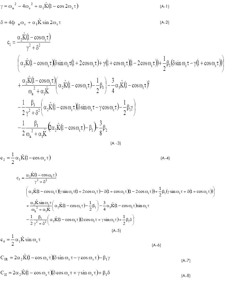
Anexo: Definición de coeficientes para la solución aproximada del modelo débilmente no lineal

 

Definición de coeficientes de ecuaciones (8), (11)7(12):