Apendice
En este apéndice demostraremos que las ecuaciones de amplitud del modelo BVAM pueden escribirse como la ecuación de Landau-Ginzburg con coeficientes complejos. El método que usaremos sigue los pasos que se describen en el libro de Kuramoto[30]. Para esto consideremos una perturbación cerca del punto estacionario (υ0 ,ν0),

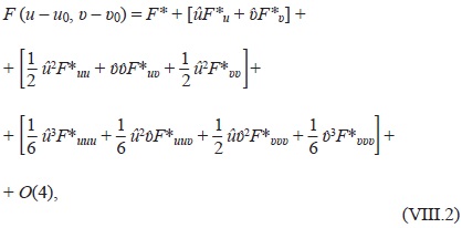
Para reemplazar (VIII.1) en (6) recordamos que la expansión en serie de Taylor alrededor de los puntos (υ0 ,ν0) para F es:

donde F* = F (υ0 ,ν0) = 0, y lo mismo para G (υ0 ,ν0).
Sustituyendo las ecuaciones (VIII.1) en (VIII.2), obtenemos:

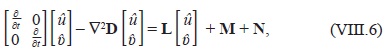
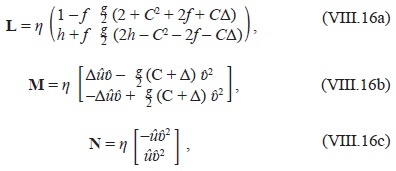
donde L denota la matriz jacobiana cuyos elementos son:

Las abreviaciones M y N, indican los vectores cuyas componentes están dadas por:

De la sustitución directa en el modelo BVAM 6 de cada derivada evaluada en el punto fijo (υ0 ,ν0) se tiene:

donde los operadores son, explícitamente:

Cerca de un punto crítico, la matriz L debe ser desarrollada en potencias de un parámetro pequeño:

donde hemos definido μ = ε2χ, y χ = sgnμ. De forma que la ecuación VIII.8a es:

Similarmente, para los vectores de mayor orden, en las ecuaciones VIII.8b y VIII.8c, escribimos:

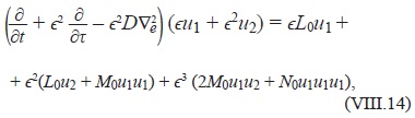
Considerando que los eigenvalores de L en la expresión VIII.8a contienen una pequeña contribución de orden ε2, es apropiado introducir una nueva escala de tiempo τ = ε2τ . Correspondientemente, la diferenciación en (VIII.5) debe ser separada como:

La sustitución de (VIII.13) y (VIII.1) en (VIII.6), y despreciando términos en (εχ)3, produce:

donde 
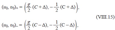
El sistema de ecuaciones del modelo BVAM (6) tiene tres puntos de equilibrio, el punto (υ0 ,ν0) = (0, 0), y

donde
y
. Para el análisis paramétrico de la bifurcación de Hopf podemos utilizar los últimos dos puntos de equilibrio. Tomando el segundo punto de equilibrio y sustituyéndolo en (VIII.8a), (VIII.8b y (VIII.8) se tiene:

Resolvemos la ecuación de la traza del jacobiano, esto es:

Lo cual sucede cuando:

De este modo podemos introducir el parámetro crítico gc para el cual se satisface (VIII.16a)

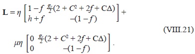
Consideremos el parametro de bifurcación

de forma que g = μgc + gc, de donde sustituyendo en (VIII.16a) obtenemos que la matriz Jacobiana (VIII.9) es:

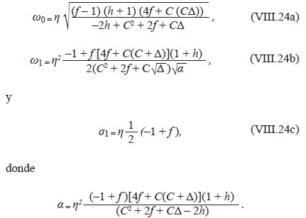
Obtenemos los valores propios de las matrices L0 y L1, esto es:

donde U es el vector propio derecho de L0 que corresponde al valor propio λ+ y U* es el vector propio izquierdo de L0 que corresponde al valor propio λ+. Análogamente, U- y U-* son los correspondientes eigenvectores con eigenvalor λ.
En la aproximacion lineal alrededor del punto υ0 de la ecuacion VIII.15, se tiene que la pertubación se escribe como (u = u0 + εu1), y se cumple que ∂u1/∂t = L0u1, lo que implica una solucion exponencial, L0U = λ0± U, de forma que cualquier función puede escribirse como una combinación lineal de los eigenvectores U, en particular u1 = WU = W*U-.
Además, después de varias simplicaciones, obtenemos:

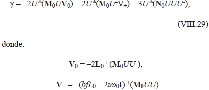
A partir de aquí podemos escribir la ecuación dinámica para la amplitud W

que se conoce como la ecuación de Landau Ginzburg con coeficientes complejos. Nuestro interés es obtener los valores de los parámetros c0, c1 y c2 para nuestro modelo BVAM. Normalizando con σ1, de (VIII.23) obtenemos el valor del parámetro c0

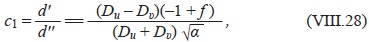
Para obtener el valor de c1, hacemos la siguiente transformación de la matriz D

de modo que

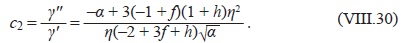
donde D = Du/Dv). Para obtener el valor de c2 , definimos:

Con lo cual, si γ = γ' + iγ", obtenemos:

Finalmente, (VIII.25) presenta caos cuando la condición

lo cual implica que una condición necesaria para que se presente caos es que los coeficientes de difusión de los dos morfógenos sean distintos, de acuerdo a (VIII.28). En la Fig.10 mostramos el resultado de un cálculo numérico en el que se presenta caos.
