INTRODUCCIÓN
El cambio climático antropogénico es un fenómeno favorecido por el incremento de los "Gases de Efecto Invernadero" (GEI) en la atmósfera. El cual consiste en cambios de concentración de ozono y otros gases de origen industrial. Los GEI han incrementado significativamente durante los últimas tres décadas debido a la intensiva actividad industrial mundial. Estos gases tienen un efecto directo en el incremento de la temperatura, por lo cual se alteran procesos regulatorios del clima como los ciclos hidrológicos, las variaciones de las corrientes marinas e influencian la periodicidad e intensidad del fenómeno El Niño - Oscilación del Sur (ENSO). En un intento por revertir esta tendencia, se han establecido acuerdos internacionales para reducir los efectos negativos ocasionados al ambiente debido a la industrialización. Entre ellos, el Protocolo de Kioto en 1997, promovido por la Organización de las Naciones Unidas (ONU), el cual hace referencia al compromiso de reducir los GEI en al menos un 5 % para el 2012, en comparación con emisiones de 1990 (ONU, 2009). Dado que el Protocolo finalizó su vigencia en el 2012 se han realizado intentos por ratificarlo con diversos países. Durante la reciente cumbre en Rio de Janeiro R+20, el tema central fue el desarrollo sostenible y amigable al ambiente; sin embargo, no se concretaron avances significativos en relación al Protocolo. En diciembre 2012 en la cumbre de Doha en Qatar, se logró acordar un nuevo periodo de compromiso de Kioto por ocho años. Es de destacar que algunos países con alta implicación en la emisión de GEI se niegan a ratificarlo, como es el caso de Japón, Rusia, Canadá y Nueva Zelanda, mientras que países que se comprometieron a reducir sus emisiones durante el segundo periodo de Kioto, generan poco más del 15 % del total de emisiones contaminantes mundiales. Los expertos han reconocido que el acuerdo final no satisface las recomendaciones para reducir el calentamiento que provoca olas de calor, tormentas de arena, huracanes, inundaciones, sequías o la subida de los niveles del mar (UNFCCC, 2012).
Existe abundante información de las consecuencias del cambio climático en diversos ámbitos como el incremento en las tasas de desertificación, incremento de la frecuencia e intensidad de huracanes y tormentas tropicales y cambios en los patrones de distribución y reproducción de la flora y la fauna (Cuadro 1) (SMN, 2013).

Cuadro 1 Sitios WEB relacionados con el estudio del efecto del cambio climático en el ámbito climatológico, oceánico, agronómico, biológico y social (tasas de migración).
El Fenómeno del Niño
Uno de los indicadores del cambio climático por la industrialización intensiva son las variaciones en el fenómeno natural El Niño-Oscilación del Sur (ENSO). El ENSO ocurre cuando hay aparición de aguas oceánicas cálidas en las costas del Océano Pacífico de América del Sur, durante el verano del hemisferio sur (Niño) o cuando ocurre un régimen de vientos alisios fuertes desde el este y las temperaturas ecuatoriales se enfrían (Niña) (NOAA 2012). Cualquiera de estas condiciones, las cuales se pueden atribuir a oscilaciones naturales, perdura por intervalos de tiempo distintos e influencian las variaciones del clima en las temperaturas y especialmente en los regímenes pluviales globales. Sin embargo, es ampliamente admitido que el calentamiento de la superficie oceánica debido a actividades antropogénicas está influenciando el incremento en la frecuencia del ENSO, lo cual está estrechamente ligado a la ocurrencia de disturbios atmosféricos como la ocurrencia de altas precipitaciones en la década de 2001-2010, decenio que fue considerado el más húmedo desde 1901 (OMM, 2012).
Para indicar la presencia de alguno de estos fenómenos la Administración Nacional del Océano y la Atmosfera (NOAA de EUA), realiza estimaciones trimensuales del Índice Oceánico del Niño (ION). El ION está basado en las variaciones de la temperatura media sub-superficial (TSS) del mar ecuatorial o región niño 3.4. Cuando el cálculo promedio trimensual del ION es un valor positivo mayor que o igual a 0.5 °C, el fenómeno se considera Niño. En contraparte cuando el cálculo del ION es menor que o igual a -0.5 °C, el fenómeno es considerado Niña. Dado que este fenómeno es el resultado de variaciones naturales de las TSS, los cambios en los patrones climáticos implicarían cambios en el comportamiento del ENSO, por lo que se puede considerar que la intensidad del ION puede explicar adecuadamente las variaciones históricas de este. Por lo anterior se propone el Índice Ponderado ION:
donde
ION = Índice Oceánico del Niño;
IONmax-ij = Valor máximo del ION en i = 1950-2012 y j = mes 1-mes 12;
IONq.75-ij = Cuartil 75 del ION en i = 1950-2012 y j= mes 1 - mes 12|≥4 meses.
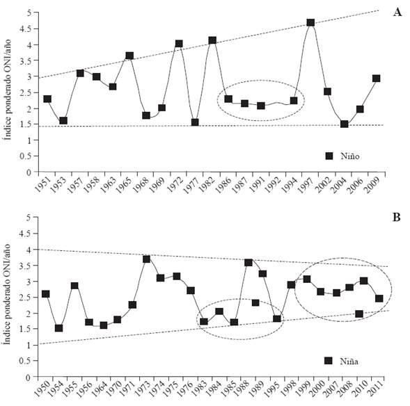
Al aplicar este índice para estimar la intensidad de los eventos es posible confirmar que entre los 80's y 90's hubo menor frecuencia de condiciones frías en el pacífico tropical (Figura, 1B) y una estabilización en la ocurrencia de fenómenos cálidos (Figura, 1A). Sin embargo, desde finales de los 90's y la primera década del siglo XXI han prevalecido más condiciones frías en el pacífico y los eventos cálidos ocurridos en esta época han sido débiles.

Figura 1 Comportamiento histórico del Índice Ponderado ONI asociado con el fenómeno de El niño-Oscilación del Sur. Datos extraídos y analizados de Changes to the Oceanic Niño Index (ONI), NWS, NOAA de EUA.
Aunque es de esperar cambios oscilatorios en las propiedades del ENSO debido a un cambio climático antropogénico, la tendencia sugiere que se incrementarán ocurrencias oscilatorias y de mayor variabilidad del fenómeno del niño en años futuros y parcialmente la niña irá reduciendo su variabilidad posiblemente con tendencia estable (Figura 1A y 1B). Este último, claramente ha influenciado el incremento en la frecuencia de las lluvias las cuales afectan eventos biológicos de las plagas.
Implicación del cambio climático en ocurrencia de plagas
Las variaciones en duración e intensidad del ENSO, afecta principalmente las temperaturas de la superficie oceánica ocasionando incremento en la precipitación y vientos, lo que favorece un aumento en la frecuencia de fenómenos metereológicos como huracanes y tormentas tropicales. Estos fenómenos se relacionan con la ocurrencia y dispersión a grandes distancias de plagas de carácter cuarentenario para México (r2=0.97) (Figura 2). A partir de 1977 han ocurrido aproximadamente 10 huracanes, el 70 % se reportaron en la categoría 3-5 con velocidad de vientos entre 170-290 km/hr (SMN, 2013). Se registró dos huracanes antes del año 2000 y ocho posteriores a este. Dichos eventos tienen una relación directa con las plagas cuarentenarias, de las que se detectaron 6 antes del año 2000 y 13 posteriormente (Cuadro 2). Lo anterior, sugiere el efecto indirecto del cambio climático en la ocurrencia de plagas cuarentenarias debido al aumento de estos fenómenos meteorológicos.

Figura 2 Relación de detección de plagas exóticas (acumuladas) en México de 1977-2012 y huracanes que han tocado tierra en México para el mismo periodo.

Cuadro 2 Descripción histórica de la relación de huracanes y plagas exóticas, registrados en México en el periodo de 1977-2012.
Similar a lo registrado en México, en países de Centro América se observó un incremento en la ocurrencia de huracanes y tormentas tropicales. En el periodo 1990-2008 hubo un incremento en aproximadamente el triple de ocurrencia con respecto al periodo 1970-1989 (Figura 3) (PROMECAFE, 2013).

Figura 3 Número de huracanes y tormentas tropicales en países de Centro América del año 1970 al 2008.
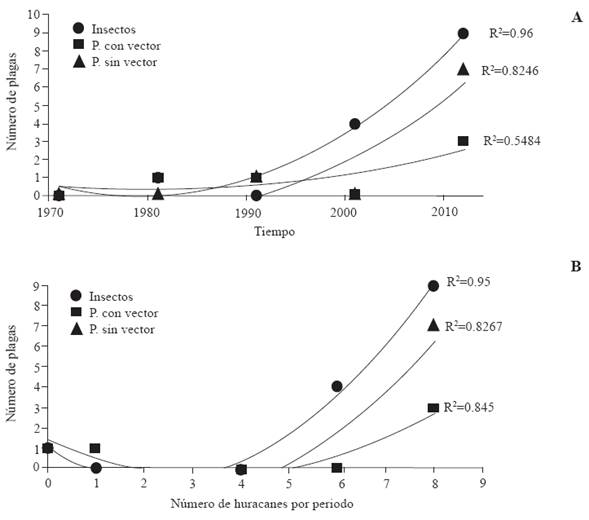
La relación entre plagas exóticas detectadas históricamente y el número de huracanes ocurridos en México fue altamente significativa (r2=0.98). La ocurrencia de plagas tuvo una relación directa con el tiempo, presentando un incremento exponencial en el periodo de los años 2000-2012 para insectos (r2=0.96) y patógenos sin un vector asociado (r2=0.82). La ocurrencia de patógenos con vector no tuvo una asociación directa significativa (r2=0.55) (Figura 4A). La asociación entre plagas insectiles con el número de huracanes fue de r2=0.95 y el de patógenos con vector y sin vector tuvo una asociación de r2=0.84 y 0.82, respectivamente (Figura 4B).

Figura 4 Relación del número de plagas con periodos de detección a intervalos de 10 años en México según reportes oficiales A. y relación con el número de huracanes ocurridos en mismos intervalos de tiempo de 1971 al 2012 B. Con datos de SENASICA y Servicio Meteorológico Nacional, respectivamente.
El estudio del efecto del cambio climático en las enfermedades de plantas constituye un reto experimental y conceptual debido a que el desarrollo y progreso epidémico de una enfermedad requiere de la interacción de varios factores. Estos factores incluyen, la genética del hospedante, el manejo agronómico y fitosanitario, el patógeno en sí mismo y el clima. Por lo tanto, los procesos biológicos fundamentales como patogénesis, sobrevivencia y dispersión, los cuales explican mecanísticamente un proceso epidémico son esencialmente multifactoriales y no dependen únicamente de variables climáticas. Adicionalmente, este tipo de investigación requiere de evaluaciones históricas para coadyuvar el entendimiento de posibles patrones de variación climática. Por lo anterior, la estimación del efecto del cambio climático aunque innegable, aún no está totalmente esclarecida con estudios científicos. A la fecha, este efecto ha sido determinado principalmente a través de modelos de pronóstico, los cuales integran principalmente al factor clima como componente del modelo. Adicionalmente, se han sugerido algunos requerimientos para el estudio del cambio climático (Cuadro 3) (Garret et al, 2009).

Cuadro 3 Requerimientos para el estudio del efecto del cambio climático en enfermedades de plantas. (Fuente: Garret et al., 2009).
En general existen pocos estudios relativos al impacto climático en la fitosanidad (Garret et al., 2013; Caubel et al, 2012 Garret et al., 2009), a pesar de que existe una tendencia en cambios de intensidad y/o ocurrencia de eventos epidémicos regionales causados por la reemergencia de problemas fitosanitarios previamente considerados de baja prevalencia y reducido impacto económico. El efecto del cambio climático en la fitosanidad biológicamente viable dado que los microorganismos se caracterizan por su ciclo corto y tasas reproductivas fuertemente influenciadas por las variaciones ambientales. Lo anterior permitiría pronosticar el incremento y ocurrencia de patógenos y estimar su importancia sanitaria y económica. A su vez sería posible prevenir riesgos en la seguridad alimentaria regional. Adicionalmente, se podrían generar indicadores microbiológicos del efecto del cambio climático en el ambiente bajo horizontes de tiempo relativamente cortos.
Los patosistemas tropicales. i.e. aquellos constituidos por un agente patogénico y una especie tropical como hospedante, pueden aportar indicios del efecto del cambio climático a través de indicadores biológicos asociados. Un factor que favorece la identificación de indicadores es la asociación del organismo con hospedantes perenes, ya que permite estudios históricos de procesos fitosanitarios. En hospedantes como café (Coffea arabica), aguacate (Persea americana), plátano (Musa spp), cacao (Theobroma cacao), cocotero (Cocos nucifera) y cítricos (Citrus spp.) se han realizado estudios epidemiológicos en distintos horizontes de tiempo y espacio que evidencian cambios en la intensidad de las epidemias.
La roya del café: Un estudio de caso
La roya del café constituye un caso actual de cambios de intensidad epidemiológica putativamente asociada al cambio climático. En México, esta enfermedad fue detectada por primera vez en Chiapas en los años 80's con incidencia máxima del 100% (Figura 5A). Gradualmente el patógeno se adaptó al agrosistema y el productor optó por convivir con la enfermedad debido al bajo impacto de pérdidas en la producción.

Figura 5 Incidencia de Hemileia vastatrix. A. Ciclos de 1982-1984 en Chiapas a 780 msnm, B. Histograma de frecuencias de la incidencia de roya, la cual incluye la curva de frecuencias acumuladas obtenida con datos de SICAFI a nivel nacional del 1 de enero al 8 de marzo de 2013.
A partir del año 2008 se detectó un incremento en la intensidad de las epidemias, en países de Sudamérica. Este incremento ocurrió posteriormente en los años 2010-2012 en países de Centro América productores de café. El incremento de roya en México se evidenció a finales del año 2012 con tasas epidémicas e incidencias estimadas hasta del 100 % (Figura 5B). Hasta el momento no se ha confirmado la existencia de una nueva raza de Hemileia vastatrix y se considera que el manejo agronómico y fitosanitario del cultivo es el mismo en las áreas de producción de café (CENICAFÉ, 2012). Esto sugiere que el clima es el factor inductor de los incrementos reportados tal como varios autores concluyen.
Para analizar el incremento de la intensidad y ocurrencia de los patógenos y plagas es necesario tomar en cuenta que históricamente las variaciones climáticas muestran fluctuaciones, principalmente de la temperatura con respecto al promedio anual. En general, de 1850 al 2000 hubo una tendencia de incremento (r2=0.72). En la Figura 6, se observa que de 1850 a 1870 se registró una reducción de 0.2 °C en la temperatura; sin embargo, seguido a este evento ocurrió un incremento respecto a la media histórica. Entre 1870 a 1910, dicho patrón de variación de la temperatura se repitió en los siguientes 50 años con periodos y duraciones similares. Se observa que a partir del año 1950 ocurrió un periodo de temperaturas ligeramente por debajo de la media es seguido por una tendencia de incremento hasta el año 2000.

Figura 6 Variaciones de la temperatura de la superficie de la tierra de 1850-2000. Fuente: IPCC, 2013.
Aparentes variaciones entre temperaturas mínimas y máximas pueden ocasionar modificaciones en la fenología de las plantas en adición a la biología y comportamiento de plagas en general, lo que justifica la necesidad de estudios sobre las variaciones en periodos de tiempo que permitan evaluar etapas críticas en las plagas incluyendo aquellas de baja prevalencia pero con potencial epidémico.
En el caso de la roya del cafeto para analizar el posible efecto de dichas variaciones fue necesario realizar combinaciones de variables climáticas que pudieran favorecer eventos específicos del proceso de patogénesis. En particular se estudió el evento de germinación de las esporas y penetración del hongo en las hojas de café, con el fin de desarrollar modelos de detección temprana bajo la premisa del efecto inductivo del clima (Figura 7).

Figura 7 Concepto de la relación de las ventanas de inductividad climáticas y procesos biológicos de germinación y penetración de Hemileia vastatrix en cafeto.
En la roya del café estos dos procesos requieren de la combinación de temperaturas entre 20 a 22 °C, presencia de agua líquida y baja intensidad lumínica (SENASICA, 2013); condiciones que principalmente ocurren de la 1am a las 9 am. A la combinación de las variables climáticas anteriormente descritas, asociadas con incrementos o decrementos de la roya estimados con el cálculo de áreas bajo la curva de progreso de la enfermedad (ABCPE), se le denominó "ventanas de inductividad climática''' (VIC) (Figura 7) (Mora-Aguilera et al., 2012). Estas VIC fueron estudiadas en intervalos de tiempo que relacionaron la cantidad de inóculo, cantidad de hojas del hospedero y las combinaciones de variables climáticas favorables para el incremento de la epidemia durante los años 2009-2010.
Se debe considerar que el estudio independiente de variables puede generar resultados parciales del fenómeno de incremento de roya y no se evidencia claramente el efecto del clima en rangos cortos de tiempo (Figura 8A). Sin embargo, al adicionar variables en función de la combinación de condiciones que favorecen el periodo de infección tales como horas favorables (T: 20-22°C, HR: >90 %) en adición al número de eventos de lluvia y mm de lluvia acumulados por semana, se obtiene una mejor comprensión del evento biológico. Así se encontró que durante los años 2007 a 2009 las condiciones favorables fueron constantes respecto a la media y no manifestaron incrementos significativos. Sin embargo, a partir del año 2009 ocurrió un incremento de las condiciones favorables. Los valores acumulados combinados se ajustaron a un modelo cuadrático que sugiere que las condiciones favorables mantendrán un incremento constante en los próximos años (r2=0.71) (Figura 8B).

Figura 8 Estudio de las variables climáticas que favorecen el incremento de intensidad de la roya del café, A. condiciones ambientales favorables acumuladas por semana y B. variaciones de las ventanas de inductividad climática para la germinación y penetración de la roya del café, bajo las condiciones del departamento de Coatepeque, Guatemala a 600 msnm.
Esto es congruente con los incrementos de intensidad de roya durante el periodo 2007-2012. Se ha enfatizado que el estudio del cambio climático debe realizarse con series de tiempo históricas; sin embargo, biológicamente estos análisis indican que es posible estudiar horizontes cortos de tiempo sobre todo si se calculan índices que combinan las variables climáticas. Debido a que las variaciones climáticas incluyen cambios de frecuencia, intensidad, distribución y duración de eventos, dichos cambios pueden ser evaluados por medio de la distribución los datos en periodos históricos. Debe considerarse que los cambios son apreciables en series de tiempos acumulados en lugar de eventos independientes.
Adicionalmente, existe una variabilidad natural que debe ser considerada en los estudios climáticos para identificar cambios "extremos" de clima o cambios de tendencias en el tiempo. Los desplazamientos teóricos de la media o normales climáticos propuestos por IPCC, 2013 (Figura 9A), establece que la media de la temperatura sufre un efecto de desplazamiento positivo, elevando las temperaturas máximas. Otros modelos teóricos incluyen el incremento de la varianza pero manteniendo las normales regionales.

Figura 9 A. Curva teórica del desplazamiento de la media de la temperatura histórica debida al cambio climático y B. Curvas del desplazamiento de la media y la varianza de la temperatura, humedad relativa y frecuencia e intensidad de lluvia asociadas con la germinación de Hemileia vastatrix en café (Coffea arabica) en Coatepeque, Guatemala a 600 msnm. Fuente: Castellanos, 2013.
En el caso de la roya del café, se analizaron estos modelos teóricos mediante la determinación de VIC anual del 2007-2012. Se observó que anualmente la media, y en menor proporción la varianza, tuvieron un efecto de desplazamiento del 2007-2012 e incrementó con mayor notoriedad en los años 2009 al 2010, siendo este último el periodo de mayor inductividad para el incremento de roya del café (Figura 9B). Estos cálculos aunque implicaron un periodo de 6 años, requirieron el uso de 318,000 mediciones de cuatro variables climáticas de la red de estaciones meteorológica de la Asociación Nacional del Café (ANACAFÉ). Estos hallazgos sugieren efectos negativos del cambio climático en términos de una mayor intensidad y amplitud de ventanas inductivas propicios para inducir la germinación y penetración de esporas del hongo y podría hipotetizarse que la ocurrencia de altas a moderadas epidemias en el futuro podrían ser más frecuentes y que los actuales eventos epidémicos de la roya en Centroamérica no es un evento esporádico. El conocimiento del efecto del clima en el incremento de la ocurrencia y severidad de la roya, permiten entender el comportamiento epidémico para las condiciones de Guatemala y otras regiones. Con ello es posible estimar modelos de pronósticos basado en niveles de inductividad epidémica. En la Figura 10 se muestran mapas comparativos de las interpolaciones de intensidad de daño en la zona cafetalera de la costa suroccidental de Guatemala. En el mapa de la izquierda se representa la incidencia real en hojas con roya, en comparación, en el lado derecho se muestra la incidencia estimada a través del modelo de ventanas de inductividad climática mencionado con anterioridad. Estos resultados actualmente están en validación con datos de epidemias del 2013 obtenidos mediante programas de monitoreo nacionales en México y Guatemala con fines de manejo de la roya.

Figura 10 Mapa comparativo de incidencia de hojas con roya real versus incidencia estimada mediante un modelo de estimación denominado ventanas de inductividad climática con base a las variables de la Figura 6 y 7. Fuente: G. Calderón et al., 2012. No publicado.
En general, los sistemas de alerta temprana dirigidos a implementar métodos de control estiman el incremento del organismo en eventos específicos principalmente los relacionados a la patogénesis. Las ventanas de inductividad climática consideran dichos eventos para la toma de decisiones oportunas. Sin embargo, es necesario considerar que cada sistema posee sus propios requerimientos de clima. En el Cuadro 4 se muestran los rangos de temperatura de distintos patógenos que infectan cultivos tropicales; como en el caso de la roya del café, los rangos en general son cortos. Esto sugiere que los cambios climáticos podrán influenciar los procesos de patogénesis posiblemente incrementando su nivel epidémico por lo cual es su vigilancia epidemiológica.
Consideraciones finales
Los patosistemas tropicales son más susceptibles a sufrir los efectos del cambio climático específicamente por cambios en las variables asociadas a la dispersión, patogénesis y sobrevivencia. Los agentes causales con fuerte interacción con el medio más que con el hospedante, es decir de acción no sistémica, pueden ser los más influenciados. Un caso particular lo constituye agentes causales que dependen de insectos vectores sobre los cuales opera en mayor medida el ambiente. Adicionalmente, es innegable el efecto del cambio climático en hospedantes, en particular los perenes induciendo cambios de periodicidad, frecuencia e intensidad de sus periodos vegetativos y reproductivos, los cuales coadyuvan en la disponibilidad de tejido para los procesos de infección de agentes patogénicos o para la colonización de vectores.
El cambio climático influye en los patosistemas tropicales en al menos los siguientes eventos o procesos:
Incremento en las tasas de dispersión por cambios en la frecuencia, intensidad y regionalidad de factores atmosféricos, específicamente vientos asociados a huracanes y ciclones. La ocurrencia T. citricida, vector del CTV podría ilustrar este caso.
Aumento de tasas de sobrevivencia por incremento en temperaturas mínimas estacionales, reduciéndose el número de eventos que alcanzan los umbrales de sobrevivencia. En algunos casos, el incremento de temperaturas máximas estacionales podrían ser un factor restrictivo. Ejemplos: reducción de prevalencia de CLam en HLB-cítricos en Brasil y de variantes agresivas del cancro de los cítricos en Argentina podría explicarse por causas climáticas además de factores de competencia.
El incremento de ciclos reproductivos por condiciones inductivas básicamente de temperatura y humedad. Caso de la roya del cafeto. Derivado de lo anterior, las tasas epidémicas podrán exhibir incrementos con un mayor impacto negativo en la producción y en la relación beneficio-costo de los procesos de agrícolas.
La implicación de las variaciones climáticas sobre los eventos biológicos de colonización, multiplicación y dispersión de las plagas obligan a incrementar la precisión en estudios biológicos con el fin de estimar riesgos epidemiológicos regionales.
La variabilidad climática y su expresión global puede incrementar la posibilidad de generar modelos de predicción regional, una alternativa para los sistemas productivos tropicales en general heterogéneos y donde el enfoque parcelario resulta limitante.









texto en 



