APÉNDICE B
Características de la resistencia de la cimentación tipo candelero sin presfuerzo
La resistencia a compresión en el borde superior de la cimentación tipo candelero sin presfuerzo, es la resultante de una distribución elastoplástica el concreto en dicha zona y está limitada por la resistencia en tracción del acero de refuerzo que equilibra la fuerza en compresión, CRs, la que a partir de la integración del volumen de esfuerzos mostrados en la figura B.1a se puede expresar mediante:


La altura zo, a partir de la cual se inicia el comportamiento inelástico del concreto, figura B.1(a), se calcula con base en la distribución de deformación lineal, y por semejanza de triángulos se obtiene:

Combinado las Eqs. B.1 y B.2 se obtiene:

La ubicación respecto del borde superior, ycs, de la fuerza resultante en dicho borde de la cimentación, Cs, considerando la distribución de esfuerzos indicado en la figura B.1, se puede calcular en función de una fracción α2 de la altura H, mediante la siguiente expresión.

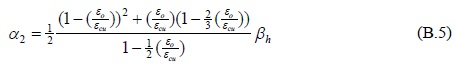
En la ec. B.4 el coeficiente α2 se calcula con la expresión siguiente.

De forma semejante para los coeficientes α1 y α3.


La figura B.2 muestra la variación de los parámetros βh, definido como la fracción de la profundidad del bloque de compresión en el borde superior de la cimentación tipo candelero, ver figura B.1, y del parámetro γh, ver figura B.1. Esta variación es función de la deformación máxima en compresión en el borde superior de la cimentación, εc, cuyo valor máximo es εcu. Los resultados mostrados en la figura B.2 se obtuvieron considerando requisitos de equilibrio, así como de compatibilidad de deformaciones. Como se aprecia en la figura B.2 los parámetros βh y γh tienden a ser en promedio igual a 0.05 para valores de μ en el intervalo 0 a 0.75.mientras que el parámetro ηD es del orden de 0.01 y crece a valores mayores que 0.05 para valores de μ mayores que 0.75.
