Apéndice 1

Apéndice 2
Metodología de cálculo del índice de desarrollo municipal básico
El IDMb y sus subíndices tienen valores de entre cero y uno, donde el valor uno representa el municipio con el mayor nivel de desarrollo de una muestra de referencia, y el valor cero corresponde a un municipio con el menor nivel de desarrollo de una muestra de referencia.
Fuentes de información
En la construcción de la base de datos que alimenta al IDMb se prefirió emplear fuentes institucionales de acceso libre para maximizar la calidad de la información que alimenta el índice y facilitar su cálculo en años posteriores. Toda la información que se emplea para calcular el IDMb proviene de diversos estudios del Instituto Nacional de Estadística, Geografía e Informática (INEGI),29 con excepción de las variables electorales (votos totales y número de personas registradas en la lista nominal de electores en elecciones municipales) que obtuvimos de tres fuentes: De Remes (2000), organismos estatales electorales y el Centro de Estudios Sociales y de Opinión Pública (CESOP) de la Cámara de Diputados Federal.30
Variables consideradas y forma de cálculo de los índices
A continuación se presentan los indicadores utilizados en las cuatro dimensiones de desarrollo (ambiental-servicios, económica, institucional y social) para elaborar el Índice de Desarrollo Municipal Básico. Se presenta la definición de cada indicador generado para calcular el IDMb y además se muestran las variables que componen cada indicador, las fuentes donde se obtuvieron estas variables, el periodo que se consideró para los cálculos y las fórmulas necesarias para la generación del IDM básico. Con esta información es posible calcular el índice para otros periodos y, por lo tanto, utilizarlo como insumo constante para la toma de decisiones de políticas públicas orientadas al desarrollo municipal.
Paso 1
Calcular los valores de dos indicadores para cada una de las cuatro dimensiones de desarrollo.
Paso 2
Calcular las diferencias respecto a valores mínimos, normalizados por el rango total de posibles valores (los valores mínimos y el rango total de variación se deducen a partir de la muestra de referencia). De esta manera se obtienen versiones normalizadas de los indicadores en el rango cero a uno.
Paso 3
Calcular los subíndices por dimensión de desarrollo al promediar los indicadores normalizados de cada dimensión.
Paso 4
Calcular el Índice de Desarrollo Municipal Básico al promediar los subíndices de las cuatro dimensiones.
PASO 1
Calcular los valores de dos indicadores para cada una de las cuatro dimensiones de desarrollo.
Dimensión ambiental
La información para construir los indicadores se obtuvo de simbad-INEGI (censo poblacional de 2000 y conteos de población de 1995 y 2005).

Para cada indicador en las diferentes dimensiones, como se muestra a continuación, se calcula un promedio tomando en cuenta los datos disponibles para el periodo considerado:
Indicador de disponibilidad de agua entubada (Vae), promediado durante el periodo

Donde: Aeit es el número total de viviendas habitadas con disponibilidad de agua entubada en el municipio i en el año t.
Vhit es el número total de viviendas habitadas en el municipio i en el año t.
n es el número de observaciones disponibles en el periodo considerado, en el caso del indicador de disponibilidad de agua entubada n=2, pues el promedio considera dos observaciones: 1995 y 2000 (IDMb 2000), 2000 y 2005 (IDMb 2005). En los casos en que un municipio no reporta información de uno de los periodos, el indicador sólo incluye el periodo en que existen datos registrados.
Indicador de disponibilidad de drenaje (Vd), promediado durante el periodo

Donde: Ddit es el número total de viviendas habitadas con disponibilidad de drenaje en el municipio i en el año t.
Vhit es el número total de viviendas habitadas en el municipio i en el año t.
n es el número de observaciones disponibles en el periodo considerado, en el caso del indicador de disponibilidad de drenaje n=2, pues el promedio considera dos observaciones: 1995 y 2000 (IDMb 2000), 2000 y 2005 (IDMb 2005). En los casos en que un municipio no reporta información de uno de los periodos, el indicador sólo incluye el periodo del que existen datos.
Dimensión económica
La información para construir los indicadores se obtuvo de simbad-INEGI (censos económicos de 1994, 1999 y 2004, así como del censo poblacional de 2000 y los conteos de población de 1995 y 2005).

Indicador de nivel de empleo (Ne)

Donde: Paoi es el total de la población económicamente activa ocupada en el municipio i.
P > 15 añosi es el total de la población de 15 años o más en el municipio i.
Producción bruta total municipal, promediada durante el periodo en estudio.

Donde: Pbtit es la variable de producción bruta total en el municipio i en el año t. n es el número de observaciones disponibles en el periodo considerado.
Dimensión institucional
La información para construir los indicadores se obtuvo de simbad-INEGI (finanzas públicas municipales 1989-2005), organismos estatales electorales, Cámara de Diputados federal, Centro de Investigación para el Desarrollo A.C. (CIDAC) y De Remes (2000).
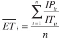
Indicador de esfuerzo tributario (ET), promediado durante el periodo

Donde: IPit es el monto total de ingresos propios del municipio i en el año t.
ITit es el monto de ingresos totales del municipio i en el año t.
n es el número de observaciones disponibles en el periodo considerado, en el caso del indicador de esfuerzo tributario n=5, pues el promedio considera cinco observaciones: 1995 a 2000 (IDMb 2000) y 2000 a 2005 (IDMb 2005). En los casos donde un municipio no reporte información de uno de los periodos, el indicador sólo incluye el promedio de los periodos de los que existe información.
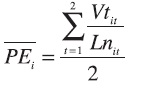
Indicador de participación electoral en el municipio (PE), promediado durante el periodo

Donde: Vtit es el total de votos emitidos en el municipio i en las dos elecciones consecutivas t=1,2.
Lnit es el número de ciudadanos registrados en la lista nominal en el municipio i en dos elecciones consecutivas t=1,2.
Nota: En algunos municipios, para calcular el indicador de participación electoral sólo se cuenta con información de una elección (t=1 o t=2), en estos casos el indicador refleja la participación electoral en esa elección únicamente. En el cálculo del IDMb 2005 enfrentamos graves carencias de información en cuanto a listas nominales en los municipios de 14 estados (Chiapas, Durango, Guanajuato, Guerrero, Jalisco, México, Morelos, Nayarit, Oaxaca, Sinaloa, Tamaulipas, Tlaxcala, Veracruz y Yucatán) sólo está disponible la información de las listas nominales de la antepenúltima elección más cercana a 2005, por lo tanto éstos fueron los datos que se emplearon para calcular el indicador de participación electoral. En los casos de los municipios de Oaxaca que seleccionan a sus presidentes municipales bajo el régimen de usos y costumbres, el indicador de participación electoral corresponde al indicador estatal promedio de aquellos municipios oaxaqueños que realizan elecciones.
Dimensión social
La información para construir los indicadores se obtuvo de simbad-INEGI (censo poblacional de 2000 y conteos de población 1995 y 2005).

Tasa de mortalidad infantil, promediada durante el periodo

Donde: Defuncionesit es el número de decesos de menores de un año ocurridos en el municipio i en el año t.
Nacimientosit es el número de nacidos vivos registrados en el municipio i en el año t.
n es el número de observaciones disponibles en el periodo considerado, en el caso del indicador de mortalidad infantil n=1 para IDMb 2000 y n=2 para el IDMb 2005, pues el promedio considera sólo una observación (2000) en el primer caso y dos (2000 y 2004) en el segundo. En los casos en que un municipio no reporta información de uno de los periodos, el indicador sólo incluye el periodo del que existe información. En casos donde el municipio a no reporta información para calcular la tasa de mortalidad infantil para ningún periodo, el indicador que se utilizó para calcular el IDMb corresponde a la tasa de mortalidad infantil promedio en el estado del municipio a.
Indicador de población con primaria terminada o más, promediado durante el periodo

Donde: primaria terminada o másit es la población con todos los grados de educación primaria aprobados o con algún grado aprobado en un nivel más alto en el sistema educativo en el municipio en el año t.
Población de 15 años y más ü es el total de la población de 15 años o más en el municipio en el año t.
n es el número de observaciones disponibles en el periodo considerado, en el caso del indicador de primaria terminada o más n=1 para IDMb 2000 y n=2 para el IDMb 2005, pues el promedio considera sólo una observación (2000) en el primer caso y dos (2000 y 2005) en el segundo.
PASO 2
Calcular las diferencias respecto a valores mínimos en la muestra de referencia para normalizar los indicadores en el rango cero a uno.

Donde: indicador es el valor tomado por el indicador j en el municipio i, mín es el valor mínimo que toma el indicador/ en la muestra de referencia, máx es el valor máximo que toma el indi i en la muestra de referencia.
Es necesario seleccionar cuidadosamente los valores máximo y mínimo, pues tienen una influencia crucial sobre los valores del indicador normalizado. Al comparar más de un país, por ejemplo, es necesario tomar los valores máximo y mínimo globales para los todos los países que se consideren, de otra manera pueden resultar valores negativos. Cuando el indicador es igual a cero, esto no significa que el grado de desarrollo sea igual a cero, sino que es igual al grado de desarrollo del municipio menos desarrollado de la muestra de referencia. De manera análoga, cuando el indicador es igual a uno, esto no significa que el grado de desarrollo sea el máximo posible, sino que es igual al nivel de desarrollo del municipio más desarrollado de la muestra de referencia.
PASO 3
Calcular el Índice de Desarrollo Municipal por dimensión de desarrollo al promediar los indicadores normalizados de cada dimensión.

Donde cada dimensión de desarrollo tiene dos indicadores normalizados (ind =1, 2).
PASO 4
Calcular el Índice de Desarrollo Municipal básico al promediar los indicadores normalizados de las cuatro dimensiones.

Donde existen cuatro dimensiones de desarrollo d: ambiental/servicios, económica, institucional y social.
29 Es un órgano desconcentrado de la Secretaría de Hacienda y Crédito Público, con autonomía técnica y administrativa. Su objetivo básico es coordinar los Sistemas Nacionales Estadísticos y de Información Geográfica y brindar el servicio público de información estadística y geográfica sobre el territorio, la población y la economía de México.
30 El CESOP es una de las unidades ejecutoras del programa de investigación parlamentaria de la Secretaría de Servicios Parlamentarios de la Cámara de Diputados, que brinda información analítica y apoyo técnico en materia social y de opinión pública a las comisiones, comités y órganos de gobierno de la Cámara de Diputados para contribuir al desempeño y profesionalización del trabajo legislativo.