingreso y generar mejores condiciones de crecimiento y desarrollo. Estas posibilidades han llevado a organismos internacionales de desarrollo a incluir el fomento y apoyo a las microempresas como parte de un planteamiento estratégico sobre el papel que las fuerzas empresariales pueden tener en la búsqueda del crecimiento con equidad, si se convierten en entidades innovadoras vinculadas a la economía moderna (CEPAL, 1992). Entre las dificultades que enfrenta este tipo de negocios destacan la escasez de financiamiento y capacitación técnica (Mungaray y Ramírez, 2000) producto de su bajo nivel de capital humano, problemática de la que se desprende su reducida participación en los mercados. En consecuencia, la proliferación de este tipo de negocios responde a prácticas de sobrevivencia (Mungaray, et al., 2002) que les permite suplir el empleo perdido o no ofrecido, o bien, compensar el deterioro del salario real. Una restricción adicional se encuentra en sus altos costos debido a sus reducidas escalas (Mungaray y Ramírez, 2004) y sus costos de transacción son altos en relación con su tamaño (Ramamurthy, 1998), por lo que de manera natural se encuentran subordinadas a las grandes en la pirámide empresarial.
Capital humano, learning-by-doing y sus efectos sobre la productividad
Shultz (1960 y 1972) incorpora el tema de la educación y sus efectos sobre la gente dentro de la literatura económica, al proponer su análisis como una forma de inversión y sus consecuencias como una forma de capital. Con ello empieza a hablar del concepto de capital humano, argumentando que la educación y otros aspectos asociados con la vida de las personas, generaban rendimientos económicos al mejorar las capacidades y habilidades de la gente para trabajar y administrar sus asuntos y los de las empresas que los emplean. La existencia de otro tipo de capital era consistente con la observación empírica de que el producto nacional estadounidense se asociaba cada vez menos con las variaciones de la relación capital-trabajo y más a otros factores como a las habilidades y conocimientos de la gente.
El capital humano se ha definido tradicionalmente desde la perspectiva educativa. Si bien, este aspecto constituye una proporción importante de su formación y sus rendimientos, el concepto es más amplio. Para Shultz (1961) y Becker (1962), las categorías que forman el capital humano y que pueden ser tratadas como inversión por su impacto en el desempeño e ingresos del ser humano son la infraestructura y servicios de salud, que afectan la esperanza de vida, la fortaleza, la resistencia, el vigor y la vitalidad de la gente; el entrenamiento en el trabajo, que incluye el estilo de aprendizaje organizado por empresas; la educación formalmente organizada en instituciones educativas; los programas de estudio para adultos en programas de extensión; y las acciones para adquirir información sobre el funcionamiento del sistema económico.
Becker al igual que Shultz, concibió la inversión en capital humano como todo recurso invertido en la gente, pero hizo énfasis en aspectos como el entrenamiento en el trabajo, la escolaridad y otros conocimientos cuyos retornos podían ser capturados por los empleados en mayores salarios y por las empresas en mayor productividad (Becker, 1975). El entrenamiento en el trabajo eleva la productividad futura de los trabajadores, al estimular el aprendizaje de nuevas habilidades y perfeccionar las viejas. La escolaridad tiene que ver con un proceso formal de enseñanza dentro de las escuelas especializadas en la producción de entrenamiento, a diferencia de la empresa que ofrece entrenamiento ligado a la producción de bienes. Según Becker, el entrenamiento en el trabajo y la escolaridad son complementarios en el sentido de que el dominio de ciertas habilidades requiere especialización y experiencia práctica, por lo que los aprendizajes deben adquirirse parte en la escuela y parte en el trabajo.
Paralelamente, otras vertientes empiezan a formarse con las aportaciones de Andress (1954) y Arrow (1962) inspiradas en la industria aeronáutica donde se observaba que a medida que la cantidad de unidades manufacturadas se duplicaba, el número de horas hombre directas utilizadas para producir una unidad decrecía a una tasa uniforme (Yelle, 1979). Estas vertientes sostenían que no sólo la inversión en capital humano producto del entrenamiento formal en la escuela o en las empresas representaba retornos económicos, sino también los procesos informales de aprendizaje por experiencia dentro del mismo trabajo (Mungaray, 1997). Posteriormente, estos procesos empezaron a ser bien conocidos como learning-by-doing o aprender haciendo. Andress planteaba que a medida que el trabajador desempeñaba sus responsabilidades en el proceso productivo y repetía una operación muchas veces, aprendía y se volvía más eficiente con una reducción de la mano de obra directa empleada por unidad de producto. Por su parte, Arrow (1962), uno de los primeros en reconocer y modelar dentro de la literatura económica el concepto de learning-by-doing, sostenía la posibilidad de que la productividad fuera endógenamente estimulada por procesos de aprendizaje emprendidos por los trabajadores al repetir las tareas propias de su trabajo y enfrentarse a los mismos problemas en el proceso productivo. Dichos aprendizajes en el trabajo, según Jovanovic y Nyarko (1995), no sólo elevaban la productividad independientemente del capital físico existente, sino que constituían punto de partida de innovaciones en las técnicas de producción y en las formas de organizar y comercializar los productos (Young, 1993).
El aprendizaje propio de las actividades rutinarias en el trabajo (learning-by-doing), según Byong-Hyong y Gort (1993), puede ser descompuesto en aprendizaje del trabajo, aprendizaje del capital y aprendizaje de la organización. El primero tiene que ver con el aprendizaje asociado a labores manuales o semimanuales con las cuales los trabajadores adquieren habilidades en tareas específicas y las refuerzan por la experiencia. El aprendizaje del capital se refiere al conocimiento sobre el uso de las máquinas y herramientas, de sus características y capacidades y hasta de los motivos por los que fallan. El aprendizaje de la organización incluye todo aquel conocimiento que se genera a través de la interacción de las personas que intervienen en el proceso productivo, y de las capacidades y aprendizaje del que organiza la producción a lo largo del tiempo. Este tipo de aprendizaje incluye el conocimiento del equipo de trabajo y de las capacidades de cada integrante para responder ante diferentes problemas; la mejor organización, comunicación y coordinación entre los diferentes departamentos; y el conocimiento sobre el mercado. Prescott y Visscher (1980) se refieren a este tipo de aprendizaje como capital organizacional y destacan que su acumulación dentro de las empresas puede explicar su existencia a lo largo del tiempo.
En el terreno empírico, esfuerzos por probar la hipótesis del capital humano se han dado tanto a nivel macro como microeconómico. Macroeconomistas como Romer (1986), Lucas (1988) y Mankiw, Romer y Weil (1992), encontraron que los diferenciales en capital humano y progreso tecnológico entre países explicaban sus diferenciales en desarrollo; y que el progreso tecnológico, otro de los determinantes de crecimiento, estaba en función de la educación de la población y del tiempo acumulando conocimientos. Desde la perspectiva microeconómica, los trabajos sobre el capital humano se han enfocado a analizar su relación con la eficiencia asignativa, la permanencia de los negocios y la productividad. En cuanto a los primeros, Huffman (1977) argumenta que el grado de eficiencia con la que los agentes perciben y responden ante cambios en el entorno se conoce como habilidad asignativa y que está en función del capital humano, particularmente la inversión en educación y la extensión. Por su parte, Stefanou y Saxena (1988) estudiaron el impacto del entrenamiento sobre el proceso de toma de decisiones de los trabajadores en un negocio de agricultura y encontraron que la educación y la experiencia podían ser considerados como bienes sustitutos y jugaban un papel relevante en la eficiencia, y Bates (1990) en una muestra de pequeñas empresas de autoempleo encuentra que los años de escolaridad elevaban la probabilidad de supervivencia o de éxito de las empresas.
Entre quienes analizan la relación entre capital humano y productividad, Sen (1966) encontró que el perfil edad-productividad para cada nivel de escolaridad, primero se incrementa, llega a un máximo y después cae; y que la tasa de incremento de la productividad se reduce en el tiempo. Con metodologías similares aplicadas a empresas y utilizando medidas subjetivas sobre productividad por medio de encuestas, Barron, et al. (1987) y Bishop (1994) encontraron que el entrenamiento proveído por el empleador incrementaba la productividad subjetiva, es decir, la productividad percibida por el trabajador. Por su parte, Bartel (1989) utilizó una muestra de empresas con múltiples establecimientos y obtuvo que la inversión en entrenamiento elevaba la productividad en aproximadamente 16%. Posteriormente Bartel (1992), encontró que la inversión en entrenamiento se relacionaba directamente con la productividad futura en datos transversales de empresas manufactureras. Unos años después, Black y Lynch (1996) con información de encuestas aplicadas a establecimientos manufactureros y no manufactureros, encontraron que el nivel de escolaridad promedio tiene un efecto positivo y significativo sobre la productividad a nivel de establecimientos. Por último, Fafchamps y Quisumbing (1999) encontraron una relación marginalmente significativa entre la productividad y las variables de capital humano y una relación significativa entre el capital humano y el ingreso fuera del campo y el ingreso total. Esto les permitió argumentar la existencia de una reasignación del tiempo de los miembros de las familias campesinas de actividades en el campo hacia actividades fuera de éste a medida que el capital humano se incrementa.
Por lo que respecta a trabajos en México, Ramírez, et al. (2002a) y Ramírez, et al. (2002b), estiman curvas de aprendizaje individuales para periodos en los que microempresas de este tipo recibieron asistencia técnica de estudiantes universitarios en servicio social, encontrando aprendizajes en 36% de las empresas analizadas, mismos que se reflejaron en reducciones de sus costos medios durante el periodo. Por su parte, Ledezma (2004) estimó una rentabilidad económica de 4% en microempresas de bajo valor agregado, asociado con el nivel de intensidad de la asistencia en el marco del servicio social universitario. Por último, Ramírez (2005) asocia los desplazamientos favorables de la función de costos medios en estas empresas con los aprendizajes empresariales, mientras que Texis (2006) utiliza el análisis de las funciones de producción y curvas de aprendizaje para encontrar una relación positiva entre rendimientos crecientes y aprendizaje. Ambos trabajos concluyen que es fundamental el papel del aprendizaje en la sobrevivencia de este tipo de negocios.
Metodología
Estimación de los diferenciales en productividad a nivel de establecimientos
La productividad es medida típicamente como el cociente entre la producción y los insumos, y destacan los índices parciales con respecto al trabajo y al capital, así como la productividad total de los factores (PTF). Este último índice representa la parte de la producción no atribuida al empleo de los factores productivos, sino a diferentes fuerzas dinámicas tales como el propio progreso técnico, la acumulación de capital humano, arreglos institucionales, entre otros efectos, que impactan la eficiencia y la productividad (Nadiri, 1970). En estudios de sección cruzada a nivel de establecimientos, la PTF puede capturar diferenciales en producción no atribuidos a los diferenciales en la cantidad de factores utilizados entre empresas y entre periodos (Brynjolfsson y Hitt, 2002), que pudieran estar relacionados principalmente a divergencias tecnológicas, de capital humano, y organizacionales.
Asumiendo una función de producción general de dos factores de la siguiente forma:
donde Y es la producción, K es el factor capital y N es el trabajo de la empresa o grupo de empresas i, y C i el residuo o la constante asociada a la función.
Según Nadiri (1970), la PTF en esta función puede derivarse en términos de la ecuación [2],
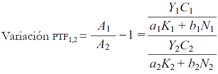
donde los parámetros a y b representan proporciones adecuadas del capital y el trabajo en el proceso productivo, respectivamente, t indica el hecho de que el índice A cambia a lo largo del tiempo como producto del progreso técnico en términos hicksianos y de otros factores asociados con la eficiencia. A partir de esta ecuación, se pueden definir los diferenciales en el índice de PTF (A i ) entre empresas o grupos de empresas (1 y 2) con la expresión [A1/A2] -1, la cual aplicada a la función en cuestión resultaría en la siguiente expresión.
En esta expresión se elimina la notación t dado que se evalúan ambos individuos en un periodo de tiempo determinado, en un mismo estado de la tecnología y condiciones de acceso a ella similares entre los grupos. Bajo estos supuestos, los resultados del diferencial [A1/A2]-1 estarían determinados por las características inherentes a los grupos en cuestión.
Las diferencias entre grupos pueden resultar de diferenciales en la eficiencia de la organización de los recursos físicos y humanos derivados de la administración (Mefford, 1986), divergencias en las habilidades, nivel de entrenamiento y experiencia del recurso humano (Huffman, 1977; Stefanou y Saxena, 1988), en los arreglos institucionales con clientes y proveedores (Nadiri, 1970), en factores relacionados con la eficiencia X tales como cuestiones motivacionales, esquemas de supervisión y control (Leibenstein, 1966), y de otros factores relacionados con la zona geográfica y el tipo de actividad de los grupos en cuestión.
Asumiendo que un par de grupos de empresas pueden representarse con una misma tecnología, lo cual requeriría homogeneidad en términos de los atributos cualitativos de los insumos utilizados y los mismos precios relativos de éstos de un grupo con respecto al otro, entonces las proporciones de los factores a y b serían constantes entre los grupos y el diferencial en el índice de productividad total vendría dado por la expresión [4].
La ecuación [4] sugiere que tal diferencial depende del cociente entre PTF1 y PTF2, los índices de productividad total de cada grupo de empresas. El uso de una tecnología homogénea que represente a ambos grupos permite que el diferencial venga dado simplemente por el cociente del intercepto o el residuo (C i ).
Los modelos de estimación de la función de producción y las pruebas estadísticas
Los estudios de capital humano y análisis de productividad en estudios de sección cruzada a nivel de establecimiento, suelen asumir la función Cobb Douglas (CD ) como en Black y Lynch (1996), Basant y Fikkert (1996), Fafchamps y Quisumbing (1999), y Brynjofsson y Hitt (2002). Otros como Mefford (1986) y Söderbom y Teal (2001) en lugar de asumir la función CD, estiman varias formas funcionales menos restrictivas como las funciones Translog (TL) (Christensen, Jorgenson y Lau, 1973) y la de Elasticidad de Sustitución Constante (CES) (Arrow, Chenery, Minhas y Solow, 1961; Kmenta, 1967). A partir de la estimación de estas funciones se realizan pruebas de hipótesis para determinar la mejor especificación acorde a los datos y grupos en cuestión, lo cual depende crucialmente de los supuestos que se establezcan sobre la tecnología en términos de si presenta o no la propiedad de homoteticidad, y el valor y variabilidad de la elasticidad de sustitución.
Para la estimación de la función de producción se parte de la siguiente formulación:
En esta formulación, el parámetro α (hs, hx, z) constituye la constante o intercepto de la regresión. Las variables K i y N i representan los factores capital y trabajo con sus parámetros asociados β1 y β2, las elasticidades de producción de dichos factores, respectivamente. La constante de regresión α (hs, hx, z), por suposición se hace depender de la parte de la acumulación del capital humano en la empresa atribuible al entrenamiento formal en instituciones educativas (hs), al entrenamiento que algunos autores denominan informal que se presenta por procesos de experiencia en la operación del negocio (hx) que no implica un proceso formal de enseñanza o de capacitación, y de otros efectos de control que tienen que ver con la región geográfica, el tipo de actividad desempeñada y el periodo, considerados explícitamente en el modelo (z). El residuo puede incluir otros efectos no incorporados explícitamente al modelo. Esta ecuación asume los factores capital y trabajo como esenciales en el sentido de que no habría producción si no estuviesen presentes en la empresa, mientras que el capital humano se asocia con la eficiencia en el uso de los factores productivos por lo que se refleja en la PTF (Huffman, 1977).
La aproximación empírica de las funciones se realizan utilizando el valor agregado (Y i ), que resulta de restar los costos por utilización de los factores e insumos del valor de la producción; el valor de los activos fijos (K i ) y las horas hombre laboradas (N i ) por periodo. La utilización del valor agregado como variable proxy de la producción permite excluir los insumos como variables explicativas en la ecuación. La incorporación del capital humano (hs y hx) en las funciones se realiza a través controlar tales efectos con variables binarias para representar diferentes niveles de escolaridad y experiencia en años de administración del negocio por parte del dueño, dada la naturaleza de los datos disponibles y trabajos previos (Stefanou y Saxena, 1988). Las variables en forma de dummies que se incorporaran en el estudio econométrico agrupados en la constante α (hs, hx, z), se detallan en el siguiente cuadro.
Las variables binarias que representan los rangos de tiempo de operación del negocio se asocian con la experiencia en la administración del dueño del negocio, que dado el tipo de empresas bajo análisis, es quien toma las decisiones y ha estado durante la existencia de la empresa. Este indicador no incluye la experiencia de los empleados de la microempresa ya que este último dato no se encuentra disponible. Este indicador no sólo captura la capacidad de permanencia o supervivencia de la empresa, sino también una serie de experiencias o aprendizajes que ayudan a mejorar la forma en que se administran los recursos del negocio, desde los físicos y financieros hasta los humanos, y otros aprendizajes que pueden transferirse del dueño a los empleados y que se difunden entre ellos a lo largo de los años. Aquí se cuentan las nociones que se van adquiriendo sobre el comportamiento del mercado y la adquisición de destrezas y dominio del proceso productivo que suelen llevar a mejorarlo, mismas que sólo se logran a partir de la experiencia en la producción pasada. El nivel de escolaridad se ha definido como el nivel educativo promedio de los miembros de la empresa y pretende capturar elementos asociados con la posibilidad de realizar cálculos, de procesar y analizar información útil sobre el negocio, aplicar técnicas sencillas y reglas básicas para la administración, presupuestación y fijación de precios conforme a los costos, el mercado y la organización de la producción, la capacidad de relacionarse y de negociar con clientes y la adquisición de nociones en aspectos relevantes para los clientes relacionados con el producto, el servicio, la calidad e higiene, entre otros, que pudieran resultar de los procesos educativos formales.
Las especificaciones TL, CES y CD se presentan en las ecuaciones [6], [7] y [8], respectivamente, donde las letras minúsculas representan las variables en logaritmo natural.
Las pruebas de hipótesis que pueden conducirse alrededor de estas funciones son las de homoteticidad, homogeneidad de grado 1 (rendimientos constantes a escala) y de especificación CD según se presentan en el Cuadro 5. Una vez realizadas estas pruebas y determinada la función adecuada, se realiza el análisis de PTF con base en la ecuación [4]. La aproximación estadística de dichos diferenciales se realiza a través de aplicar pruebas F de intercepto (Fi), que equivalen a determinar si dos regresiones diferentes se interceptan al eje de las ordenadas en el mismo punto, o en puntos diferentes que sugieran desplazamientos de la curva para los grupos de interés. Esto se realiza con base en regresiones no restringidas que incluyen los efectos de interés y las restringidas que excluyen tales efectos con base en las hipótesis H.1 a la H.5 en el Cuadro 7. La ecuación [4] requiere el supuesto de que las pendientes no varían entre los grupos por lo que también se aplica una prueba F de pendiente (Fp) bajo la hipótesis H.6 en el mismo cuadro, donde el modelo no restringido viene dado por la siguiente ecuación.
Consideraciones sobre las microempresas de la muestra
Una estrategia de investigación que ha coadyuvado a obtener datos y brindar asistencia técnica a este tipo de negocios es el Programa de Investigación, Asistencia y Docencia a la Micro y Pequeña (PIADMyPE) desarrollado en la Universidad Autónoma de Baja California. El objetivo de este programa ha sido promover la asistencia técnica a este tipo de negocios a través de estudiantes en servicio social y la investigación para su desarrollo. La información utilizada para este estudio fue compilada en el marco de este programa con la colaboración de estudiantes a lo largo de tres periodos: enero-junio de 2001, agosto-diciembre de 2001 y enero-junio de 2002. El estudio incorporó la información de microempresas operando en las ramas de alimentos y bebidas, y metal mecánica en los estados de Baja California y Nayarit, localizadas por muestreo aleatorio en zonas o colonias con carencias de al menos algún servicio público como agua, electricidad, drenaje y pavimentación; y de entre aquellas que no contaran con apoyo institucional, que sus dueños tuvieran un nivel máximo de estudios de preparatoria y que carecieran de algún sistema administrativo formal. Las empresas se encontraron operando como pequeñas productoras de tortillas, tostadas, tamales, quesos, pan, herrerías industriales y artesanales, y pequeños tornos, todas ellas con tecnologías básicas y con procesos tradicionales, que los dueños aprendieron de familiares o en trabajos previos.
Los estadísticos de las microempresas de la muestra se exponen en el Cuadro 3. En total, se considera una muestra de 89 microempresas de las cuales 60% pertenecen al estado de Nayarit y 40% a Baja California. Se nota un predominio de las microempresas de alimentos con 87% del total, porcentaje que resulta similar cuando se analiza por estado. El promedio del valor agregado para el total de las empresas es de 275 pesos diarios, y presenta variaciones fuertes cuando se analiza por subsector, ya que las microempresas en metalmecánica poseen un valor agregado promedio diario de 963 pesos, mientras que el de alimentos resulta de 163 pesos. Cuando estos indicadores se analizan en términos per cápita, es decir, dividiendo el valor agregado y el número de empleados promedio, se tiene que la productividad en términos de valor agregado es mucho mayor en el subsector metalmecánica (642 pesos), mientras que el de alimentos es de sólo 83 pesos. Ello se encuentra relacionado con el nivel de activos fijos promedio por establecimiento que es de 11 197 y 9 034 pesos, respectivamente. Existen diferencias importantes en términos del valor de activos fijos promedio por estado, ya que en Baja California asciende a 18 309 pesos, mientras que en Nayarit a 5 111 pesos.
El tamaño promedio de las microempresas consideradas en el estado de Baja California es de 2.9, mientras que para Nayarit es de 2. Analizado por rubro de actividad, se tiene que el número de empleados en promedio es mayor en los alimentos (2) que en metalmecánica (1.5). Que el tamaño promedio de las micros en términos de activos fijos y de empleados sea mayor en Baja California que en Nayarit es razonable, pues la dinámica microempresarial en general se concentra básicamente en las actividades de alimentos y metalmecánica y es impulsada primordialmente por la dinámica demográfica (Ruiz y Kagami, 1995).
En términos de escolaridad, una cantidad igual de microempresas posee primaria y secundaria, llegando juntas a 63% del total. El resto se reparte en el rubro de sin estudios (16%), técnica (15%) y en el nivel de preparatoria (7%). Esto sugiere que sólo 22% de la muestra posee estudios de educación media superior. Se observa un nivel de escolaridad promedio mayor en Nayarit que en Baja California, pues en el primero encontramos que 63% de las empresas cuentan con educación promedio de media superior, mientras que el segundo sólo cuenta con 40% en este nivel, lo que podría explicarse por los rasgos demográficos en cada entidad. De la misma forma, se observa que en Baja California 22% no cuenta con estudios, mientras que en Nayarit esta cifra es de 11%. En cuanto a la rama de actividad, podemos apreciar que 84% de las empresas del ramo de metalmecánica poseen un nivel de estudios promedio de secundaria y técnica, mientras que esta cifra es de 40% en alimentos. De igual forma, 20% de las empresas en alimentos cuenta con educación promedio de media superior, mientras que en metalmecánica esta cifra asciende a 25%, lo que implica que este sector requiere un mayor nivel de educación para operar los negocios debido a la mayor tecnificación relativa de la actividad en el contexto de este tipo de establecimientos.
Por último, 67% del total de empresas tiene de cero a cinco años en operación. Esta cifra contrasta cuando se divide por estados, pues cerca de 47% de las microempresas de Baja California han operado por menos de un año, 21% entre uno y cinco años, y el resto por más de cinco años. En Nayarit, sólo 21% de las empresas había operado por menos de un año, mientras que 45% lo había hecho por uno y cinco años, y 34% por más de cinco años. Esto sugiere que las empresas en Nayarit llevan operando en promedio más años que las de Baja California, lo que de igual forma puede asociarse con los diferenciales en las dinámicas económica y demográfica. En Baja California, la presencia de un mercado laboral más amplio y dinámico por el efecto de la industria maquiladora de exportación, permite un más rápido tránsito de empleados a microempresarios y viceversa, debido a la mayor oferta de empleo con respecto a Nayarit, lo que es consistente con la alta rotación de personal característico de la industria en Baja California reportada en varios estudios.
Resultados
Los resultados de la estimación econométrica de las funciones TL, CES y CD, ecuaciones [6], [7] y [8], respectivamente, se presentan en el Cuadro 4, mientras que el Cuadro 5 muestra las pruebas de hipótesis asociadas.

Nota: *5% y **10% de significancia estadística.
Cuadro 4: Resultados econométricos de las funciones TL, CES y CD

Nota: */ Se aplican pruebas Wald de coeficientes. Los términos en paréntesis son el estadístico F y la probabilidad asociada.
Cuadro 5: Pruebas de hipótesis para las funciones TL, CES y CD
Las pruebas de hipótesis sugieren en primera instancia la aceptación de la hipótesis de homoteticidad y de rendimientos constantes a escala. La prueba de especificación CD realizadas alrededor de las estimaciones TL y CES apuntan hacia la aceptación de la hipótesis que sustenta la validez de la función CD para representar las microempresas de la muestra. Los resultados econométricos de la función CD de la ecuación [8] muestran la significancia individual y en conjunto de los factores capital y el trabajo tal como indican los estadísticos t y F. El valor de las elasticidades β1 y β2 es bajo para el capital y relativamente mayor para el trabajo, lo que es consistente con la literatura sobre pequeñas empresas. Bajo el supuesto de rendimientos constantes a escala, como se demostró antes, lo anterior implica que el trabajo alcanza un peso mayor dentro del proceso productivo en relación al capital. El modelo tiene una capacidad explicativa de 60% medida por el R2 ajustado. Las pruebas White y de normalidad para los residuos indican que el modelo es homoscedástico y se comporta normalmente, pues no existe evidencia suficiente para rechazar estas hipótesis. La significancia estadística de las variables binarias que controlan el modelo para el estado y el susbsector revela importantes diferencias en la constante de la función de producción entre los grupos, lo que en menor medida ocurre con el efecto del periodo que resultó significativo a 10 por ciento.
Una vez incluidos los controles para el estado, subsector y periodo, es posible determinar los impactos del capital humano sobre el intercepto α, y derivar algunas conjeturas sobre su impacto en el índice de PTF del grupo de microempresas. En general, es posible observar la relevancia del capital humano sobre el intercepto de las funciones sugiriendo su asociación con el índice de PTF. En primera instancia, se observa que los efectos de los niveles educativos (hs) de primaria y secundaria sobre el intercepto son negativos, aunque sólo el último es significativo a 10%, y los niveles de educación técnica (significativo a 5%) y preparatoria son positivos, aunque este último resultó no significativo estadísticamente. Esto estaría implicando una relación positiva entre el nivel de educación y el índice de productividad asociado a la constante.
La experiencia del dueño en la operación del negocio (hx) muestra impactos positivos considerables sobre la constante, en particular los niveles de 1 a 5 y de 5 a 10 que resultan significativos a 5% y en menor medida el rango de más de diez años que es significativo a 10%. Es interesante notar cómo el valor de la constante asociado a cada uno de estos niveles decrece con el nivel de experiencia, lo que podría ser el reflejo de rendimientos decrecientes asociados con este indicador.
Para determinar si estadísticamente existen cambios relevantes en las constantes que impliquen diferenciales en el índice de productividad asociado a los efectos del capital humano se practican las pruebas F de intercepto bajo el supuesto de que las pendientes no varían entre los grupos de interés producto de los efectos bajo análisis. Ello además garantiza que la ecuación [4] aplique y que el cálculo de los diferenciales en los índices de productividad pueda aproximarse mediante los diferenciales en los interceptos, por lo que también se realiza una prueba de pendiente. Dichas pruebas se realizan utilizando los resultados econométricos presentados en el Cuadro 6 que corresponden a los modelos restringidos para la prueba Fi y no restringido requerida por la prueba Fp, cuyos resultados se presentan en el Cuadro 7.

Notas: t-statistic ( ), Prob. [ ], *5% y ** 10% de significancia estadística.
Cuadro 6: Resultados econométricos de los modelos CD
La prueba de pendiente bajo la hipótesis H.6 apunta a la aceptación de la hipótesis nula de igualdad de pendientes, lo que implica que los parámetros asociados al capital y al trabajo no cambian como consecuencias de los efectos del capital humano, y que éstos sólo se reflejan en la constante asociada al índice de productividad total de los factores. Ello permite aplicar las pruebas de intercepto para determinar si efectivamente existen diferenciales en las constantes que pudieran asociarse con el capital humano. Estos resultados se muestran igualmente en el Cuadro 7. Las cinco pruebas muestran evidencia de rechazo de la hipótesis nula de igualdad de interceptos con niveles de confiabilidad de 99%, tanto para el capital humano en su conjunto como para sus especificaciones parciales asociadas con la escolaridad formal y la experiencia.
Estos resultados muestran evidencia sustantiva de la existencia de diferenciales en las constantes de las funciones de producción asociados con divergencias en términos de capital humano entre los grupos, los cuales pueden asociarse con los índices de PTF como lo indica la ecuación [4]. Aplicando esta fórmula al modelo no restringido de la ecuación [8], cuyos resultados econométricos se encuentran en el Cuadro 4, es posible aproximar los cambios de intercepto asociado a cada perfil de capital humano que corresponderían a las variaciones en el índice de PTF entre los grupos de interés. Los resultados se muestran en el Cuadro 8 donde es posible observar que el capital humano en su conjunto incrementa la PTF en 77%. La escolaridad que fundamentalmente viene impulsada por el nivel de educación técnica eleva la productividad en 17%, mientras que la experiencia del dueño en la administración del negocio lo hace en 60%. El incremento de la PTF derivado de la educación formal asumiendo acumulación previa de experiencia es de 10% mientras que dicho efecto para el caso de la experiencia asumiendo acumulación de educación formal es de 54 por ciento.

Nota: */ Cálculos realizados con base en el modelo no restringido.
Cuadro 8: Cálculo del cambio en el índice de PTF
Los resultados obtenidos sobre la relación positiva entre desempeño y la formación de capital humano, son consistentes con lo regularmente encontrado por estudios a nivel micro y macroeconómico. En particular se encuentran consistencias con los hallazgos de Sen (1966), Barron, et al. (1987), Bartel (1989 y 1992), Bishop (1994) y Black y Lynch (1996), quienes con técnicas y matices diferentes encontraron que la inversión en capital humano, tanto en escolaridad formal, entrenamiento en el trabajo y experiencia dentro del proceso productivo, se asocia positivamente con mayores niveles de productividad a nivel de establecimiento. De igual forma, se encuentran consistencias con los hallazgos de Fane (1975), Huffman (1977) y Stefanou y Saxena (1988) quienes encontraron impactos favorables del capital humano sobre la eficiencia asignativa medida como la capacidad de los operadores de los negocios de asignar eficientemente los recursos.
Conclusiones
El presente trabajo es un esfuerzo por probar la hipótesis de que el capital humano formado en fuentes formales de educación y en procesos informales a través de la experiencia del dueño en la administración de la empresa, se vincula a mejores dinámicas productivas, por lo que los diferenciales en la acumulación de este valioso recurso se asocian con divergencias en términos de productividad entre empresas. Esto se hizo en una muestra de microempresas de bajo valor agregado, utilizando el enfoque de las funciones de producción y el análisis de productividad total factorial. Dos fuentes de capital humano fueron conjuntamente analizadas bajo este enfoque: los aprendizajes formales adquiridos en instituciones educativas y los aprendizajes de carácter informal producto de la experiencia del dueño en la administración del negocio. Los resultados proporcionan evidencia de que las variables de capital humano utilizadas impactan positivamente la eficiencia de las microempresas a través de su efecto en la productividad total de los factores. Estos efectos pueden interpretarse como los retornos económicos del capital humano en este tipo de negocios. La estimación de los cambios en la productividad fueron del orden de 77% para el capital humano en su conjunto, mientras que para la experiencia y la educación, éstos resultaron del orden de 55 y 17 por ciento, respectivamente. De los resultados no se vislumbra ningún efecto sobre el uso de factores derivado de los diferenciales en capital humano entre las empresas como se reportó en las pruebas de pendiente. Ello implica que el efecto del capital humano se manifieste solo en la PTF, más que en la eficiencia marginal de los factores. Es preciso diferenciar los impactos sobre la productividad derivados de los dos tipos de inversión en capital humano considerados, pues éste fue mayor para la experiencia que para la escolaridad. Ello podría deberse a una reducción del impacto de la escolaridad formal a medida que pasan los años a partir de que se deja la escuela, y consecuentemente el incremento del peso relativo de los aprendizajes por experiencia en el trabajo que empiezan a ser la única fuente de capital humano en el largo plazo.
Los resultados muestran evidencia del valor económico que adquieren los aspectos relacionados con el ser humano, sus capacidades, habilidades, educación y experiencia en las microempresas analizadas, sobre todo en escenarios adversos que imponen fuertes restricciones financieras, tecnológicas y de mercado como en el que operan. Los recursos financieros que determinan los recursos físicos están fuera del alcance de este tipo de negocios, por lo que el aprovechamiento y capitalización de su experiencia y de su educación se convierten en factores muy importantes para su sobrevivencia y permanencia tal como los resultados indican. El hecho de que este tipo de negocios opere con una proporción baja del factor capital y alta del factor trabajo sugiere que su productividad marginal en términos del capital sea alta. Ante la imposibilidad de disponer de capital físico adicional que mejore su productividad, se puede argumentar que el factor de cambio sea la acumulación de capital humano que pueden alcanzar a través de su escolaridad y su experiencia. De la misma forma, se puede sostener que estos recursos presenten altos rendimientos. Así, pequeñas adiciones de capital humano que permitan emprender procesos de ampliación de este recurso en las microempresas, pueden brindar beneficios sustanciales en la productividad equiparables a aquellos resultantes de la incorporación de capital físico.
Esfuerzos institucionales de transferencia de conocimientos que logren abonar al stock de capital humano dentro de estas empresas, pueden contribuir a su desarrollo en un contexto de restricción de recursos crediticios como el que actualmente impera en el país, sobre todo a nivel de este tipo de empresas. Ello abre campo fértil para el desarrollo de programas de asistencia social como el PIADMyPE, pues esta asistencia técnica universitaria implica un proceso de retroalimentación útil para la empresa por tratarse de flujos de ideas, nociones sencillas y comentarios de aspectos técnicos, económicos y financieros desconocidos por los microempresarios, y hasta de procesos de motivación. Lo anterior tiene sentido considerando que los microempresarios se encuentran inmersos en una dinámica de trabajo en donde se centran en los aspectos importantes y urgentes de la producción-distribución para lograr un modo de subsistencia y poco o nada en aspectos de planeación o de mejora continua, áreas en las que de forma natural se centra la asistencia técnica. A la luz del papel desempeñado por el capital humano, existe un gran potencial en la coordinación de algunas áreas de las políticas industrial y educativa que liguen más los aspectos económicos, de administración de los negocios y de emprendimiento, con las formaciones técnicas y profesionales, e incluso las formaciones de primaria y secundaria, los programas de extensión, y los incentivos fiscales y financieros. De manera particular, existe una gran área de oportunidad en el fomento de lo que se ha venido denominando en Estados Unidos como educación económica, que pretende difundir entre la gente nociones económicas básicas útiles para la toma de decisiones patrimoniales de la vida diaria de las familias. En México, este concepto puede aplicarse en segmentos poblacionales desde la primaria y secundaria, o bien a través de programas de extensión, que fortalezcan las capacidades de la gente para conducirse en su vida productiva, que muy probablemente sea en el marco de una microempresa, dada las estructuras socioeconómica y empresarial del país donde la mayoría de las unidades formal o informalmente establecidas son de este tipo y con bajo nivel educativo.










nueva página del texto (beta)















