APPENDIX
A.I See Benítez (2009).
A.II Proposition (3.a) and b) from Theorem 1 imply that w > 0 ∀ r ∈ [0, R], this result and (4.a) imply that KS(r)r < 1 and a) follows. According to (4.a), when r increases from 0 to R we have limr→ R KS(r)r + limr→ Rw(1 + tr) = 1. When r = R the previous equation may be written as K(R)R + limr→ R w(1 + tr) = 1. As shown in Benítez (2009), limr→ R w = 0 thus, substituting in the preceding equation yields KS(R)R = 1 implying b). On the other hand, the relation between the cost and the price of production in the complementary sector obeys the relation Cc(r)(1 + r) + lc = Cc(r) + PNc where Cc, lc are respectively the cost of the means of production and the wages paid while PNc is the difference between the value of production and its cost (net product of the sector). Consequently, Cc(r)r + lc = PNc ⇒ [Cc(r)/PNc]r + lc /PNc = 1, an equation that may be written as:

Because lc /PNc > 0 ∀ r ∈ [0, R], it follows that KSc(r)r < 1 ⇒ c). Finally, as lc/PNc ≥ 0 when r = R, we have KSc(R)R ≤ 1 ⇒ d).
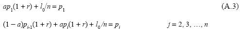
A.III I will prove successively that there is a system of type (1) where the capital stock is: a) smaller than T, b) greater than T and c) equal to T.
a) Consider the following system:

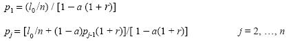
Solving the equations, we obtain p1 = - l1/[1 - a11 (1 + r)] and p2 = l2/ [1 - a22(l + r)] so that p1/p2 = (l1/l2){[l - a22(1 + r)]/[1 - a11(1 + r)] while KS = [a11 p1 + a22) p2] / [(1 - a11)p1 + (1 - a22) p2] = [a11 p1 lp2 + a22]/[(1 - a11) p1 / p2 + (1 - a22)]. Let us choose a11 = 1/ (1 + R) and a22 such that a22 /(1 - a22) = min{T/2, ½(l + R)}. Then, in order for KS to be lesser than T, it suffices to choose ll and l2 such that, for the given r, the proportion p1/p2 is close enough to zero.
b) Given R, and r ∈ [0, R], let a be such that a = 1/(1+ R) and let 10 > 0 be a given quantity of labor. Consider the following spring-like production system:

In this system, a units produced by each branch j are employed in its own production and the remaining (1l - a) units in the production of the (j + 1)th branch, except for the nth branch where the corresponding (1 - a) units constitute the net product of the system. Solving for the price of the good produced in each branch yields:

This system permits one to observe that R is determined by the equation 1 - a (1 + R) = 0, implying that a = 1 + R) as initially established. Defining b = (1 - a) (1 + r) / [1 - a (1 + r)] we can write the previous system as:

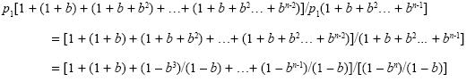
Substituting pj-1 for p1 in the second equation we obtain p2 = p1 + bp1. Then, substituting pj-1for p1 + bp1 in the third equation results in p3 = p1 + b[pl + bpl], and continuing in this manner, we get pj. = p1 + b[p1 + bp1 + …+ b j-2p1] for every j > l. Consequently, the preceding system may be written as:

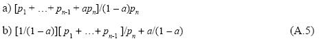
On the other hand, the capital stock in (A.3) is equal to [p1 + p2 +…+pn-1 + apn]/(1 - a)pn, a quotient that may be written in either of the following forms:

On its turn, by substituting each price except p1 in the quotient [p1 + p2 + …+ pn-1]/pn for its equivalent in (A.4) we obtain, after simplifying:

Multiplying the numerator and denominator by (1 - b) results in [(1 - b) + (1 - b2) + (1 - b3) + …+ (1 - bn-1)]/(1 - bn) = [(n - 1) - (b + b2 + b3 + bn-1)]/(1 - bn) = [(n - 1) - (1 - bn)/(1 - b)]/(1 - bn) = [(n - 1)/(1 - bn) - 1/(1 - b) = 1/(b - 1) - (n - 1) / (bn - 1). Thus, substituting in (A.5.b) yields:

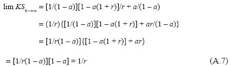
Because b > 1 ∀ r∈[0, R], the quotient (n - 1)/(bn - 1) is a monotonous decreasing function of b whose value tends to zero when n tends to infinity. It is important to note that in this case the capital tends to 1/r. Indeed, lim KSn→ ∝ = [1/(1 - a)][1/(b - 1)] + a/(1 - a). Or, b - 1 = (1 - a)(1 + r) /[1 - a(1 + r)] - 1 = {(1 - a) (1 + r) - [1 - a(1 + r)]} / [1 - a(1 + r)] = r/ [1 - a(1 + r)], substituting in the preceding expression yields:

This is the value of KS when all the income corresponds to profits (because (lim KSn→ ∝) r = 1). Therefore, for any T < 1/r, we can choose n great enough in order for the capital of system (A.3) to be greater than T.
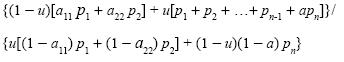
c) Consider the production system integrated by the two equations of (A.2), each one of them multiplied by (1 - u) where u e [0, 1] and the n equations of (A.3) each one of them multiplied by u. The capital stock in the aggregated system is determined by:

As this quotient is a continuous function of u, it adopts all the values between those corresponding to the original systems verifying a) and b), so that there is a u verifying c).
A.IV Summing up the two equations of (11) we obtain (λA ph + ccpc)(1 + r) + lI = ph + pc and dividing this equation by ph + pc results (λAph + ccpc)(1 + r)/( ph + pc) + lI /(ph+pc) = 1 which may be written as cI(1 + r) + lI /(ph + pc) = 1. Solving each equation of (11) for the corresponding price gives ph = lh / [1 - λA(1 + r)] and pc = (lI - lh )/ [1 - cc(1 + r)] substituting the prices in the preceding equation yields cI (1 + r) + lI / {lh /[1 -λA(1 + r)] + (lI - lh) / [1- cc(1 + r)]} = 1 permitting one to verify the lemma because the second term from the left-hand side is a monotonous decreasing function of cc.
A.V We define λAaccording to (15) for the given R, and we choose as the homothetic sector the first equation in system (11). Then, we define lh and l such that 0 < lh < l < 1, l0 = l - lh and a such that 0 < a <λA, the resulting system (A.3) will be the complementary sector. Choosing as sector II the equation (1 -λA) ph(1 + r) + (1 - a)pn(1 + r) + 1 - l =pII we have a system respecting the conditions. The capital stock of the complementary sector, measured with the net product of that sector is determined by (A.5). This conclusion and (A.7) imply that limv→ ∝ [cc /(1 - cc)] = 1/r, hence (limn→ ∝cc)/[1 - (limn→ ∝cc)] = 1/r ⇒ (limn→ ∝ cc)r = 1 - (limn→ ∝ cc) ⇒ (limn→ ∝ cc)(1 + r) = 1. From this result and (12), it follows that limn→ ∝ cI = limn→ ∝ cc, which together with the equation (limn→ ∝ cc)(1 + r) = 1 and (7) imply that lim KSn→ ∝= l/lr = 1/r.
A.VI Making m = (T - 1/R)/[1 - Tr ] verifies a). From (18.b), it follows that KS(r) (1 + mr) = m + 1/R so that KS(r) = (m + 1/R)/(1 + mr), multiplying the two sides by r, we conclude that KS(r)r = (mr + r/R)/(1 + mr) < 1 if r < R, so that KS(r) < 1/r ∀ r ∈ [0, R]. Finally, deriving (m + 1/R)/(1 + mr) as a function of m results in [1 + mr - r(m + 1/R)]/(1 + mr)2 = (1 - r/R)/(1 + mr)2 > 0 ∀ r ∈ [0, R].
A.VII Let T = (1 - F)/r, according to Theorem 2 there is a system such that KS(r) = T. lt follows from (4.a) that in this system we have w(r) = 1 - KSr = 1 - [(1 - F)/r] r = F.
A.VIII Some data of the graphs in Figures 1, 2 and 3.



