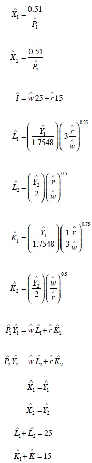
Apéndice

 

El sistema de ecuaciones que componen el modelo de este trabajo está conformado por las siguientes 13 ecuaciones:

 

y 13 incógnitas: