Apéndice de expresiones algebraicas
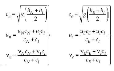
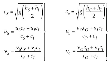
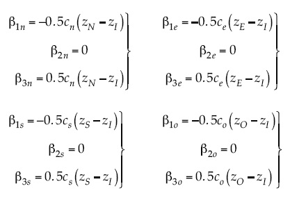
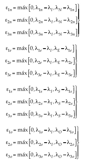
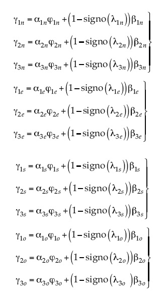
En este apéndice se muestra la particularización de las expresiones (5) a (9) del denominado enfoque vectorial al caso de implementación del enfoque ráster, objeto del presente trabajo. Por particularización se entiende la substitución y simplificación de dichas expresiones, tomando NI = 4 los siguientes valores:

Las expresiones algebraicas que se presentan aquí están ordenadas para facilitar su implementación en un programa de naturaleza lineal, es decir un thread. En caso de paralelización del problema, donde se envía cada VFC como thread diferente, las expresiones se calculan de esta forma secuencial. El orden de las expresiones se ha hecho mediante una distribución en matriz de 2 x 2, una casilla para cada uno de los cuatro lados del VFC.
Variables interpoladas en los lados del VFC


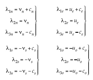
Vectores propios

Valores propios

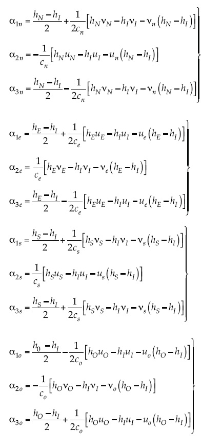
Factores alfa

Factores beta

Factores épsilon

Factores fi

Factores gamma
