APÉNDICE
Considere un sistema de un grado de libertad (S1GL) con masa m, periodo T, que permanece elástico y que ha sido rigidizado con un contraviento que exhibe la geometría mostrada en la figura 3.
El área de la diagonal se relaciona con la rigidez lateral que aporta al S1GL a través de la ecuación 1. Para satisfacer los requerimientos de rigidez del S1GL, el área de la diagonal debe ser igual a:

De acuerdo con la notación mostrada en la figura 3, el área de la diagonal requerida para acomodar una fuerza cortante VL es:

Para el S1GL, VL puede estimarse como el producto de la pseudo-aceleración (evaluada en T) y la masa, de tal manera que:

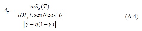
Resolviendo la ecuación 2 para fy y sustituyendo en la Ecuación A.3:

Si h denota la altura de entrepiso y se considera que para el S1GL el desplazamiento (Sd) puede estimarse como el producto de la distorsión de fluencia y h:

El cociente de Sα y Sd evaluado en T es igual al cuadrado de la frecuencia natural, y el producto de este cuadrado por la masa es igual a la rigidez lateral del sistema, de tal manera que:

Finalmente, si se considera a partir de la figura 3 que h = L senθ, AV puede ser expresada como:

Dado que AK y AV en las ecuaciones A.1 y A.7 son iguales, puede concluirse que en el caso de un S1GL, un sistema de contraventeo dimensionado de acuerdo a consideraciones de rigidez también satisface sus requerimientos de resistencia. Aunque no se demuestra aquí, puede llegarse a la misma conclusión para un S1GL contraventeado que desarrolle comportamiento plástico caracterizado por una ductilidad máxima μmax.