Apéndice
Propuesta: asuma que la tecnología de producción está definida por f (x1, x2,.....xz-1), donde x = (x1, x2,.....xz-1) es el vector de insumos. La firma busca maximizar.
. En este caso

representa el índice de integración del insumo x*i (p, wi, e, wj). Es simple verificar que
.
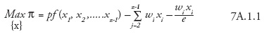
Prueba: en esta sección se desarrolla el modelo de maximización de beneficios para una maquiladora que busca maximizar

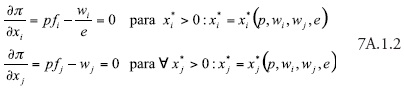
Las condiciones de optimalidad están dadas por

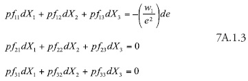
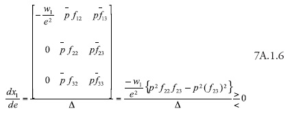
Diferenciando totalmente el sistema para z=3 y denotando wixi= w1x1 obtenemos

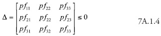
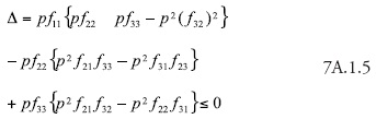
Así, definimos ∆ como se muestra en 7A.1.4

Donde

Los resultados del análisis de estática comparativa implican que:

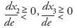
Así, dado que ∆≤ 0, si {p2f22p33 p2 (f32)2}≥0 entonces
. Es decir, depreciaciones del tipo de cambio incrementan la demanda del insumo doméstico. De otra manera
.
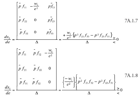
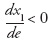
En cuanto a las demandas de los insumos extranjeros, el análisis de estática comparativa señala que
. Es decir,

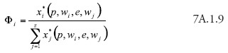
Ahora definimos el índice de integración vertical de la industria nacional con la industria maquiladora como

Es simple ver que
, como se demostró en el modelo teórico simplificado.