Anexo metodológico
Se calculará la tasa global de fecundidad (TGF): esta tasa es una medida resumen que tiene como propósito sintetizar la experiencia reproductiva de un conjunto de mujeres y permitir la comparación entre países y entre regiones de un país, sin tener la limitación del efecto de la estructura por edad de las mujeres.
La TGF se define como el número de hijos promedio que tendría cada mujer de una cohorte hipotética de mujeres no expuestas al riesgo de muerte desde el inicio hasta el final de su periodo reproductivo y que a partir del momento en que se inicia la reproducción están expuestas a las tasas de fecundidad por edad del momento de la población de estudio.
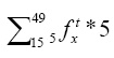
Se expresa de la siguiente manera:

Donde:
TGFt es la tasa de fecundidad para un periodo determinado de tiempo.

representa la sumatoria de las tasas específicas de fecundidad de las mujeres de 15 a 49 años multiplicadas por cinco.

Donde:
son las tasas específicas de fecundidad de mujeres entre "x" a "x + n" años de edad durante un periodo de tiempo dado (año t).
representa la población media femenina entre las edades "x" a " x + n" para un determinado periodo (t).
representa el número de nacimientos en un periodo determinado de tiempo de las mujeres entre las edades "x" a "x + n".
Las variables intermedias consideradas en el modelo de Bongaarts son la nupcialidad o actividad sexual, uso de anticonceptivos, infecundidad posparto y el aborto inducido.
El modelo identifica cuatro diferentes niveles de fecundidad representados por sus respectivos indicadores y donde cada uno de ellos considera el impacto de las variables anteriormente mencionadas:
1. Tasa global de fecundidad: es el promedio de hijos por mujer de una población, la cual resulta de la interacción de todas las variables intermedias.
2. Tasa de fecundidad marital: si todas las mujeres en edad reproductiva se casaran, la TGF subiría a un nivel de fecundidad marital por no existir efecto de la soltería o no unión.
3. Tasa total natural de fecundidad marital (TN): si todas las mujeres en edad reproductiva se casaran, si no usaran ningún tipo de anticoncepción y además no practicaran el aborto inducido, la fecundidad marital subiría a un nivel de tasa natural de fecundidad marital.
4. Tasa de fecundidad total (FT): si a la ausencia de la soltería o no unión, uso de anticonceptivos y aborto inducido se agrega la falta de práctica de la lactancia y de la abstinencia posparto, entonces la fecundidad se incrementaría a su máximo posible (Del Popolo et al, 2003).
De acuerdo con este modelo, entonces la siguiente fórmula nos indica el valor de la tasa global de fecundidad considerando los aspectos anteriores:
TGF = FT x Cm x Ca x Cc x Ci
Donde:
TGF es la tasa global de fecundidad observada en un momento determinado.
FT es la fecundidad total
Cm es el índice de matrimonio
Cc es el índice de anticoncepción
Ca es el índice de aborto inducido
Ci es el índice de infecundidad posparto.
La información de la encuesta resulta suficiente para poder aplicar este método al análisis de la fecundidad. Sin embargo, con respecto a los cambios que se han dado en la población, se hace necesario realizar algunas modificaciones al modelo anterior, las cuales fueron propuestas por Stover en 1988.
Las modificaciones se refieren principalmente a tres cambios en el modelo original: el primero incluye a las mujeres sexualmente activas, en lugar de mujeres casadas o unidas, como un indicador de la exposición al embarazo; segundo, remover las mujeres infecundas del índice de contracepción, y tercero, remover a las mujeres que utilizan métodos anticonceptivos y están en periodo de amenorrea posparto en los seis meses después del parto.
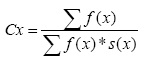
Para realizar las modificaciones señaladas, primeramente tenemos que definir a nuestras mujeres sexualmente activas, pues el índice de matrimonio (Cm) es reemplazado por el índice de actividad sexual (Cx). De este modo se considera a las mujeres sexualmente activas como aquéllas que se encuentran en edad fértil y han tenido relaciones sexuales en el último mes, agregando a las que están actualmente embarazadas y aquéllas que están en abstinencia posparto, puesto que estas últimas han estado expuestas al riesgo de un embarazo recientemente. De esta forma se tiene el índice de actividad sexual, Cx dado por:

Donde:
S(χ) es la proporción de mujeres de edad x que son sexualmente activas según la definición anterior.
Sobre el índice de esterilidad (Cf) se tiene que, con las encuestas actuales y en este caso con la Ensar 2003, se pueden obtener de manera directa las mujeres infecundas o estériles. Se propone entonces utilizar directamente el complemento de la proporción de mujeres estériles que se obtendrá a partir de la siguiente fórmula:
Cf = 1 - f
Donde:
f es la proporción de mujeres sexualmente activas que son estériles.
Definimos como estériles a las mujeres que se encuentran en la menopausia y a las que se declaran a sí mismas infértiles.
La última modificación propuesta es remover a las estériles del índice de contracepción, además de que estas mujeres son incluidas ahora en el índice de esterilidad, así como remover a las mujeres que están en amenorrea posparto y que utilizan métodos anticonceptivos. De esta forma, el índice se obtendría de la siguiente manera:
Cu = 1 - (u-a) * e
Donde: u es la prevalencia del uso de métodos anticonceptivos de las mujeres sexualmente activas en edad reproductiva, que se obtiene de:

Donde u(s) es la proporción de mujeres que utilizan el método anticonceptivo; m es la efectividad media del uso de métodos anticonceptivos y,

Donde:
e(m) es la efectividad del método m.
El índice de infecundidad posparto se estima de acuerdo con el modelo original planteado por Bongaarts, de la siguiente manera: Donde:

i es la duración media de la infecundidad posparto.
Cuando no se puede estimar de manera directa la infecundidad posparto se puede obtener un valor aproximado en función de la duración de la lactancia a partir del siguiente algoritmo:
1.5 + (0.56 * duración media de la lactancia).
Para el índice de aborto inducido, en virtud de que no se puede obtener de una manera directa con la información de la encuesta, se obtiene como complemento y se aplica el siguiente algoritmo:

El modelo modificado queda entonces como:
TGF = FT*Cs*Cu*Cf*Ci*Ca y de esta manera podemos analizar cómo actúan cada una de las variables intermedias en el comportamiento de la fecundidad.