Anexo I
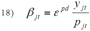
Con base en Kawaguchi et al. (1997), las funciones de demanda y oferta se obtuvieron usando elasticidades precio de la oferta y demanda, cantidades consumidas y producidas y precios al consumidor y productor; la pendiente e intercepto se obtienen de la siguiente manera. En el caso de la función de demanda:
la pendiente es igual a:
donde βjt<0 es la pendiente de la función de demanda en la región j en el periodo t; εpd<0 es la elasticidad precio de la demanda de tomate; yjt es el consumo de tomate en la región j en el periodo t; pjt es el precio al consumidor de tomate en la región j en el periodo t.
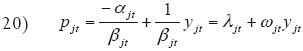
El intercepto de la función de demanda en la región j en el periodo t se obtiene utilizando los valores de la pendiente, de la cantidad demandada y del precio al consumidor, de la siguiente forma:
La función inversa de demanda se puede obtener despejando el precio de la ecuación 17:
El área bajo la curva de demanda (AD), que aparece en la función objetivo del modelo, se obtiene integrando la función 18 en el intervalo que va de 0 al valor del consumo determinado por la solución, esto es:
Para el caso de la oferta se siguió un proceso similar; sus funciones se estimaron usando la elasticidad precio de la oferta, la producción y el precio al productor.