Anexo
Fase de almacenamiento
Las entradas del sistema matricial relacionadas con la solución de la forma discreta de la ecuación de continuidad para el caso de la primera celda son:

para las celdas interiores se tiene:

y para la última celda, en la etapa de enlace:

y en la etapa cuasi-estacionaria:

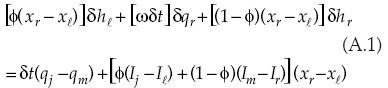
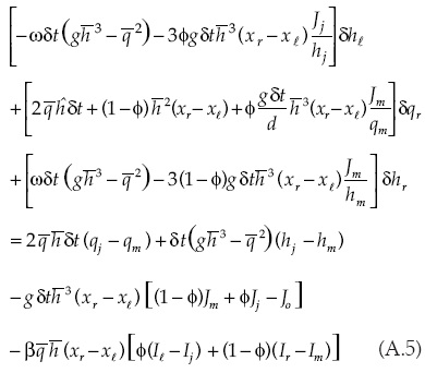
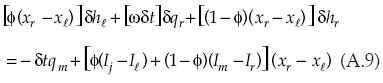
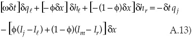
Las entradas del sistema matricial relacionadas con la solución de la forma discreta de la ecuación de momentum para el caso de la primera celda son:

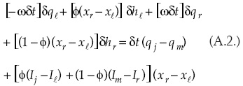
para las celdas interiores se tiene:

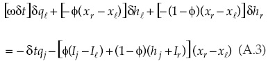
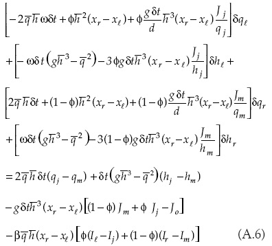
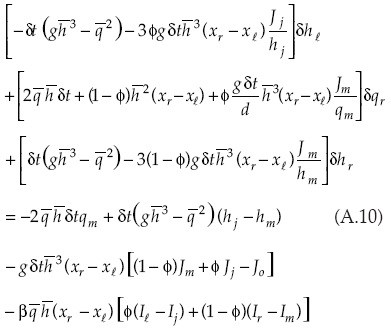
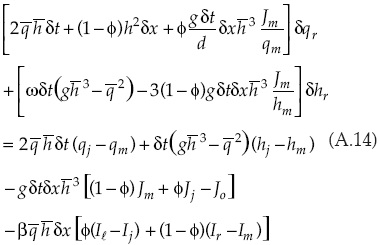
Para la última celda, en la etapa de enlace se escribe:

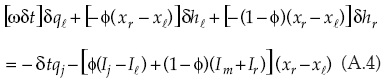
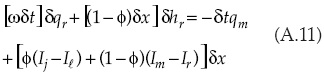
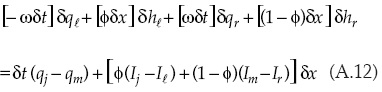
y en la etapa cuasi-estacionaria:

Fase de consumo
Las entradas del sistema matricial relacionadas con la solución de la forma discreta de la ecuación de continuidad para la primera celda son:

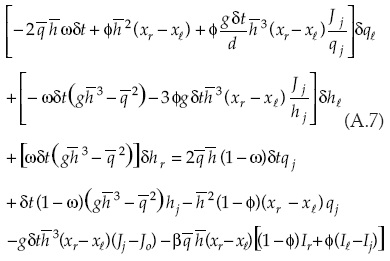
Las entradas del sistema matricial relacionadas con la solución de la forma discreta de la ecuación de momentum para la primera celda son:

Fase de recesión
Las entradas del sistema matricial relacionadas con la solución de la forma discreta de la ecuación de continuidad para la segunda celda son:

Para las celdas interiores se tiene:

Para la última celda se escribe:

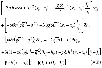
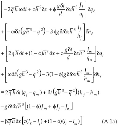
Las entradas del sistema matricial relacionadas con la solución de la forma discreta de la ecuación de momentum para la segunda celda:

Para las celdas interiores se tiene:
