
Se llevaron a cabo pruebas que buscan detectar posibles cambios estructurales en las variables en cuestión. Perron (1989) muestra que cuando no se modela el cambio estructural tiende a haber un sesgo en no rechazar la presencia de raíces unitarias. Sin embargo, en realidad, éstas no se presentan. La prueba más simple para modelar este cambio es la ecuación de Dickey-Fuller aumentada, que incluye una variable dummy que muestra una ruptura en el intercepto de la ecuación a partir de un determinado momento. Zivot y Andrews (1992) sugieren utilizar un método secuencial de dummies y tomar aquélla que maximiza el valor absoluto del estadístico Dickey-Fuller aumentado (ADF).
Se llevó a cabo una prueba de Dickey-Fuller aumentada (ADF(1)) con cambio estructural para la inflación y los logaritmos del salario real y el tipo de cambio real. Estas dos últimas variables resultaron I(0) al incluir una dummy en el intercepto a partir de 1982, año en que comenzó una de las mayores crisis económicas de México. La inflación resultó I(0) al incluir una dummy en el intercepto de la prueba ADF (1) a partir de 1990. Cabe señalar que, en el caso de incluir tendencia, todas las pruebas ADF con cambio estructural mostraron ausencia de raíces unitarias al 5% o menos. Al no incluir tendencia, las pruebas ADF rechazan raíces unitarias en el salario real y el tipo de cambio real al 5% y en la inflación al 10%. La brecha del producto resulta en todos los casos I(0) con o sin incluir dummies en las pruebas ADF. Por lo anterior, todas las series consideradas podrían ser de hecho estacionarias.
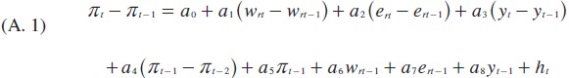
Las pruebas anteriores muestran que las series o son estacionarias o son integradas de orden 1. Como es casi seguro que algunas de esas series son estacionarias, las pruebas de Engle y Granger y Johansen de cointegración para encontrar una relación de largo plazo entre estas variables no se recomiendan. Para variables, algunas de las cuales son I(0) y otras como podía ser el presente caso, Pesaran y Pesaran (1997) y Pesaran, Shin y Smith (2001) recomiendan utilizar el mecanismo de corrección de error (MCE) o una formulación ARDL. Cabe señalar que, en muchos casos, estas especificaciones son estrictamente equivalentes. El mecanismo general de corrección de error MCE se define como:

Este mecanismo de estimó por MGM para el mismo período 1969-2008 con el supuesto a3=0, pues el cambio en la brecha del producto fue muy poco significativo. No se consideraron posibles cambios estructurales. Los resultados fueron:

La ecuación de largo plazo para la curva de Phillips dados estos resultados es:

El mecanismo de corrección de error complementa las estimaciones de la curva de Phillips de la sección III al encontrar una relación de largo plazo similar a la estimada en dicha sección.
Variables utilizadas en la estimación de la curva de Phillips
