Apéndice

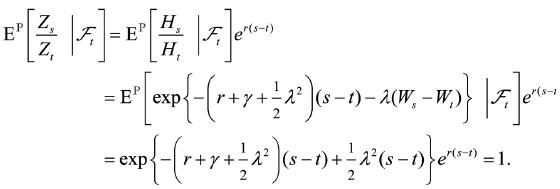
Si s ≥ t, entonces

De esta manera,