APÉNDICE

 

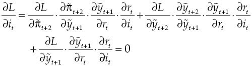
it está implícito en . Aplicando la regla de la cadena se obtiene la condición de primer orden:

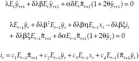
operando:

obtenemos la siguiente ecuación de Euler:

Usando [8] para remplazar en términos de , y despejado it obtenemos una regla de Taylor:

donde