Apéndice
Radiación neta
Se utilizaron diferentes fórmulas aerodinámicas de masa para estimar los flujos radiativos y turbulentos a partir de los datos meteorológicos disponibles. La radiación neta (RN) se determinó a partir de la radiación solar incidente y la temperatura usando (Evett 2002):

donde Rsi es la radiación solar incidente [W m-2], α es el albedo, L↑ es la radiación de onda larga terrestre (agua/sedimento) [W m-2] y L↓ es la radiación de onda larga atmosférica [W m-2].
La radiación de onda larga terrestre (L↑) se estimó a partir de la siguiente ecuación (Evett 2002):

donde ∈s es la emisividad de la superficie, σ es la constante Stefan-Boltzmann [W m-2 K-4] y Ts es la temperatura de la superficie [K] (temperatura del agua o el sedimento, dependiendo del estado de marea).
La radiación de onda larga atmosférica (L↓) se estimó usando dos ecuaciones distintas según los datos de temperatura. La ecuación 4 (Swinbank 1963) se utilizó cuando la temperatura del aire fue superior a 0°C y la ecuación 5 (Monteith, 1973) se aplicó a temperaturas inferiores a 0°C y superiores a -5°C.

donde σ es la constante Stefan-Boltzmann y Ta es la temperatura del aire [K].

donde Ta es la temperatura del aire [°C].
Como se mencionó previamente, debido a la complejidad del ambiente intermareal, se realizaron algunas suposiciones (por ejemplo, condiciones de cielo despejado durante el período de estudio) con el objeto de simplificar los cálculos. La emisividad de la superficie y el albedo de la planicie mareal se obtuvieron de tablas (van Wijk y Scholte Ubing 1963, de Laat 1996, Kantha y Clayson 2000).
Flujo de calor en el suelo
El flujo de calor en el suelo (QG) a través de la capa superficial (0.05-0.15 m de profundidad) se determinó en base a datos de temperatura utilizando la ecuación de Fourier (Oke 1978):


donde T es la temperatura del sedimento [K], z es la profundidad [m], λ es la conductividad térmica [W m-1 K-1], Ks es la difusividad térmica [m2 s-1] y C es la capacidad calórica [J m-3 K-1].
La difusividad térmica (Ks) se calculó usando (Kjerfve 1978):

donde Δt es el retardo de fase [s], w es la frecuencia de la oscilación [2π/P] y P es el período [s] de la onda de temperatura del suelo.
Para la estimación del flujo de calor en el suelo se utilizó un retardo de fase medio anual de 4 h 7'38" (14858 ± 1042 s) obtenido en el área de estudio para 2003 (Beigt y Píccolo, resultados no publicados). La capacidad calórica del sedimento se obtuvo de los valores presentados por Oke (1978) para "arcilla saturada".
Flujo de calor sensible
El flujo de calor sensible (QH) se estimó por medio de dos ecuaciones diferentes dependiendo del estado de marea. Durante la inundación de la planicie mareal (altura de marea, h ≥ 3.5 m), QH se estimó utilizando la siguiente fórmula (Kantha y Clayson 2000, Zaker 2003):

donde ρ es la densidad del aire [Kg m-3], cρ es el calor específico del aire [J Kg-1 °C-1], Ua es la velocidad del viento a la altura z (12 m), Us es la velocidad del viento en la superficie del agua [m s-1] (cero para una superficie estacionaria), CH es el coeficiente de intercambio de calor [adimensional], Ts es la temperatura en la superficie del agua [°C] y Ta es la temperatura del aire [°C] (z = 3 m). El coeficiente de intercambio calórico (CH) para la interfase agua-atmósfera se tomó de Friehe y Schmitt (1976).
Durante la exposición del sedimento a las condiciones atmosféricas (h < 3.5 m), el flujo de calor sensible se estimó con la siguiente ecuación (Evett et al. 1994, Evett 2002):

donde ρ es la densidad del aire [Kg m-3], cρ es el calor específico del aire [J Kg-1 K-1], DH es el coeficiente de intercambio de calor [m s-1] , Ts es la temperatura de la superficie del sedimento [K] y Ta es la temperatura del aire [K] (z = 3 m).
Dado que la planicie mareal en estudio no está vegetada, el coeficiente de intercambio de calor (DH) se determinó mediante una fórmula aplicable a suelo desnudo (Kreith y Sellers 1975, Ma et al. 2003):

donde k es la constante de von Kármán, U es la velocidad del viento [m s-1] (z = 12 m), z es la altura de referencia [m] y zoH es la longitud de rugosidad para flujo de calor sensible [m]. La longitud de rugosidad (zoH) para un suelo desnudo se tomó de Kreith y Sellers (1975).
Flujo de calor latente
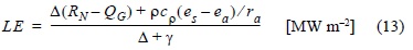
El flujo de calor latente (LE) a través de las interfases sedimento-atmósfera y agua-atmósfera se estimó mediante la ecuación de Penman-Monteith (12). Si bien ésta es una ecuación ampliamente utilizada en estudios agronómicos de suelos vegetados y desnudos, también ha sido aplicada en marismas saladas (Hughes et al. 2001) y planicies de marea (Harrison y Phizacklea 1985). La ecuación Penman-Monteith da como resultado la "tasa de evaporación potencial", es decir, aquélla que se produce en un suelo donde la disponibilidad de agua no es limitante. Teniendo en cuenta que los sedimentos de la planicie mareal estudiada se hallan permanentemente saturados, se consideró correcto estimar la evaporación potencial.
Como se mencionó previamente, la ecuación de Penman-Monteith se aplicó no sólo a la interfase sedimento-atmósfera sino también a la interfase agua-atmósfera. Se tomó esta decisión dado que la evaporación desde un suelo saturado tiene un valor cercano al de una superficie de agua libre en las mismas condiciones ambientales (Custodio y Llamas 1996). Por ejemplo, la evaporación que se produce en arenas finas saturadas es equivalente a la que tiene lugar en una superficie de agua libre, mientras que la evaporación en arcillas saturadas representa el 75-85% de la evaporación en una superficie de agua libre (Remenieras 1960). La ecuación de Penman-Monteith se expresa de la siguiente manera:

donde Δ es la pendiente de la curva temperatura vs. presión de vapor de saturación [kPa °C-1], ρ es densidad del aire [Kg m-3], cρ es el calor específico del aire [MJ Kg-1 °C-1], (es - ea) representa el déficit de presión de vapor del aire [kPa] (z = 3 m), ra es la resistencia aerodinámica [s m-1], rs es la resistencia superficial [s m-1] y γ es la constante psicrométrica [kPa °C-1].
Para el caso de un suelo desnudo, rs = 0, por lo tanto la ecuación previa puede resumirse como sigue (Wallace y Holwill 1997):

El valor de Δ se calculó mediante la siguiente ecuación (Allen et al. 1998):

donde Ta es la temperatura del aire [°C]
El déficit de presión de vapor se obtuvo de las siguientes fórmulas (Allen et al. 1998, Evett 2002):


donde RH es humedad relativa [%]
La resistencia aerodinámica se estimó para condiciones de estabilidad neutra (Allen et al. 1998, Evett 2002):

donde z es la altura de medición de la velocidad del viento [m] (12 m), d es la altura de desplazamiento del plano cero [m], zoM es la longitud de rugosidad para la cantidad de movimiento [m], ZH es la altura de medición de la temperatura del aire y humedad relativa [m], zoH es la longitud de rugosidad para transporte de calor sensible [m], k es la constante de von Kármán y U es la velocidad del viento [m]. Los valores de zoH y zoM para un suelo desnudo se tomaron de tablas (Kreith y Sellers 1975, Mailhot et al. 1998). Cabe hacer notar que d equivale a cero para el caso de un suelo desnudo (Kreith y Sellers 1975).
Flujo de calor advectivo
El transporte horizontal de calor o "advección" causa la adición o sustracción de energía a o de la planicie mareal. El agente más común de este proceso es el viento; sin embargo, cuando se estudia una planicie mareal también debe ser considerada la marea. La energía de las mareas generalmente actúa como un "subsidio" de energía al ecosistema costero (Odum 1975). En este trabajo el flujo de calor advectivo (QA) se estimó como la energía residual de la ecuación de balance de calor (18). El flujo advectivo total luego se discriminó de acuerdo a la altura de marea en dos flujos diferentes ("flujo advectivo de exposición" y "flujo advectivo de inundación"). El primero es transportado por los vientos, mientras que la marea es considerada el principal agente durante la inundación.
