Apéndice
Ecuaciones del modelo EGC
El primer paso es incorporar los bienes intermedios y los bienes compuestos como parte del análisis. Los bienes compuestos de obtienen al agregar el capital y la mano de obra a través de la función de producción del bien compuesto, que es una función de producción CobbDouglas (Ecuación 2). Es así que este problema se relaciona con la producción del bien compuesto que se usará como entrada para el producto interno bruto. Esto se puede realizar de la siguiente manera:

Sujeto a:

Esto es, los problemas de maximización de beneficios para la firma j sujetos a los bienes compuestos donde:
: beneficios de la firma jésima que produce el factor compuesto Yj
Yj: factor compuesto utilizado por la firma jésima
Fh,j: el factor h utilizado por la firma jésima
Xi,j: la entrada intermedia del bien iésimo utilizado por la firma jésima
: precio del factor compuesto jésimo
: precio del factor hésimo
βh,j: coeficiente de participación en la función de producción del factor compuesto (exógena)
bj: coeficiente de escalamiento en la función de producción del factor compuesto (exógena)
Además tenemos los factores de requerimiento de la firma,

requerimientos de insumos intermedios, que dependen directamente del volumen de producción Zj,

el factor compuesto usado por la firma jésima como la función del producto,

donde axi,j: coeficiente de requerimiento del insumo de insumo intermedio iésimo para la unidad de producción del bien (exógeno) jésimo y ayj coeficiente del requerimiento de insumos de bien compuesto jésimo para una unidad de producción de un bien (exógeno) jésimo; y finalmente, el precio del producto interno bruto jésimo o costo unitario de producción 

donde
es el precio del bien compuesto iésimo.
En segundo lugar, es necesario incluir al gobierno en el modelo. El sector público es importante por los siguientes motivos: primero, su influencia en los ingresos y en los precios a través de los impuestos; segundo, el gasto del gobierno tiene un papel fundamental en la economía de consumo; y finalmente, se tienen en cuenta los aranceles comerciales.
Las ecuaciones que siguen representan la política fiscal, donde se asume que el gobierno impone una tasa impositiva fija a los ingresos de los hogares (Ecuación 7), un impuesto ad valorem sobre la producción (Ecuación 8) y un arancel ad valorem al comercio internacional (Ecuación 9):

donde:
Td: impuesto directo (exógeno)
: impuesto a la producción de bien (exógeno) jésimo
: arancel de importación de bien (exógeno) iésimo
: tasa de impuesto directo
: tasa de impuesto a la producción de bien (exógeno) jésimo
: tasa de arancel de importación de bien (exógeno) iésimo
FFh: dotaciones del factor hésimo para los bienes de los hogares (exógeno)
Mi: importación de bien (exógeno) iésimo
: consumo del gobierno de bien (exógeno) iésimo
: precio de bien importado iésimo
La siguiente es la ecuación de gastos del gobierno que asume que todos los ingresos de los impuestos se utilizan para el consumo, lo que implica que no hay déficit público. Este gasto
se realiza en proporciones fijas entre cada uno de los productos:

Donde μi es la proporción de los bienes i en el gasto público (exógeno).
La inversión y el ahorro son considerados de la siguiente manera: los ahorros de los hogares y el balance fiscal del gobierno pueden definirse en términos de su propensión promedio para ahorrar:


donde:
S p: ahorro de los hogares
S g: ahorro del gobierno
ss p: propensión media de ahorro en el hogar (exógena)
ss g: propensión media de ahorro del gobierno (exógena)
La relación entre la inversión y los ahorros se define según la identidad económica I=A, por lo tanto la inversión proviene de los ahorros de los hogares y del gobierno, además de la balanza por cuenta corriente,

donde:
: demanda de inversión de bien iésimo
Sf: déficit en cuenta corriente en moneda extranjera (exógenos)
ε: tasa cambiaria
λi: proporción de bien iésimo en la inversión pública (exógeno)
Desde la reciente incorporación del gobierno, la inversión y el ahorro en el interior del modelo, algunas de las ecuaciones anteriores deben ser modificadas. Es así que las nuevas funciones de las demandas del hogar y del gobierno son:


La última característica importante de este modelo estándar de EGC es la presencia del sector externo, ya que esta extensión hace posible pasar de un modelo cerrado a uno abierto. Por lo tanto, se supone que los precios de exportación e importación cotizados en moneda extranjera son exógenos, es decir, un pequeño país sin suficiente participación en el mercado como para poder influir en los precios mundiales:

donde
y
son los precios de las exportaciones e importaciones, ambos en moneda extranjera y exógenos, y
es el precio de exportación en moneda nacional. Además, la balanza de pagos se asume en equilibrio, donde Ei son las exportaciones del bien iésimo.

Dado que el modelo estándar EGC incluye el consumo tanto de bienes nacionales como importados, tenemos que asumir que existe una diferencia entre el bien producido en la economía nacional y los que se importan. En este punto, utilizamos el supuesto de Armington. Los bienes compuestos Armington tienen una estructura de consumo anidada, ya que se supone que las mercancías importadas no se consumen o utilizan directamente, en lugar de esto, el bien compuesto comprende las importaciones y los productos nacionales correspondientes, cuyas proporciones están determinadas por la elasticidad de sustitución. El bien compuesto Armington se define de la siguiente manera:

donde:
Di: el bien nacional iésimo
Qi: el bien compuesto Armington iésimo
γi: coeficiente de escalamiento en la función de producción de los bienes compuestos de Armington (exógena)
δmi δdi: coeficiente de participación de insumos en la función de producción de los bienes compuestos de Armington (exógena)
ηi: parámetro definido por la elasticidad de sustitución (exógeno) (ηi =(σi − 1)/σi, ηi ≤ 1)
σi: elasticidad de sustitución en la función de producción de los bienes compuestos de Armington
y las funciones de demanda para la importación y la mercancía nacional:

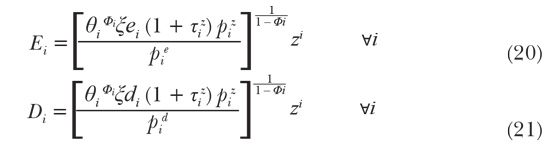
El último punto en el comercio internacional es dividir el proceso de producción entre los productos importados y nacionales. Esta producción se describe por medio de una función de elasticidad constante de transformación (ECT), donde, según el precio relativo entre las exportaciones y las mercancías nacionales, la oferta para cada uno de estos mercados cambia:

donde:
Zi: la producción nacional bruta de bien (exógeno) iésimo
: tasa de impuesto a la producción nacional bruta (exógeno) iésima
θi: coeficiente de escalamiento de la transformación (exógeno) iésima
ξei,ξdi: coeficiente de participación de la transformación de bien (exógeno) iésimo
φi: parámetro definido por la elasticidad de la transformación (exógeno)
Por último, se imponen las condiciones de equilibrio del mercado para garantizar el equilibrio en todos los mercados. La primera ecuación es para los bienes compuestos de Armington, y la segunda es la condición del factor de equilibrio del mercado:

La Ecuación 24 es la condición del factor de equilibrio del mercado, es decir, la demanda total de factor h para las firmas debe ser igual a las dotaciones totales de factor h que supuestamente se da en la economía.