Anexo
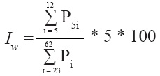
El índice de Whipple Iw se define como:

donde P5i y Pi son las poblaciones censadas que declararon tener las edades cumplidas 5i e i, respectivamente.
El criterio para clasificar la información censal, en cuanto la declaración de edad, está basado en la siguiente tabla, esto con base en el valor que toma el índice de Whipple.

El índice de Myers (IM)se define a partir de la suma de los valores absolutos de los índices individuales para cada dígito (Mj) con j = 0,1,2, ... ,8,9; los que estiman la atracción de rechazo de cada uno de los dígitos en la declaración de edad.
Para definir IM y los valores Mj es necesario definir la siguiente notación:

De tenerse los valores de Vj y Vj', sería un adecuado índice de atracción o rechazo para el dígito j:

Número real de individuos con edad cumplida terminada en el dígito j dentro de la población de 20 años y más cumplidos.
Debido a la imposibilidad de tener los valores Vj y Vj' , Myers supone linealidad en la tendencia de los valores Vj y Vj', ponderándolos y suponiendo que en cada uno de los diez dígitos hay 10 porciento de la población, así:

Donde aj y a'j toman los valores:

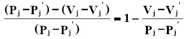
Teniéndose que en el mejor de los casos:

y la diferencia: (ajPj - aj' Pj') - (ajVj - aj' Vj') miden el sesgo en la declaración de edad en términos absolutos.
Por lo que Myer define el índice Mj como:

Considerando entonces que el dígito j es de atracción si Mj > 0 y de rechazo si Mj < 0.
Finalmente Myer define su índice como:

Si se cumplieran las hipótesis entonces IM = 0, de centrarse en un solo dígito la declaración de edad IM = 180. Entre 0 y 180 se definieron los siguientes rangos para clasificar a la concentración de la población en cuanto a la preferencia de dígitos.

En cuanto al índice de Naciones Unidas, su aplicación requiere tener agregada su aplicación en grupos quinquenales de edad, de 0 a 4 años cumplidos, de 65 a 69 años cumplidos, por sexo y para el total de la población.
La hipótesis que se maneja en este índice es la linealidad en los efectivos, en el grupo anterior y posterior al grupo de edad considerado. Así, por ejemplo, si se toman los grupos de edad 35-39, 40-44 y 45-49 años cumplidos, entonces:

Debe tender a la unidad, ya que la población de 35-39 años cumplidos más la población de 45 a 49 años cumplidos censada dividida entre dos debe ser aproximadamente igual a la población que declaró tener entre 40 y 44 años cumplidos; esto bajo la hipótesis de linealidad.
A continuación se construyen los índices por sexo, los que se definen como IH(G) para los hombres e IF(G) para las mujeres, donde:

El índice para ambos sexos se define a partir de los índices de mascu-linidad y del supuesto de que no deben tener variaciones sustanciales de grupo a grupo; por ejemplo, si se consideran los grupos de edad 25-29 y 30-34 años cumplidos, entonces la diferencia de los índices de masculini-dad deben tender a 0, es decir:

Por tanto el índice de ambos sexos I(S)se define como:

Basándose en la experiencia mundial, los especialistas de las naciones unidas ponderan con tres unidades al índice de ambos sexos I(S), quedando definido el índice de Naciones Unidas como:
Es obvio que INu = 0 ya que para que INu = 0, los efectivos en cada grupo de edad deben ser iguales. Para países donde las hipótesis se han cumplido y se tienen censos de alta calidad en su control de declaración de edad, INu se encuentra alrededor de nueve unidades, teniéndose que en la medida que se aleje de este número, en esa medida se acentúa la mala declaración de edad.