Anexo
Corrección de Heckman
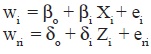
Desde una perspectiva de la oferta una mujer (i) labora si: wi > wri
El sueldo laboral es mayor al sueldo de reserva.16 Ambos sueldos se definen como:

Donde δ y β son los coeficientes de las variables independientes Z y X, los e los errores cuyas distribuciones ~(N(0;σ2 (e)). En otras palabras, una mujer se vuelve activa si:

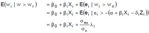
El sesgo de selección hace que ei no sea independiente de las variables independientes en la ecuación definiendo a wi, violando una de las mayores hipótesis de la regresión lineal. Heckman (1979) propone que:


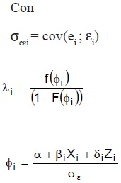
Donde f es la función de densidad normal y F la función de distribución normal. El sesgo se corrige mediante un modelo probit de estimación de los factores que influyen en la entrada femenina al mercado laboral, lo que permite calcular el coeficiente λi, inverso de la razón de Mills. Lee (1983) propuso un método logit, más sencillo con SPSS (Smits, 2003). Los modelos comprobados incluyen las siguientes variables independientes:
La edad.
La edad al cuadrado para dar cuenta de la cada vez más reducida probabilidad de participación a edades avanzadas.
El grado escolar.
El estado civil.
El número de individuo en el hogar.
La tasa de dependencia intrahogareño para dar cuenta de un ciclo de vida.
La tasa de desempleo abierto por cada localidad, a fin de tomar en cuenta la demanda de trabajo.



16 Lo que en sí puede ser objeto de debate ya que el concepto de sueldo de reserva, aunque ampliamente difundido en la actual economía, no corresponde a una realidad demostrada. Es un aporte teórico en el sentido popperiano. Además, hasta hoy nadie ha sabido definirlo de forma operacional.